高级检索

全长锚固锚杆支护软岩巷道围岩承载结构力学响应解析

王想君, 李英明, 赵光明, 孟祥瑞, 王艺, 程详

王想君,李英明,赵光明,等. 全长锚固锚杆支护软岩巷道围岩承载结构力学响应解析[J]. 煤炭科学技术,2023,51(10):24−34

. DOI: 10.13199/j.cnki.cst.2022-1863
引用本文:

王想君,李英明,赵光明,等. 全长锚固锚杆支护软岩巷道围岩承载结构力学响应解析[J]. 煤炭科学技术,2023,51(10):24−34

. DOI: 10.13199/j.cnki.cst.2022-1863

WANG Xiangjun,LI Yingming,ZHAO Guangming,et al. Mechanical response analysis of surrounding rock bearing structure of soft rock roadway based on full-length anchorage[J]. Coal Science and Technology,2023,51(10):24−34

. DOI: 10.13199/j.cnki.cst.2022-1863
Citation:

WANG Xiangjun,LI Yingming,ZHAO Guangming,et al. Mechanical response analysis of surrounding rock bearing structure of soft rock roadway based on full-length anchorage[J]. Coal Science and Technology,2023,51(10):24−34

. DOI: 10.13199/j.cnki.cst.2022-1863

全长锚固锚杆支护软岩巷道围岩承载结构力学响应解析

基金项目: 

国家自然科学基金资助项目(52174102);安徽省重点研究与开发计划资助项目(2022m07020007);安徽省博士后科学基金资助项目(2021B513)

详细信息
    作者简介:

    王想君: (1995—),男,甘肃陇南人,博士研究生。E-mail:382929839@qq.com

    通讯作者:

    李英明: (1975—),男,黑龙江克山人,教授、博士生导师。E-mail:libo_1296@126.com

  • 中图分类号: TD353

Mechanical response analysis of surrounding rock bearing structure of soft rock roadway based on full-length anchorage

Funds: 

National Natural Science Foundation of China (52174102); Key Research and Development Program of Anhui Province (2022m07020007); Anhui Postdoctoral Science Foundation Project (2021B513)

  • 摘要:

    为研究高应力软岩巷道围岩在全长锚杆锚固后围岩力学承载结构的稳定性,考虑软岩峰后强度软化时的扩容特性和全长锚固锚杆受力边界条件,建立了全长锚固锚杆力学模型,推导得到锚杆受力解析式。并通过将锚固力等效为体积力的形式建立了全长锚固围岩力学模型,将其由浅及深依次划分为锚固残余区、锚固塑性软化区、非锚固塑性软化区及弹性区,推导了各分区的应力表达式。结合工程算例分析了空间效应、扩容系数、锚杆长度和托盘反力等因素对围岩应力和锚杆受力的影响规律。结果表明:受空间效应影响,巷道变形破坏呈现渐进式发育,借此提出了“锚固调控区”的概念,即在全长锚固锚杆支护过程中,围岩的虚拟支护力和锚固力处于此消彼长的状态,从而抑制围岩应力向深部转移,有效减小了塑性区范围。锚杆安装时机越早,作用于杆体的围岩变形越大,且与围岩之间更易形成共同承载体;锚杆轴力与扩容系数呈正比关系,随着扩容系数增大,锚固力增长速率显著加快,保证了锚杆对围岩径向应力的恢复作用;锚杆长度越大,围岩/锚固剂界面粘结范围越广,使得沿杆体的轴力分布及其峰值明显增大,进而使围岩切向应力峰值区向洞壁方向偏移;全长锚固锚杆托盘反力对残余区和塑性区边界的影响较小,其作用主要体现在改善锚杆受力情况,充分发挥锚杆锚固作用及护表能力。

    Abstract:

    A mechanical model of full-length anchoring bolt is established to study the stability of mechanical bearing structure of surrounding rock in high stress soft rock roadway after full-length anchoring bolt. The model considers the dilatancy characteristics of soft rock post-peak strength softening and the stress boundary conditions of full-length bolt, and the analytical formula of bolt stress is derived. Furthermore, the mechanical model of full-length anchored surrounding rock is established by equivalent the anchoring force to the form of volume force. From shallow to deep, it is divided into anchorage residual zone, anchorage plastic softening zone, non-anchorage plastic softening zone and elastic zone, and the stress expression of each zone is deduced. Combined with engineering examples, the influence of space effect, expansion coefficient, bolt length and tray reaction force on surrounding rock stress and bolt stress is analyzed. The results show that under the influence of spatial effect, the deformation and failure of roadway presents progressive development. The concept of ' anchorage control zone ' is proposed, that is, in the process of full-length bolt support, the virtual support force and anchoring force of surrounding rock are in a state of reciprocal growth and decline, thus inhibiting the transfer of surrounding rock stress to the deep and effectively reducing the plastic zone. The earlier the anchor bolt is installed, the greater the deformation of the surrounding rock acting on the rod body, and the easier it is to form a common bearing body with the surrounding rock. The axial force of the anchor bolt is proportional to the expansion coefficient. With the increase of the expansion coefficient, the growth rate of the anchoring force is significantly accelerated, which ensures the recovery effect of the anchor bolt on the radial stress of the surrounding rock. The axial force distribution and peak value of the rod body will increase with the increase of the length of the bolt and the bonding range of the surrounding rock/anchoring agent interface, and then the peak area of the tangential stress of the surrounding rock will shift to the direction of the tunnel wall. The effect of the reaction force of the full-length bolt tray is mainly reflected in improving the stress of the bolt, giving full play to the anchoring effect of the bolt and the ability to protect the surface, and having little effect on the boundary of the residual zone and the plastic zone.

  • 深部软岩巷道开挖-支护过程中,围岩−支护体系统协同作用承载机制一直是理论和工程实践研究的重点[-]。开挖扰动打破了原有的应力平衡状态,围岩卸荷和应力重分布使其发生变形破坏并形成新的承载结构[-]。同时,为了保证围岩承载结构的稳定性,要求锚杆、索等构件须具备支护时效性,即能够明显改善围岩周边的力学环境及行为,有效抑制其变形破坏发展,从而迅速提高围岩自身的承载能力[-]。在巷道围岩−支护体相互作用过程中,围岩应力分布特征、锚杆受力规律以及两者间的相互作用关系是不可分割的有机整体,国内外学者对此进行了深入探讨,并取得大量研究成果。

    在巷道围岩应力分布方面,最早由Fenner和Kastner等通过对轴对称圆巷的理想弹塑围岩介质进行力学分析,得到了经典的围岩塑性区半径和应力解,并一直被业界沿用至今[-]。陈登国[]、余涛[]等将围岩和锚杆相互作用承载体系视作锚固承载层,并分析了其应力分布特征。但是随着煤矿开采深度的增加,巷道软岩性质表现的愈发突出[,],付国彬[]、马念杰[]认为,当岩体的应力超过其极限抗压强度后,岩体自身强度会随着塑性应变增加而逐渐衰减,并建立了巷道围岩塑性软化力学模型,将其由表及里依次划分为破碎区、软化区及弹性区。赵光明等[]基于统一屈服准则,将软岩巷道围岩划分为“锚网喷区”和“非锚网喷区”,并分析了围岩承载结构力学特征。周建等[]对圆形硐室围岩在考虑锚固和空间效应条件下进行了弹塑性分析,获得了围岩应力与变形解。同时,《煤矿安全规程》第四十四条规定软岩使用锚杆支护时,必须全长锚固[]。全长锚固锚杆能在一定程度上避免锚固界面层的脱黏失效问题,可沿锚杆全长对围岩产生锚固作用[],对围岩应力分布具有显著影响。因而在全长锚固锚杆受力特征方面,学者们针对锚杆承载特性进行了大量的拉拔试验及理论研究[-],获得了杆体在拉拔过程中剪应力和轴力的非均匀分布特性,但是拉拔试验难以准确反映杆体在实际支护过程中的受力情况及其作用机制。FREEMAN[]、王明恕[]等通过现场实测提出了中性点理论,为全长锚杆支护力学分析奠定了基础。CAI等[]基于载荷传递微分方程,提出了一种锚杆轴向力的预测方法。姚显春[]、朱训国等[]认为锚杆剪应力是由围岩变形产生的剪应力和锚杆近端剪应力对锚杆远端拉拔产生的剪应力两部分组成,并建立了全长锚杆的应力分布函数。陈梁等[]基于剪切滑移模型和中性点理论,对围岩峰后剪胀变形条件下的全长锚杆受力分布规律进行了系统研究。综上所述,现有研究一般将支护体的工作阻力做了一定简化,即等效为在巷道表面均匀分布的径向支护力,而这一条件比较适用于端部锚固;并且在描述围岩−锚杆相互作用时更多的是一种处理方法或者相互作用结果的描述,而非相互作用本身。此外,侯公羽等[]对弹塑性变形条件下的围岩−支护相互作用全过程进行了解析,认为在巷道开挖面空间效应影响下,围岩的虚拟支护力和混凝土(或钢架)的支护反力存在此消彼长的过程。笔者基于侯公羽的思想,认为全长锚杆作为具有延伸性能的支护构件,在其工作时不仅具有相同力学机制,且围岩力学状态也在随之发生相应变化,即虚拟支护力、锚杆受力及围岩应力分布三者处于同步动态演化状态,目前对这方面的研究鲜有报道。鉴于此,有必要对软岩巷道围岩与全长锚固锚杆的相互作用机制进行深入研究。

    因此,笔者在前人研究的基础上,根据全长锚固锚杆受力边界条件,建立软岩巷道围岩变形作用下的全长锚固锚杆力学模型,推导了锚杆受力解析式,且将锚杆轴力以附加体积力的形式作用围岩内部。在此基础上,结合空间效应下的虚拟支护力影响与软岩三阶段力学模型,量化分析巷道在开挖−支护过程中围岩应力分布特征及锚杆受力规律,并借此揭示全长锚固锚杆与围岩耦合作用机理。研究成果可为高应力软岩巷道的全长锚固锚杆支护技术及设计方面提供一定理论依据。

    建立全长锚杆锚固围岩力学模型如图1所示。为了便于分析,对巷道全长锚固围岩模型作适当简化和假设[]:①巷道轴向无限长,可简化为平面应变问题;②巷道为圆形,半径为直墙半圆拱(或矩形)巷道的当量半径r0;③巷道处于静水压力场中,原岩应力大小为p0;④围岩为均质、各向同性连续介质;⑤巷道周边围岩产生残余区和塑性软化区;⑥全长锚固锚杆沿巷道断面径向均匀分布,且将围岩受到的锚杆支护力简化为轴对称的径向体积力[,]

    图 1 全长锚杆锚固围岩力学模型
    图  1  全长锚杆锚固围岩力学模型
    Figure  1.  Mechanical model of full-length bolt anchoring surrounding rock

    巷道开挖后即时进行支护,锚杆不仅随着围岩变形发展产生整体移动,而且由于围岩径向各点的位移量不同以及杆体与岩体刚度的非协调性,致使围岩/杆体界面层产生剪应力,且沿锚杆全长剪应力分布呈现非均匀性。假定锚杆、锚固剂(或砂浆)和岩石黏结良好,在图1中取一全长锚杆锚固单体,沿该单体轴向取一微单元进行力学分析,如图2所示。

    图 2 围岩中全长锚固锚杆微单元受力示意
    图  2  围岩中全长锚固锚杆微单元受力示意
    Figure  2.  Stress components of full-length anchor element in surrounding rock

    根据锚杆轴力与围岩/锚固剂(或砂浆)界面剪力(简称界面剪力)的平衡关系,围岩变形作用于杆体单位长度上的剪力为

    T(r)=dP(r)dr=πdgτ(r)
    (1)

    式中:P(r)为锚杆轴力;T(r)、τ(r)分别为r点处界面剪力和剪应力;dg为钻孔直径。

    假设锚杆与孔壁之间没有产生明显相对滑动,即锚杆与围岩体的变形近似满足以下变形协调条件[]

    Ub=Us(r)
    (2)

    式中:Ub为锚杆杆体的变形量;Us(r)为锚杆支护条件下围岩的实际位移。

    假定无锚杆支护条件下的围岩位移U(r)与有锚杆支护条件下围岩的实际位移Us(r)之差为

    F(r)=U(r)Us(r)
    (3)

    Ub=U(r)F(r)
    (4)

    式中:U(r)通过弹塑性计算或现场测量拟合得到。

    式(4)中F(r)精确表达式取为如下幂级数的形式[]

    F(r)=m1+m2r+m3r2+m4r3
    (5)

    Ub=U(r)m1m2rm3r2m4r3
    (6)

    需要说明的是,在锚固设计中,一般将岩体和锚固剂(或砂浆)界面的剪切强度作为确定锚固长度的基本依据[],并且现场拉拔试验也表明围岩/锚固剂(或砂浆)界面更易于发生脱黏失效[]。因此,把锚杆和锚固剂(或砂浆)视为一个整体,同时由于围岩变形通过锚固剂(或砂浆)介质传递给杆体,考虑到两者的变形协调,在计算分析过程中采用锚杆和锚固剂(或砂浆)整体的综合弹性模量Ea,其计算公式[]

    Ea=EbAb+EgAgAa
    (7)

    式中:EbEg分别为锚杆和锚固剂(或砂浆)的弹性模量;AaAbAg分别为钻孔、锚杆和锚固剂(或砂浆)的横截面积,Ag=AaAb

    假定全长锚固锚杆支护过程中始终处于弹性状态,即杆体的变形为完全线弹性,则根据虎克定律有

    P(r)=EaAaεa=EaAadUbdr
    (8)

    式中:εa为锚杆轴向应变。

    将式(8)代入式(1)得界面剪力为

    T(r)=AaEad2Ubdr2
    (9)

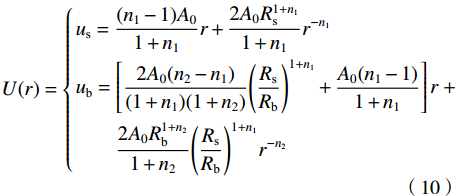
    根据式(8)、式(9)可知,要得到全长锚固锚杆受力的具体表达式,必须求解巷道围岩径向位移,但其位移比较复杂。通常软岩巷道开挖后,围岩会产生大规模的塑性破坏,变形剧烈,文献[]通过考虑软岩峰后强度的应变软化和体积扩容特性,将围岩由表及里依次划分为残余区、塑性软化区及弹性区。本文假设锚杆全长处于围岩残余区和塑性软化区内,则圆形巷道轴对称的径向位移[]

    U(r)={us=(n11)A01+n1r+2A0R1+n1s1+n1rn1ub=[2A0(n2n1)(1+n1)(1+n2)(RsRb)1+n1+A0(n11)1+n1]r+2A0R1+n2b1+n2(RsRb)1+n1rn2
    (10)

    其中,A0=(1+v)[p0(K1)+σq](K+1)EK=1+sinφ1sinφusub分别为塑性软化区和残余区围岩的径向位移;σqφ分别为围岩体的峰值强度和内摩擦角;Eν分别为围岩体的弹性模量和泊松比;RsRb分别为围岩塑性软化区和残余区的半径;n1n2分别为塑性软化区和残余区围岩的扩容系数。

    联立式(10)、式(6)并代入式(8)、式(9)得到全长锚固锚杆的轴力和界面剪力为

    P(r)=AaEa(a1a2r1n1m22m3r3m4r2)
    (11)
    T(r)=AaEa(a3r2n22m36m4r)
    (12)

    式中:a1=[2A0(n2n1)(1+n1)(1+n2)(RsRb)1+n1+A0(n11)1+n1]a2=2n2A0R1+n2b1+n2(RsRb)1+n1a3=a2(1+n2)

    试验研究表明[],全长锚杆锚固时轴力随着围岩碎胀变形先后经历由增大到迅速减小、再到逐渐丧失的过程,文献[]分析了全长锚固锚杆在正常支护和临界失效两种工况下的受力特征。本文仅考虑锚杆轴力未丧失即锚杆正常支护时的受力情况,围岩变形条件下的全长锚固锚杆剪应力分布情况如图3所示。

    图 3 全长锚固锚杆正常支护下的剪应力分布情况
    图  3  全长锚固锚杆正常支护下的剪应力分布情况
    Figure  3.  Shear stress distribution of full-length anchoring bolt under normal support

    对于图3中全长锚固锚杆正常支护时的受力情况,其边界条件为

    {r=r0+L,P(r)=0r=r0+L,T(r)=0r=r0+r1,T(r)=0
    (13)

    式中:r1为孔口到中性点的距离;L为全长锚固锚杆的长度。

    将式(13)代入式(11),式(12),求解得到系数为

    {m2=b1b3(r0+L)22(Lr1)+b2(L+r0)(r0L+2r1)2(Lr1)m3=b3(r0+L)b2(r0+r1)2(Lr1)m4=b2b36(Lr1)

    其中,b1=a1a2(r0+L)1n1b2=a3(r0+L)2n1b3=a3(r0+r1)2n1

    由式(1)和图3可知,锚杆在界面剪力T(r)和托盘反力Q作用下的静力平衡条件为

    r0+Lr0T(r)dr+Q=0
    (14)

    m2m3m4代入式(11)、式(12),并联立式(14)可求解得到锚杆中性点的位置r1,进而联立式(1)获得全长锚固锚杆在正常支护工况下其轴力和界面剪应力的解析解。

    如前所述,全长锚固锚杆支护过程中,围岩变形驱动锚杆杆体表面产生剪应力,使锚杆受到轴向拉伸作用;由于力的作用及反作用,锚杆通过锚固剂(或砂浆)会抑制围岩产生过大变形,从而给围岩提供支护抗力,起到支护围岩的作用。因此,锚杆与围岩的相互作用是一个不断收敛平衡直至形成稳定承载系统的过程。

    全长锚固锚杆−围岩楔形单元体(图4)的体积为

    图 4 全长锚固锚杆−围岩楔形单元体
    图  4  全长锚固锚杆−围岩楔形单元体
    Figure  4.  Wedge element of full-length anchoring bolt and surrounding rock
    dV=rr0D1D2dr
    (15)

    式中:D1D2为锚杆的间、排距。

    楔形单元体受到的径向体积力K(r)为

    K(r)=dP(r)dV
    (16)

    联立式(11)、式(15)和式(16)得到楔形单元体的体积力表达式。

    由于软岩巷道围岩径向各点的力学行为与岩石的全应力−应变曲线3阶段(弹性、塑性软化及残余强度阶段)相对应[,,],因而将图1表示为如图5所示的力学模型。锚杆支护后在围岩产生的附加应力场会改善其应力状态,故将支护后的围岩进一步划分为锚固残余区、锚固塑性软化区、非锚固塑性软化区和弹性区。

    图 5 软岩巷道围岩分区模型
    图  5  软岩巷道围岩分区模型
    Figure  5.  Model of surrounding rock partition of soft rock roadway

    此时,非锚固区和锚固区的静力平衡方程[]

    {dσrdr+σrσθr=0dσmrdr+σmrσmθr+K(r)=0
    (17)

    式中:σrσθ分别为非锚固区围岩的径向和切向应力;σmrσmθ分别为锚固区围岩的径向和切向应力。

    几何方程为

    εr=dU(r)drεθ=U(r)r
    (18)

    式中:ɛrɛθ分别为围岩的径向和切向应变。

    巷道开挖过程中,开挖面附近的岩体由于自身的空间效应(一般指距开挖面(5~6)r0以内),导致围岩变形及应力重分布不能立即完成,可等效为在巷道周边存在虚拟支护力的作用,该效应为巷道及时支护提供了理论依据[]。虚拟支护力作用下的围岩位移一般由E.Hoek拟合现场测量数据给出的方程[]来计算:

    Upxr0=U(r0)[1+exp(x/r01.10)]1.7
    (19)

    式中:Upxr0为原岩应力和巷道周边存在虚拟支护力作用下的洞壁位移,U(r0)为巷道仅在原岩应力作用下的洞壁位移;x为滞后巷道开挖面的距离,x=(5~6)r0px为巷道周边的虚拟支护力。

    由胡克定律可以得到弹性区的应力场[]

    {σer=p0+(σesrp0)(Rsr)2σeθ=p0(σesrp0)(Rsr)2
    (20)

    式中:σesr为弹塑性交界处围岩的径向应力。

    在弹塑性交界面,即r=Rs

    σesr=2p0σqK+1
    (21)

    1)非锚固塑性软化区。假设巷道围岩峰后塑性软化阶段的岩体强度σs是其应变ɛθ的线性函数,则σs可表示[]

    σs=σq+σcσq(α1)εesθ(εsθεesθ)
    (22)

    式中:εesθεsθ分别为弹塑性交界处和塑性软化阶段的围岩应变,由式(10)第1式联立式(18)及边界条件获得;σc为围岩体的残余强度;α为塑性软化区围岩的应变软化系数。

    塑性软化区的Mohr-Coulomb强度准则为

    σsθ=Kσsr+σs
    (23)

    联立式(17)中第1式、(22)和式(23),并当r=Rs时,由应力连续求得塑性软化区的径向应力为

    σsr=A1(rRs)K1A2(Rsr)1+n1+A3
    (24)

    其中,A1=2p0σqK+1+A2A3A2=2A0Es(K+n1)(1+n1)A3=2A0Es(K1)(1+n1)σqK1Es=σcσq(α1)A0

    r=Rb时,σs=σc,则由式(22)得到

    RsRb=[1+(α1)(1+n1)2]11+n1
    (25)

    2)锚固塑性软化区。联立式(17)中第2式和式(24),并由锚固软化区和非锚固软化区应力连续条件,即当r=r0+L时,σsr=σsmr,求得锚固塑性软化区径向应力为

    σsmr=A1(rRs)K1+A4r2n2K+n2+1+A5r2K+A61K+A7(rL+r0)K12A0Es(K+n1)(1+n2)(Rsr)1+n1
    (26)

    其中,A4=EaAar0a3D1D2A5=6m4EaAar0D1D2A6=σq2A0Es1+n2+2m3EaAar0D1D2A7=A3A4(L+r0)2n2K+n2+1A5(L+r0)2KA61K

    1)非锚固残余区。残余区Mohr-Coulomb强度准则为

    σbθ=Kσbr+σc
    (27)

    联立式(17)中第1式和式(27),并利用边界条件r=Rbσbr=σsr,求得残余区围岩的径向应力为

    σbr=[A1(RbRs)K1A2(RsRb)1+n1+σcσqK1+2A0Es(K+n1)(K1)](rRb)K1σcK1
    (28)

    2)锚固残余区。联立式(17)中第2式和式(27),利用边界条件(σbmr)r=Rbm=(σsmr)r=Rbm,得到锚固残余区围岩的径向应力为

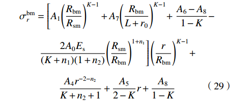
    σbmr=[A1(RbmRsm)K1+A7(RbmL+r0)K1+A6A81K2A0Es(K+n1)(1+n2)(RsmRbm)1+n1](rRbm)K1+A4r2n2K+n2+1+A52Kr+A81K
    (29)

    式中:A8=σc+2m3EaAar0D1D2RsmRbm分别为锚固塑性软化区和锚固残余区围岩的半径。

    在巷道表面r=r0处,将锚杆提供的支护阻力pi代入式(28)、式(29),并联立式(25)可分别得到锚固前、后的残余区和软化区半径。

    综合上文分析可知,由于考虑因素较多,所以计算过程较为复杂,其计算步骤主要如下:①首先求解巷道无支护(此时相当于围岩应力完全释放,初始支护力px=0)时围岩的残余区和软化区半径(RbRs),然后将其联立式(10)、式(19)求得空间效应影响下的巷道表面位移,再将该位移代入式(10)、(28)反算得到不同滞后开挖面距离x下的巷道表面虚拟支护力px;②在考虑虚拟支护力条件下,将围岩位移差(无支护和开始支护时的围岩位移差)代入全长锚固锚杆受力解析式,求解得到全长锚固锚杆轴力;③最后根据锚固后的围岩应力表达式及边界条件得到巷道围岩各分区的半径及应力分布。

    以淮南某矿轨道大巷工程背景为例,取巷道当量半径r0=3.0 m,原岩应力p0=24 MPa,岩体弹性模量E=8.0 GPa,泊松比ν=0.27,围岩极限强度σq=11.8 MPa,残余强度σc=0.52 MPa,内摩擦角φ=28°,其中待定常量的取值范围[]是:扩容系数n1n2=1.15~1.55,应变软化系数α=3.5~4.3(取4.1)。全长锚固锚杆的弹性模量Eb=200 GPa,直径db=22 mm,长度L=2.6 m,锚杆间排距D1D2=0.8 m,托盘反力Q=25 kN。锚固剂弹性模量Eg=16 GPa,钻孔直径dg=32 mm。

    巷道开挖卸荷使围岩由三向应力状态快速转变为二向(或单向)应力状态,围岩内部随着切、径向应力急剧升、降使其受到的偏应力作用骤增,裂隙向巷道周边快速萌生、扩展,导致围岩不断屈服进入塑性状态并形成新的承载结构[]。同时,由于巷道开挖面空间效应,围岩径向应力没有得到充分释放,致使围岩破裂损伤及应力重分布不能立即完成[],具体应力表征如图6a所示。当滞后开挖面距离x=2.0 m时,切向应力峰值距洞壁约3.79 m为38.39 MPa,而当x增加至15.0 m时,塑性区厚度增加了69.92%。说明随着滞后开挖面距离增加,围岩径向应力明显降低,切向应力峰区向其深部转移,表明一定径向范围内各点的围岩强度不断劣化,塑性屈服范围显著变大,导致围岩自身承载能力大幅减弱。主要原因在于随着开挖面向前推进,巷道自身的空间约束效应不断解除,即虚拟支护力逐渐衰减直至消逝,使得围岩变形破坏加剧。由此可见,软岩巷道围岩应力及强度调整过程可分为两个阶段,如图6b所示,第Ⅰ阶段可近似认为在巷道开挖快速完成,具有不可控性;第Ⅱ阶段围岩的变形破坏随径向应力释放呈现渐进式发育规律,同时也是围岩−支护体相互作用且产生协同承载效应的重要阶段。

    图 6 无支护条件下空间效应对围岩应力的影响
    图  6  无支护条件下空间效应对围岩应力的影响
    Figure  6.  Influence of spatial effect on surrounding rock stress under unsupported condition

    国内学者关于软岩巷道围岩承载效应相继提出了“主次承载区”、“深浅支撑层”等概念[-],尽管提法各异,但其内涵基本一致,都是以围岩破坏程度及其应力分布情况作为划分依据。次承载区一般为残余区,所受切向应力要低于原岩应力,主承载区通常由塑性软化区和弹性区组成,承担了绝大部分的围岩载荷,且对巷道稳定状态起着决定性作用。主承载区越靠近洞壁,围岩稳定性越高,反之越低[]。综上可知,巷道支护本质是及时有效地抑制围岩切向应力峰值区从AB偏移(图6b),减少围岩在第Ⅱ调整阶段的能量消耗,使其在较高能量状态下达到平衡状态,故可将AB区间视为“锚固调控区”。该区的力学机制如下:在围岩第Ⅰ调整阶段(图6b曲线1)及时将锚杆置入并涵盖次承载区,之后锚杆在第Ⅱ调整阶段的弹塑性及剪胀变形驱动下产生锚固力,并反作用于围岩。在此过程中,围岩的虚拟支护力和锚杆锚固力处于此消彼长的状态,但由于二者在量级和敏感性方面的差异,应力曲线1存在向曲线2转化的趋势,直至达到平衡稳定状态为止。这反映了锚杆支护具有显著的时效性特征,也说明了围岩与锚杆之间不仅要满足锚固耦合效应即产生耦合作用力,同时还要充分发挥围岩主、次承载区的相互协调作用,提高围岩自身的承载能力,使巷道锚固系统整体趋于稳定。

    围岩与锚杆相互作用过程中,锚杆在不同深度围岩的不均匀变形驱动作用下产生“锚固效应”,从而达到约束围岩变形、抑制其破坏的目的。这说明锚杆“锚固效应”强弱不仅和其长度、直径等属性密切相关,同时还受到围岩破坏程度、扩容特性等客观条件的影响。本节基于全长锚固围岩模型的理论推导,研究空间效应(支护时机)、扩容系数、锚杆长度和托盘反力对围岩−锚杆相互作用的力学特性的影响。

    图7为不同滞后距离支护(支护时机)对围岩应力及锚杆轴力分布的影响。由图7可知,随着滞后开挖面支护距离的减小,围岩应力升高区向洞壁方向移动,残余区和塑性软化区半径不断缩小,与此对应,锚杆杆体所受轴力呈现愈发不均分布趋势,轴力峰值明显升高。其中,滞后开挖面距离x为2.0、4.0和6.0 m时,对应的残余区和塑性软化区外边界分别为:1.32r0/2.59r0、1.38r0/2.72r0、1.44r0/2.83r0,锚杆所受轴力峰值分别为141.38、100.73、68.96 kN。与无支护时(x=15.0 m)相比,残余区范围降低27.1%~47.0%,塑性软化区范围降低9.8%~17.4%。由此可见,巷道开挖−支护过程中,锚杆安装时机越早,围岩−锚杆的耦合作用效果就越显著,二者之间能快速构成共同承载体,不仅提高了围岩的自承能力,减小了塑性区范围,还有效发挥了锚杆的锚固潜能,符合上述“锚固调控区”的概念。

    图 7 空间效应与围岩应力、锚杆轴力关系
    图  7  空间效应与围岩应力、锚杆轴力关系
    Figure  7.  Relationship between space effect and surrounding rock stress and axial force of anchor rod

    以滞后开挖面3.0 m为研究断面(下文保持相同),得到开挖面推进过程中围岩扩容系数对围岩应力和锚杆受力的影响,如图8所示。由图8可知,围岩残余区扩容系数n2与锚杆轴力分布呈正相关性,而与围岩切向应力峰值位置呈负相关性,即随着扩容系数增大,锚杆轴力集中程度明显升高,围岩塑性区半径不断减小。其中,当扩容系数n2为1.4、1.6和1.8,锚杆轴力峰值为127.22、165.4、211.57 kN,则所对应的残余区和塑性软化区外边界分别为:1.34r0/2.63r0、1.29r0/2.52r0、1.23r0/2.41r0。经过分析,原因在于扩容系数越大,围岩位移及其梯度变化明显增高,致使围岩/锚固剂界面间相对位移变大,锚杆轴力迅速升高,进而对围岩的产生的锚固作用愈显著。这表明较破碎围岩的扩容(剪胀)变形使得锚杆锚固力发展速率加快,对围岩径向应力恢复作用越加明显,有利于保证承载结构的稳定性。

    图 8 扩容系数与围岩应力、锚杆轴力关系
    图  8  扩容系数与围岩应力、锚杆轴力关系
    Figure  8.  Relationship of expansion coefficient with surrounding rock stress and anchor rod axial force

    图9给出了锚杆长度对围岩应力和锚杆受力的影响。

    图 9 锚杆长度与围岩应力、锚杆轴力关系
    图  9  锚杆长度与围岩应力、锚杆轴力关系
    Figure  9.  Relationship between anchor length, surrounding rock stress and anchor axial force

    可以发现,锚杆长度对围岩应力分布影响显著。锚杆长度L分别为2.4、2.8和3.2 m时,围岩残余区和塑性软化区外边界分别为1.38r0/2.70r0、1.33r0/2.60r0、1.28r0/2.51r0,锚杆轴力峰值分别为107.44、133.48、159.74 kN。这是因为全长锚杆锚固过程中,主要由岩石或锚杆位移引起锚固层界面的剪切使杆体产生高径向应力,通过这些应力在锚固界面产生的摩擦阻力来限制围岩变形。由于围岩变形向深部呈现逐渐衰减趋势,导致沿杆体分布的剪应力方向相反,即杆体上存在中性点,而中性点两侧剪应力使锚杆处于一种类似拔河的状态[]。因而,锚杆长度越大,围岩与锚固剂(或砂浆)界面间的粘结范围越广,致使杆体受到的拉拔矛盾愈显著,沿杆体的轴力集中程度及其峰值相对增加,从而对围岩产生锚固作用也就越强,造成围岩应力升高区呈现向洞壁偏移的现象。同时,随着锚杆长度增加,杆体更易伸入到围岩深部较稳定的岩体中,有效锚固长度变大,而且锚固区域内的围压较大,有利于发挥锚杆的锚固性能,并能调动深部围岩实现共同承载。可见,在一定程度上锚杆越长,围岩塑性破坏范围明显减小,有助于实现巷道的长期稳定性。

    图10为托盘反力对围岩应力和锚杆受力的影响。由图10a可知,托盘反力Q由20 kN变化至80 kN时,相对于Q=20 kN,围岩切向应力峰值仅向巷道周边偏移了2.8%~5.3%,说明全长锚固锚杆托盘反力对控制围岩变形破坏十分有限。观察图10b得到,随着托盘反力不断增大,沿杆体的轴力分布越不均匀,轴力明显增加,且轴力峰值位置向着孔口方向移进,说明托盘反力可以有效提高锚杆的锚固力。在该算例中,托盘反力的增幅为30 kN,但轴力峰值增幅相对较小约17 kN,根据姚显春[]和张玉军[]等人的观点,将单根锚杆的最大轴力等效为巷道表面的支护力,说明此时等效支护阻力变化较小,因而对围岩塑性区控制效果不明显。综上分析可知,带托盘全长锚固锚杆对围岩的锚固力由2部分组成,一部分是托盘反力对孔口附近围岩产生压应力,并在之后的围岩变形中逐渐增大,进一步约束巷道表面,同时也对锚杆产生明显拉拔效应,改善杆体的受力状态,称之为托锚力;另一部分是杆体在围岩位移驱动作用下产生的剪切作用力即锚固界面剪应力,随着围岩位移增大而增大,使锚杆承受轴向载荷,并且由于剪应力沿杆长各点均对围岩产生锚固作用,相比于端锚而言锚固范围更广,可将其称之为剪锚力。由此可见,全长锚杆锚固过程中,剪锚力对围岩的锚固控制效果起主导作用,托锚力主要具有增强锚杆锚固力、挤压破碎松动块体的护表能力。

    图 10 托盘反力与围岩应力、锚杆轴力关系
    图  10  托盘反力与围岩应力、锚杆轴力关系
    Figure  10.  Relationship between tray reaction force, surrounding rock stress and anchor rod axial force

    1) 考虑巷道围岩峰后强度软化时的扩容特征,以围岩变形为基础,结合全长锚固锚杆受力边界条件,推导了全长锚固锚杆受力解析式。利用等效体积力法建立了全长锚固围岩力学模型,将圆形巷道由表及里依次划分为锚固残余区、锚固塑性软化区、非锚固塑性软化区及弹性区,推导了围岩各分区的应力解析表达式。分析了空间效应、扩容系数、锚杆长度等因素影响对锚杆−围岩相互作用的力学响应,阐明了其耦合作用机制。

    2) 巷道开挖过程中,开挖面附近一定范围内围岩的应力和强度的调整都将受到其自身的制约,其变形破坏并不会立即完成,将其划分为Ⅰ、Ⅱ两个调整阶段,锚杆锚固力主要在第Ⅱ调整阶段的弹塑性及剪胀变形作用下产生,且虚拟支护力和锚固力呈现此消彼长的状态,借此提出了“锚固调控区”的概念。

    3) 锚杆安装时机越早,其杆体轴力明显增大,对围岩的破坏抑制效果越好;当围岩扩容系数较大,锚杆锚固力发展速率显著升高,有利于快速恢复浅部围岩径向应力;随着锚杆长度增大,围岩应力升高区向洞壁方向移动,塑性区半径明显减小;全长锚固锚杆托盘反力变化对围岩切向应力峰值的影响较小,其作用主要体现在改善杆体受力情况,并对破碎围岩产生一定的挤压护表能力。

  • 图  1   全长锚杆锚固围岩力学模型

    Figure  1.   Mechanical model of full-length bolt anchoring surrounding rock

    图  2   围岩中全长锚固锚杆微单元受力示意

    Figure  2.   Stress components of full-length anchor element in surrounding rock

    图  3   全长锚固锚杆正常支护下的剪应力分布情况

    Figure  3.   Shear stress distribution of full-length anchoring bolt under normal support

    图  4   全长锚固锚杆−围岩楔形单元体

    Figure  4.   Wedge element of full-length anchoring bolt and surrounding rock

    图  5   软岩巷道围岩分区模型

    Figure  5.   Model of surrounding rock partition of soft rock roadway

    图  6   无支护条件下空间效应对围岩应力的影响

    Figure  6.   Influence of spatial effect on surrounding rock stress under unsupported condition

    图  7   空间效应与围岩应力、锚杆轴力关系

    Figure  7.   Relationship between space effect and surrounding rock stress and axial force of anchor rod

    图  8   扩容系数与围岩应力、锚杆轴力关系

    Figure  8.   Relationship of expansion coefficient with surrounding rock stress and anchor rod axial force

    图  9   锚杆长度与围岩应力、锚杆轴力关系

    Figure  9.   Relationship between anchor length, surrounding rock stress and anchor axial force

    图  10   托盘反力与围岩应力、锚杆轴力关系

    Figure  10.   Relationship between tray reaction force, surrounding rock stress and anchor rod axial force

  • [1] 赵光明,彭 瑞,孟祥瑞,等. 软岩巷道开挖-支护过程承载结构稳定性分析[J]. 中国矿业大学学报,2017,46(4):792−802. doi: 10.13247/j.cnki.jcumt.000708

    ZHAO Guangming,PENG Rui,MENG Xiangrui,et al. Stability of bearing structure during soft roadway excavation-supporting[J]. Journal of China University of Mining & Technology,2017,46(4):792−802. doi: 10.13247/j.cnki.jcumt.000708

    [2] 康红普,姜鹏飞,高富强,等. 掘进工作面围岩稳定性分析及快速成巷技术途径[J]. 煤炭学报,2021,46(7):2023−2045.

    KANG Hongpu,JIANG Pengfei,GAO Fuqiang,et al. Analysis on stability of rock surrounding heading faces and technical approaches for rapid heading[J]. Journal of China coal society,2021,46(7):2023−2045.

    [3] 赵呈星,李英明,刘 刚,等. 深部软岩巷道围岩支护技术研究[J]. 煤炭科学技术,2022,50(4):76−84. doi: 10.13199/j.cnki.cst.2019-1024

    ZHAO Chengxing,LI Yingming,LIU Gang,et al. Study on surrounding rock support technology of deep soft rock roadway[J]. Coal Science and Technology,2022,50(4):76−84. doi: 10.13199/j.cnki.cst.2019-1024

    [4] 刘 坤,黄其文,孙成磊,等. 易崩解弱胶结软岩巷道失稳机理及控制技术[J]. 煤炭科学技术,2020,48(S2):17−23.

    LIU Kun,HUANG Qiwen,SUN Chenglei,et al. Mechanism and control technology of roadway instability in weakly cemented and easily disintegrating soft rock[J]. Coal Science and Technology,2020,48(S2):17−23.

    [5] 韩 征,李龙清. 基于四阶段应力-应变模型的深部巷道围岩弹塑性分析[J]. 煤炭科学技术,2022,50(5):84−91. doi: 10.13199/j.cnki.cst.2020-0746

    HANG Zheng,LI Longqing. Elastic-plastic analysis of surrounding rock in deep roadway based on four-stage stress-strain model[J]. Coal Science and Technology,2022,50(5):84−91. doi: 10.13199/j.cnki.cst.2020-0746

    [6] 余伟健,高 谦,朱川曲. 深部软弱围岩叠加拱承载体强度理论及应用研究[J]. 岩石力学与工程学报,2010,29(10):2134−2142.

    YU Weijian,GAO Qian,ZHU Chuanqu. Study of strength theory and application of overlap arch bearing body for deep soft surrounding rock[J]. Chinese Journal of Rock Mechanics and Engineering,2010,29(10):2134−2142.

    [7] 李桂臣,杨 森,孙元田,等. 复杂条件下巷道围岩控制技术研究进展[J]. 煤炭科学技术,2022,50(6):29−45. doi: 10.13199/j.cnki.cst.2022-0304

    LI Guichen,YANG Sen,SUN Yuantian,et al. Research progress of roadway surrounding strata rock control technologies under complex conditions[J]. Coal Science and Technology,2022,50(6):29−45. doi: 10.13199/j.cnki.cst.2022-0304

    [8]

    JAEGER J C, COOK N G W. Fundamentals of rock mechanics[M]. London: Chapman and Hall, 1978.

    [9] 蔡美峰, 何满潮, 刘东燕. 岩石力学与工程[M]. 北京: 科学出版社, 2002.

    CAI Meifeng, HE Manchao, LIU Dongyan. Rock mechanics and engineering[M]. Beijing: Science Press, 2002.

    [10] 陈登国,高召宁,赵光明,等. 基于锚固力学效应巷道围岩稳定性分析[J]. 煤炭学报,2020,45(3):1009−1019. doi: 10.13225/j.cnki.jccs.SJ19.1819

    CHEN Dengguo,GAO Zhaoning,ZHAO Guangming,et al. Stability anaiysis of surrounding rock under anchorage mechanics effect[J]. Journal of China Coal Society,2020,45(3):1009−1019. doi: 10.13225/j.cnki.jccs.SJ19.1819

    [11] 余 涛,方 勇,姚志刚,等. 隧道预应力锚杆锚固结构承载效应及围岩力学分析[J]. 岩土工程学报,2022,44(6):1069−1077.

    YU Tao,FANG Yong,YAO Zhigang,et al. Bearing effect of prestressed bolt-anchored structures and mechanical analysis of surrounding rock[J]. Chinese Journal of Geotechnical Engineering,2022,44(6):1069−1077.

    [12] 孙海良,赵静雅,孙家悦. 深部高地应力巷道组合锚索高压注浆技术研究[J]. 煤炭科学技术,2020,48(12):68−73.

    SUN Hailiang,ZHAO Jingya,SUN Jiayue. Study on high-pressure grouting technology with combined anchor and cable under high ground stress roadway[J]. Coal Science and Technology,2020,48(12):68−73.

    [13] 付国彬. 巷道围岩破裂范围与位移的新研究[J]. 煤炭学报, 1995, 20(3): 304−310.

    FU Guobin. Recent investigation of extent of fractured zone and displacement of rocks around the roadways[J]. Journal of China Coal Society[J]. 1995, 20(3): 304−310.

    [14] 马念杰. 软化岩体中巷道围岩塑性区分析[J]. 阜新矿业学院学报(自然科学版),1995,14(4):18−21.

    MA Nianjie. A study of plastic zone around openings in the softening rockmass[J]. Journal of Fuxin Mining Institute(Natural Science),1995,14(4):18−21.

    [15] 周 建,经来旺,叶金胜,等. 考虑空间和锚固效应的硐室围岩弹塑性分析[J]. 煤炭学报,2018,43(8):2173.

    ZHOU Jian,JING Laiwang,YE Jinsheng,et al. Elasto-plastic analysis of chamber rock considering spatial effect and anchorage mechanical effect[J]. Journal of China Coal Society,2018,43(8):2173.

    [16] 煤矿安全规程(最新修订版)[M]. 1版. 北京: 应急管理出版社. 2016.
    [17] 陆士良, 汤 雷, 杨新安. 锚杆锚固力与锚固技术[M]. 北京: 煤炭工业出版社, 1998.
    [18] 陶文斌,吴平平,陈铁林,等. 基于锚杆拉拔试验优化锚固承载特性研究[J]. 煤炭科学技术,2022,50(9):10−19. doi: 10.13199/j.cnki.cst.2020-1609

    TAO Wenbin,WU Pingping,CHEN Tielin,et al. Experimental research on optimization of anchorage bearing characteristics based on bolt pull-out test[J]. Coal Science and Technology,2022,50(9):10−19. doi: 10.13199/j.cnki.cst.2020-1609

    [19]

    HE L,AN X M,ZHAO Z Y. Fully Grouted Rock Bolts: An Analytical Investigation[J]. Rock Mechanics and Rock Engineering,2015,48(3):1181−1196. doi: 10.1007/s00603-014-0610-0

    [20]

    ZHANG W L, HUANG L, JUANG C H. An analytical model for estimating the force and displacement of fully grouted rock bolts[J]. Computers and Geotechnics, 2020, 117.

    [21]

    FREEMAN T J. The behaviour of fully-bonded rock bolts in the Kielder experimental tunnel[J]. Tunnels and Tunnelling,1978(7):37−40.

    [22] 王明恕. 全长锚固锚杆机理的探讨[J]. 煤炭学报,1983,7(1):40−47. doi: 10.13225/j.cnki.jccs.1983.01.005

    WANG Mingshu. Mechanism of fully-column rock bolt[J]. Journal of China Coal Society,1983,7(1):40−47. doi: 10.13225/j.cnki.jccs.1983.01.005

    [23]

    CAI Y,ESAKI T,JIANG Y J. An analytical model to predict axial load in grouted rock bolt for soft rock tunnelling[J]. Tunnelling and Underground Space Technology Incorporating Trenchless Technology Research,2004,19(6):607−618.

    [24] 姚显春,李 宁,陈蕴生. 隧洞中全长粘结式锚杆的受力分析[J]. 岩石力学与工程学报,2005,24(13):2272−2276. doi: 10.3321/j.issn:1000-6915.2005.13.012

    YAO Xianchun,LI Ning,CHEN Yunsheng. Theoretical solution for shear stresses on interface of fully grouted bolt in tunnels[J]. Chinese Journal of Rock Mechanics and Engineering,2005,24(13):2272−2276. doi: 10.3321/j.issn:1000-6915.2005.13.012

    [25] 朱训国,杨 庆,栾茂田,等. 围岩中原始垂直地应力对圆形隧洞全长注浆岩石锚杆应力分布模式的影响分析[J]. 岩石力学与工程学报,2009,28(S1):2928−2934.

    ZHU Xunguo,YANG Qing,LUAN Maotian,et al. Effect analysis of initial vertical geostress in surrounding rock on stress distribution mode of fully grouted rock bolt in circular tunnel[J]. Chinese Journal of Rock Mechanics and Engineering,2009,28(S1):2928−2934.

    [26] 陈 梁,茅献彪,陈彦龙. 考虑围岩峰后破坏的全锚锚杆受力特性[J]. 煤炭学报,2018,43(4):923−930. doi: 10.13225/j.cnki.jccs.2017.1050

    CHEN Liang,MAO Xianbiao,CHEN Yanlong. Mechanical characteristics analysis of fully anchored bolts considering different post-peak failure models of surrounding rock[J]. Journal of China Coal Society,2018,43(4):923−930. doi: 10.13225/j.cnki.jccs.2017.1050

    [27] 侯公羽,李晶晶. 弹塑性变形条件下围岩-支护相互作用全过程解析[J]. 岩土力学,2012,33(4):961−970. doi: 10.16285/j.rsm.2012.04.025

    HOU Gongyu,LI Jingjing. Analysis of complete process of interaction of surrounding rock and support under elastoplastic deformation condition[J]. Rock and Soil Mechanics,2012,33(4):961−970. doi: 10.16285/j.rsm.2012.04.025

    [28] 李英明,赵呈星,丛 利,等. 基于实际围岩变形的全长锚固锚杆杆体应力分布特征分析[J]. 煤炭学报,2019,44(10):2966−2973. doi: 10.13225/j.cnki.jccs.2018.1531

    LI Yingming,ZHAO Chengxing,CONG Li,et al. Analysis of stress distribution characteristics of fully anchored bolt based on actual surrounding rock deformation[J]. Journal of China Coal Society,2019,44(10):2966−2973. doi: 10.13225/j.cnki.jccs.2018.1531

    [29] 朱训国. 地下工程中注浆岩石锚杆锚固机理研究[D]. 大连: 大连理工大学, 2007.

    ZHU Xunguo. The reinforcement mechanics of fully grouted rock bolt in underground engineering[D]. Dalian: Dalian University of Technology, 2007.

    [30] 靖洪文,苏海健,孟 波,等. 巷道锚杆锚固力学特性现场试验研究[J]. 中国矿业大学学报,2022,51(1):16−23. doi: 10.3969/j.issn.1000-1964.2022.1.zgkydxxb202201002

    JING Hongwen,SU Haijian,MENG Bo,et al. Field test research on anchorage mechanical characteristics of roadway bolt[J]. Journal of China University of Mining & Technology,2022,51(1):16−23. doi: 10.3969/j.issn.1000-1964.2022.1.zgkydxxb202201002

    [31] 姚国圣,李镜培,谷拴成. 考虑岩体扩容和塑性软化的软岩巷道变形解析[J]. 岩土力学,2009,30(2):463−467. doi: 10.3969/j.issn.1000-7598.2009.02.030

    YAO Guosheng,LI Jingpei,GU Shuancheng. Analytic solution to deformation of soft rock tunnel considering dilatancy and plastic softening of rock mass[J]. Rock and Soil Mechanics,2009,30(2):463−467. doi: 10.3969/j.issn.1000-7598.2009.02.030

    [32] 高家美,顿志林. 全长粘结型锚杆支护后围岩应力和位移的线弹性分析[J]. 长沙矿山研究院季刊,1989,9(3):55−64.

    GAO Jiamei,DUN Zhilin. A linear elastic analysis of stress and displacement in wall rocks under full-column cemented rock bolting conditions[J]. Quarterly of CimR,1989,9(3):55−64.

    [33] 李英明,赵呈星,刘增辉,等. 围岩承载层分层演化规律及“层-双拱”承载结构强度分析[J]. 岩石力学与工程学报,2020,39(2):217−227.

    LI Yingming,ZHAO Chengxing,LIU Zenghui,et al. Research on layered evolution law of surrounding rock bearing layers and strength analysis of “layer-double arch” bearing structure[J]. Chinese Journal of Rock Mechanics and Engineering,2020,39(2):217−227.

    [34] 袁 亮,薛俊华,刘泉声,等. 煤矿深部岩巷围岩控制理论与支护技术[J]. 煤炭学报,2011,36(4):535−543.

    YUAN Liang,XUE Junhua,LIU Quansheng,et al. Surrounding rock stability control theory and support technique in deep rock roadway for coal mine[J]. Journal of China Coal Society,2011,36(4):535−543.

    [35] 朱建明,徐秉业,任天贵. 巷道围岩主次承载区协调作用[J]. 中国矿业,2000,9(2):41−44. doi: 10.3969/j.issn.1004-4051.2000.02.012

    ZHU Jianming,XU Bingye,REN Tiangui. Coordination between primary and secondary support zones of drifts surrounding rock[J]. China Mining Magazine,2000,9(2):41−44. doi: 10.3969/j.issn.1004-4051.2000.02.012

    [36] 赵光明,张小波,王 超,等. 软弱破碎巷道围岩深浅承载结构力学分析及数值模拟[J]. 煤炭学报,2016,41(7):1632−1642.

    ZHAO Guangming,ZHANG Xiaobo,WANG Chao,et al. Mechanical analysis and numerical simulation for deep and shallow bearing structures of soft and broken roadway surrounding rock[J]. Journal of China Coal Society,2016,41(7):1632−1642.

    [37] 麦倜曾,张玉军. 锚固岩体力学性质的研究[J]. 工程力学,1987(1):106−116.

    MAI Tizeng,ZHANG Yujun. Research of the bolted rocks statical behavior[J]. Engineering Mechanics,1987(1):106−116.

  • 期刊类型引用(7)

    1. 孙中光. 软岩巷道大变形机理及主被动协同控制技术研究. 能源与环保. 2025(06) 百度学术
    2. 张宁. 断层应力下巷道围岩支护技术应用. 江西煤炭科技. 2025(01): 48-50+54 . 百度学术
    3. 史圩. 巷道深部围岩承载层支护技术研究. 凿岩机械气动工具. 2025(04): 160-162 . 百度学术
    4. 高杨轶,王贻明,张纯锋,付琛,张宏荣. 软岩巷道预应力锚杆支护设计与参数优化. 矿业研究与开发. 2025(05): 113-122 . 百度学术
    5. 张仁华. 张家湾煤业21305巷道围岩变形及巷道支护技术研究. 能源与节能. 2024(09): 200-203 . 百度学术
    6. 汪禹,张西良,李龙福,殷登才,崔正荣,王小兵,金科. 深部破碎软岩巷道超前控顶加固及控制爆破技术. 爆破. 2024(03): 75-84 . 百度学术
    7. 王佳奇,姚直书,刘小虎,方玉,许永杰,李会. 温压耦合不同锚固长度锚固体受力特征及拉拔荷载传递规律研究. 中南大学学报(自然科学版). 2024(12): 4628-4640 . 百度学术

    其他类型引用(12)

图(10)
计量
  • 文章访问数:  138
  • HTML全文浏览量:  30
  • PDF下载量:  59
  • 被引次数: 19
出版历程
  • 收稿日期:  2022-10-24
  • 网络出版日期:  2023-09-26
  • 刊出日期:  2023-10-19

目录

CHENG Xiang

  1. On this Site
  2. On Google Scholar
  3. On PubMed

/

返回文章
返回