高级检索

顺倾软弱起伏基底内排土场边坡稳定性影响因素分析

Analysis of the lnner dumping slope stability factors affecting with soft rolling and inclined basement

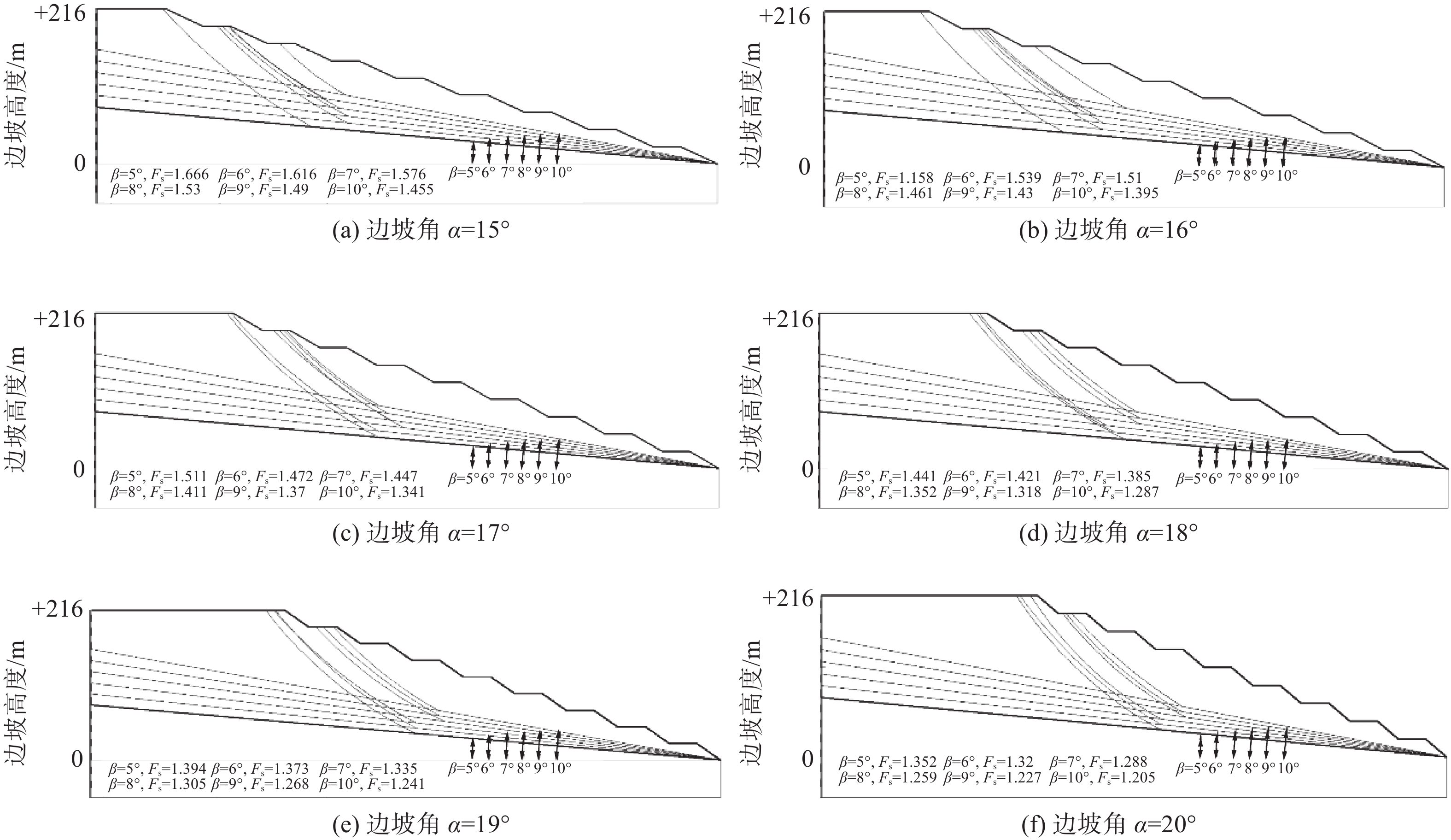
  • 摘要: 为了更有效地指导内排土场边坡参数的动态优化设计,最大限度利用内排空间,结合霍林河南露天矿工程实际,应用刚体极限平衡法,分析了边坡形态、基底倾角、断层落差等因素对内排土场边坡稳定性的影响,获得了规律性认识;将得到的规律应用于霍林河南露天矿内排土场边坡参数设计,并应用数值模拟手段进行验证。研究结果表明:顺倾软弱起伏基底内排土场边坡稳定性与边坡高度、边坡角、基底倾角呈负相关,与断层落差呈先降低后升高、与断层相对坡脚距离L呈先升高后降低关系;随着内排土场推进距离的逐渐增加,边坡滑坡模式由上部边坡沿下盘基底切层–顺层滑动转变为从下部边坡沿上盘基底切层–顺层滑动;霍林河南露天矿内排土场边坡高度216 m、边坡角20°、基底倾角5°的工况下,断层落差为30 m时,其稳定性系数最小。

     

    Abstract: For the purpose of guiding the dynamic optimized design of side slope parameters of internal dump more effectively, referring to practice of Huolin River South Open-pit Mine, the limit equilibrium method has been utilized to analyze the effect of side slope height,side slope angle,base dip angle and fault throw, and thus the understand of regularity, to the side slope stability of internal dump. The results have then been applied to the design of internal dump side slop of Huolin River South Open-pit Mine with the numerical modelling, so that the verification and following summary are gained: With the gradually increment of dump propulsion distance, the potential slip position of slope will change. Sliding from the upper slope along the bottom of the lower slope would transfer to be sliding along the upper plate base from the lower slope. The side slope height,side slope angle, base dip angle perform negative linear correlation with the side slope stability; Therefore, with the increment of fault throw, the stability would firstly reduce and then raise, which is completely contrary to the relationship to fault relative slope foot distance L; The stability would reach the minimum under the condition of side slope height,side slope angle and base dip angle equal to 216 m, 20° and 5° respectively; With the difference of fault throw, the distance L, which results in the change of potential landslide mode of dump slope, has also shown difference and increases along the increment of fault throw. As a result, the spatial form of internal dump side slope in downdip undulating basement is clear.

     

/

返回文章
返回