高级检索

松散堆积体大型直剪试验及强度取值方法研究

Research on mechanical behaviour and determination method for shear strength of colluvial deposit in large-scale direct shear tests

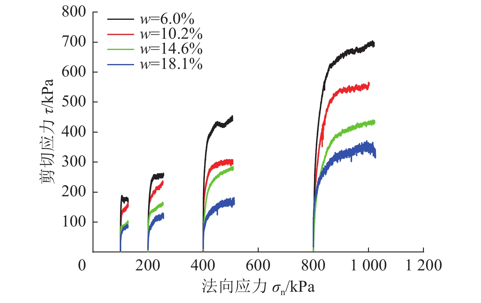
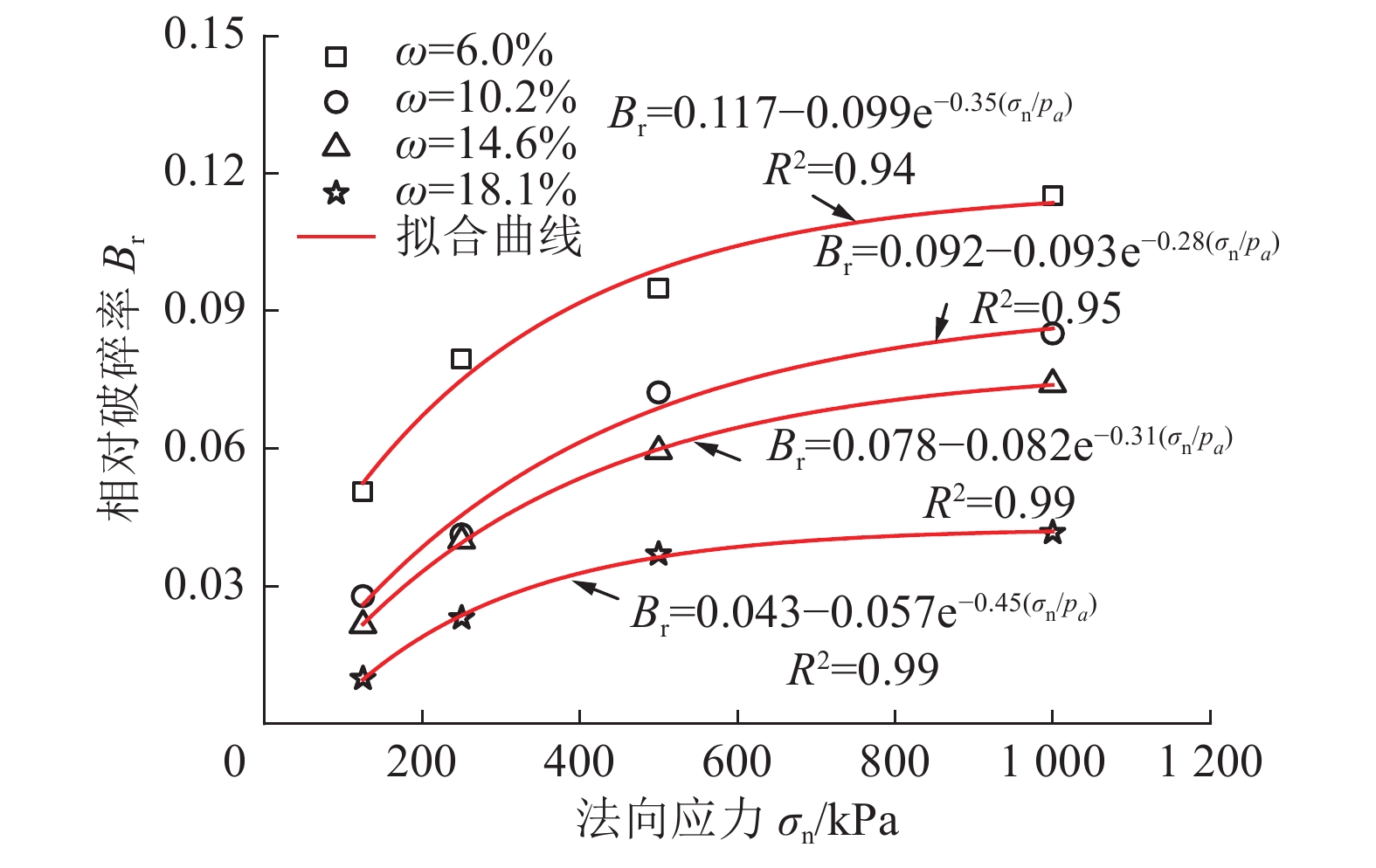
  • 摘要: 为掌握堆积体力学强度特性及含水量对其影响规律,以三峡地区某典型滑坡松散堆积体作为研究对象,对不同含水量条件下堆积体开展室内大型直剪试验,分析堆积体剪切过程中的应力−应变、颗粒破碎、体积应变、剪切面破坏等宏观力学特征,并提出适用于堆积体抗剪强度的取值方法。研究结果表明:① 不同含水量下堆积体均呈明显的应变硬化特征,剪应力−位移曲线无显著的峰值,但存在一定程度的应力“跳跃”现象;② 堆积体剪切过程产生了较为明显的颗粒破碎现象,表现为颗粒相对破碎率随含水量降低或法向应力增大而增大;③ 剪切破坏面形态并非理想的平面,随含水量增大,剪切面由“上凸下凹”不规则状逐渐向空间上与剪切缝成一定夹角的平直破坏面转变;④ 结合剪切过程中剪切面上法向应力、剪切应力和应力比特征分析,提出了基于应力比的堆积体抗剪强度取值方法,并验证了该方法的有效性,该方法不仅操作简便、人为干扰小,且更能反映土石混合堆积体的剪切破坏实质;⑤ 水对堆积体具有明显的软化作用,随含水量增大,表观黏聚力c和内摩擦角φ近似线性降低,且表观黏聚力的劣化效应大于内摩擦角。研究成果可为西南山区堆积体剪切力学特性与强度取值确定提供参考依据。

     

    Abstract: In order to master the mechanical strength characteristics of the colluvial deposit and the influence of water content on it, a typical loose colluvial deposit of landslide in southwest China was taken as a research object. A series of large-scale direct shear tests were carried out under different water content conditions and normal stress, the macro mechanical characteristics such as stress-strain, particle breakage, volumetric strain, shear plane failure and so on in the shear process of the colluvial deposit were analyzed, and the determination method suitable for its shear strength was proposed. The research indicates that the colluvial deposit shows obvious strain hardening characteristics under different water contents, and the shear stress displacement curve has no significant peak value, but there is a certain degree of stress "jump" phenomenon. Besides, the shear process produces a relatively obvious particle crushing phenomenon, and the relative particle crushing rate increases with the decrease of water content or the increase of normal stress. Meanwhile, the tests show that the shape of shear failure surface is not an ideal plane. With the increase of water content, the shear surface gradually changes from an irregular shape of "convex up and concave down" to a flat failure surface with a certain angle with the shear joint in space. Combined with the analysis of the characteristics of the normal stress, shear stress and stress ratio on the shear plane during the shear process, a method for determining the shear strength of the accumulation based on the stress ratio is proposed, and the effectiveness of this method is verified. This method is not only simple to operate, with little human interference, but also can better reflect the essence of the shear failure of the soil rock mixture. Finally, the tests reveal that water has an obvious softening effect on the colluvial deposit. The apparent cohesioncand internal friction angleφlinearly decrease approximately with the increase of water content, and the deterioration effect of apparent cohesion is greater than that of internal friction angle. The research results can provide a reference for the determination of shear mechanical properties and strength values of deposits in the southwest mountain area.

     

/

返回文章
返回