高级检索

关闭煤矿矿井水中“双源”铁污染的电化学机理实验模拟

Experimental simulation on the electrochemical mechanism of iron pollution from “dual-source” in closed coal mine water

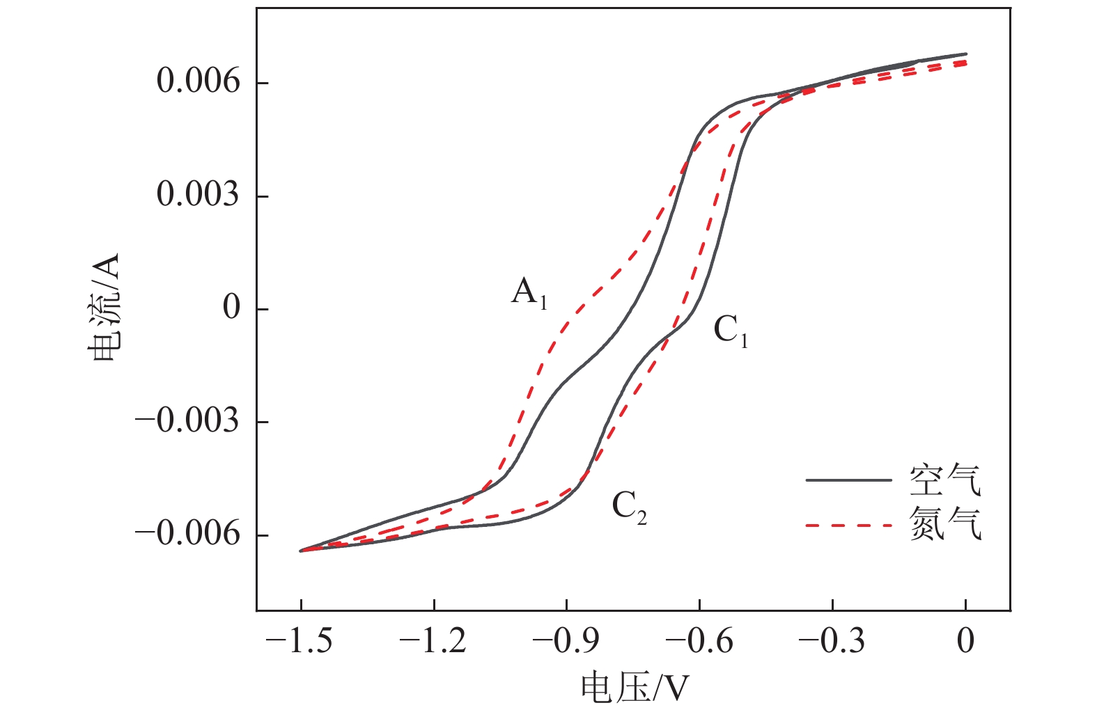
  • 摘要: 关闭煤矿矿井水多呈现高铁特征,闭坑淹井后残留铁质器件易锈蚀,与含铁矿物形成矿井水“双源”铁污染体系,在闭坑后不同时期贡献铁的释放,形成地下水环境风险。为明确关闭煤矿矿井水中双源铁释放过程与反应机理,刻画铁污染双源释放方式,量化释放速率比,基于电化学模拟原理,以黄铁矿和矿用锚杆为模拟“双源”,制备成工作电极,利用循环伏安法和极化法等电化学方法以及X射线光电子能谱材料表面表征技术,对煤矿关闭初期双源共存下在酸性矿井水环境中氧化还原反应过程与铁释放机制进行了模拟研究。结果表明,溶解氧含量是影响黄铁矿和锚杆在酸性矿井水中发生氧化还原反应的重要抑制因素。黄铁矿与锚杆的氧化机制不同,黄铁矿在氧化过程中表面出现钝化效应,2种材料的最终氧化产物均为Fe3+ 和\rmSO_4^2-。黄铁矿主要通过矿物表面的Fe2+ 发生氧化反应释铁,锚杆主要通过材料表面铁及其氧化产物与溶液中酸性物质的反应释铁,且铁氧化物较单质铁优先反应。在模拟富氧(DO=7.0 mg/L)酸性矿井水中,黄铁矿和锚杆的年腐蚀速率分别达到8.3636mm/a和7.8314mm/a,估算年释铁速率分别达到1.2240g/a和3.9395g/a。在模拟井下低氧(DO=3.5 mg/L)酸性矿井水中,黄铁矿和锚杆的年腐蚀速率分别达到0.7324mm/a和0.3642mm/a,估算年释铁速率分别达到0.1072g/a和0.1832g/a。综合电化学参数与静态释铁实验表明,在溶解氧充足或缺乏的条件下,总体释铁速率比均为双源>锚杆>黄铁矿。

     

    Abstract: The closed coal mine water is mostly characterized by high iron. After mine closure and flooding, residual iron-prone devices and iron-bearing minerals form a “dual-source” iron pollution system in mine water, contributing to the release of iron in different periods after mine closure and creating environmental risks in groundwater. In order to clarify the process and reaction mechanism of “dual-source” iron release in closed coal mine water, to characterize the “dual-source” release mode of iron pollution, and compare the release rate, based on the principle of electrochemical simulation, the working electrodes were prepared by using pyrite and mining bolt as the simulated “dual-source”, and the redox reaction process and iron release mechanism in the acid mine water under the coexistence of “dual-source” at the early stage of coal mine closure were simulated using electrochemical methods such as cyclic voltammetry and polarization as well as X-ray photoelectron spectroscopy (XPS) material surface characterization techniques. The results showed that the dissolved oxygen content was an important inhibitory factor affecting the redox reaction of pyrite and bolt in acid mine drainage. The oxidation mechanism of pyrite and bolt is different, the passivation effect occurs on the surface of pyrite during oxidation, and the final oxidation products of both materials are Fe3+ and \rmSO_4^2-. Pyrite releases iron mainly through the oxidation reaction of Fe2+ on the mineral surface. Bolt released iron mainly through the reaction of iron and its oxidation products on the surface of the material with the acid substances in the solution, and the oxide reacted preferentially over the monomer. In the simulated aerobic (DO=7.0 mg/L) acid mine drainage, the annual corrosion rates of pyrite and bolt reached8.3636mm/a and7.8314mm/a, respectively, and the annual iron release rates reached1.2240g/a and3.9395g/a, respectively. In the simulated underground anoxic (DO=3.5 mg/L) acid mine drainage, the annual corrosion rates of pyrite and bolt reached0.7324mm/a and0.3642mm/a, respectively, and the estimated annual iron release rates reached0.1072g/a and0.1832g/a, respectively. The integrated electrochemical parameters and static iron release experiments showed that the total iron release rate ratios were both dual-source > bolt > pyrite under the conditions of sufficient or lack of dissolved oxygen.

     

/

返回文章
返回