高级检索

基于分形特征的煤泥滤饼孔渗关系模型研究

The relationship between permeability and pore structure of coal slime filter cake based on fractal characteristics

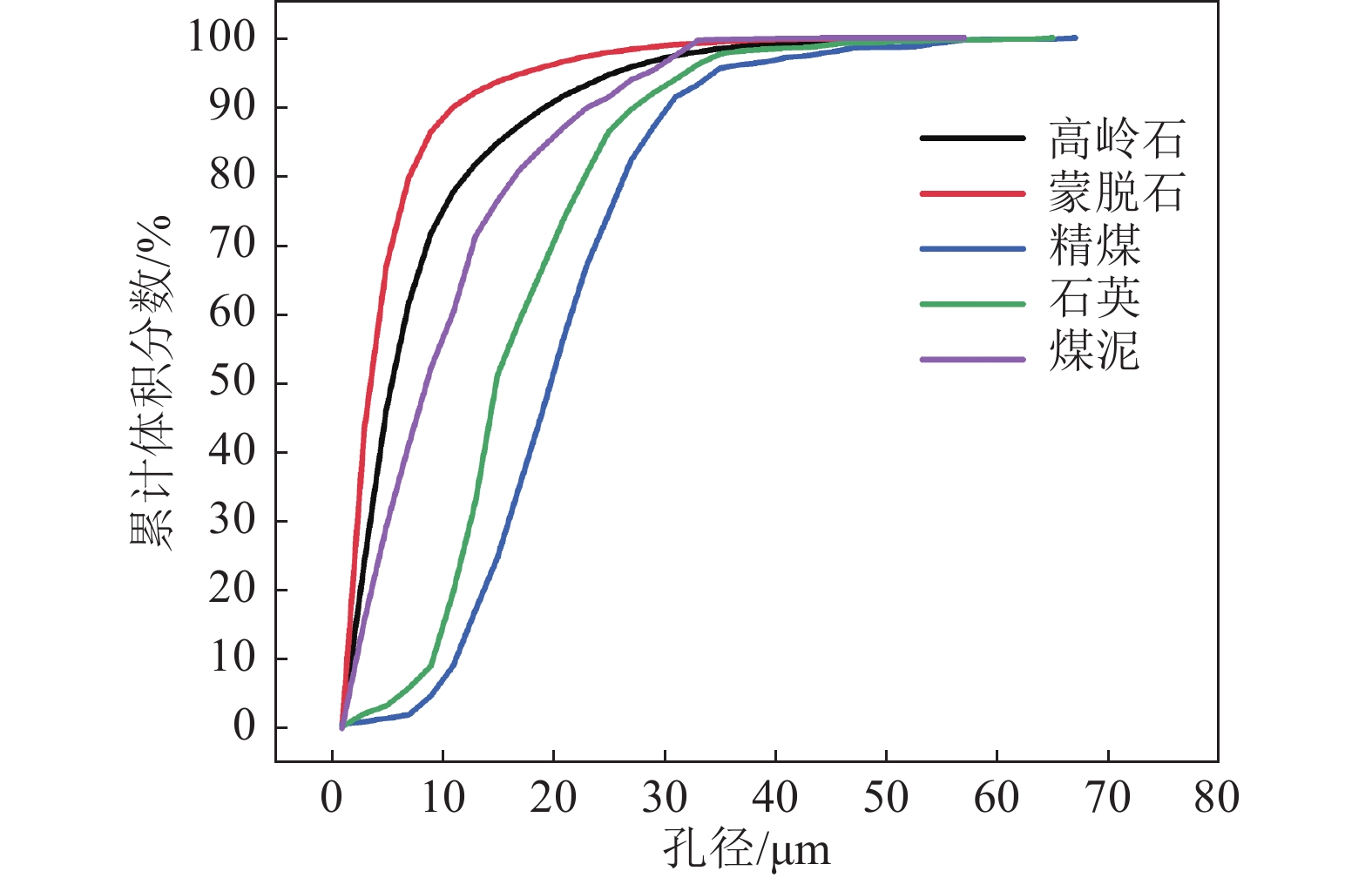
  • 摘要: 建立滤饼复杂微观孔隙结构特征与宏观渗流行为的相关关系是解决煤泥脱水困难的重要基础。为了真实、精确、直观地表征滤饼孔隙结构特征并建立其孔−渗关系模型,选取煤泥复杂组分中的精煤、石英、高岭石和蒙脱石4种主要矿物为研究对象,分别对其进行加压过滤试验并对其滤饼样品进行CT扫描成像,构建三维数字滤饼并提取孔隙网络模型,最终实现了滤饼孔隙结构的三维显示和定量表征,深入对比分析了经典KC方程和双重分形渗透率模型在滤饼渗透率计算方面的局限性,基于分形理论、Hagen-Poiseulle定律和Darcy定律,结合低场核磁共振技术引入束缚水饱和度和孔隙形状分形维数,对现有分形渗透率模型进行修正,建立了滤饼微观渗透率预测模型,结果表明:煤泥滤饼中矿物成分非常复杂,各个矿物所形成的滤饼具有明显的特征差异,精煤和石英脱水效果最佳,精煤滤饼的孔径分布以大孔为主,但内部存在一定量的孤立小孔,连通性一般,孔隙迂曲度最低,石英滤饼孔隙率最大,连通性最高,但迂曲度较大;蒙脱石和高岭石所形成的滤饼,孔隙数量极少,而且多由10 μm以下的细孔所组成,迂曲度较大,连通性也较差,脱水十分困难;煤泥滤饼以狭窄条状分布为主,且孔径较小,总体孔隙率较低,连通性差,迂曲度高,脱水困难。滤饼微观渗透率预测模型对石英和精煤滤饼渗透率预测精度高,相对误差分别为1.34%和1.15%,对于复杂组分的煤泥滤饼以及高岭石滤饼,其渗透率预测误差能够控制在5%之内,而且蒙脱石滤饼渗透率的计算误差也可降低至13.42%。

     

    Abstract: Establishing the correlation between the complex microscopic pore structure characteristics of the filter cake and the macroscopic seepage behavior is an important basis for solving the difficulty of coal slime dewatering. In order to characterize the pore structure of the filter cake accurately, four main minerals in the coal slime such as clean coal, quartz, kaolinite and montmorillonite were used as the research objects. The samples were scanned and imaged by CT, a 3D digital filter cake was constructed and a pore network model was extracted. Finally, the 3D display and quantitative characterization of the pore structure of the filter cake was realized. The classical K-C equation and the double fractal permeability model were deeply compared and analyzed in the filter cake permeability calculation. Based on fractal theory, Hagen-Poiseulle law and Darcy's law, combined with low-field nuclear magnetic resonance technology, bound water saturation and pore shape fractal dimension were introduced, and the existing fractal permeability model was revised to establish a filter cake microstructure. The permeability prediction model, the results show that the mineral composition in the slime filter cake is very complex, the filter cake formed by each mineral has obvious characteristic differences, the dewatering effect of clean coal and quartz is the best, and the pore size distribution of the clean coal filter cake is in the order of large pores. Mainly, but there are a certain amount of isolated pores inside, the connectivity is average, the pore tortuosity is the lowest, the porosity of the quartz filter cake is the largest, the connectivity is the highest, but the tortuosity is large. The filter cake formed by montmorillonite and kaolinite, the number of their pores is very small, and most of them are composed of pores below 10 μm, with large tortuosity, poor connectivity, which cause the poor dewatering performance. The filter cake of coal slime is mainly distributed in narrow strips, and the pore size is small. The overall porosity is low, the connectivity is poor, the tortuosity is high, and dehydration is difficult. The filter cake micro-permeability prediction model has high prediction accuracy for the permeability of quartz and clean coal filter cake, with relative errors of 1.34% and 1.15%, respectively. For the complex composition of slime filter cake and kaolinite filter cake, its permeability prediction error can be controlled within 5%, and the calculation error of the permeability of the montmorillonite filter cake can also be reduced to 13.42%.

     

/

返回文章
返回