高级检索

基于煤样破坏声发射特征的冲击地压评价预警研究

Early-warning evaluation and warning of rock burst using acoustic emission characteristics of coal sample failure

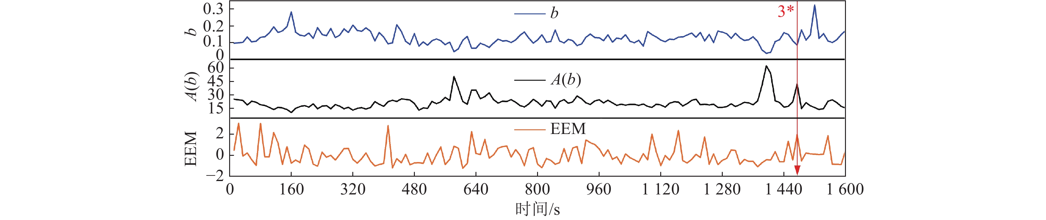
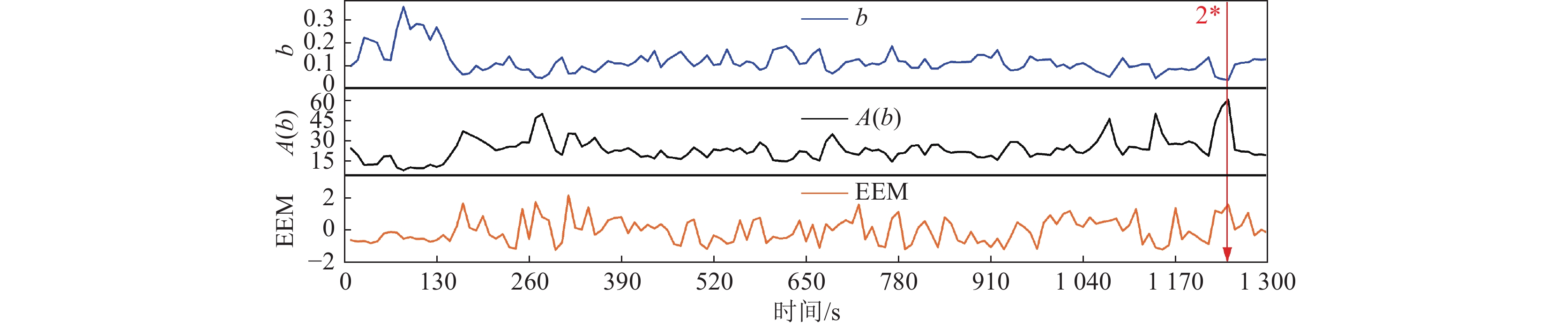
  • 摘要: 冲击地压作为深部煤矿开采中最常见的煤岩动力灾害,严重影响煤炭资源安全高效开采。精准及时的预测预报是冲击地压防治的关键。为研究煤岩体冲击前兆信息特征,建立高效精准的动态预测模型,通过对冲击倾向性煤样进行三轴压缩试验,获取煤样破坏过程声发射特征参数,选取典型冲击矿井工作面微震参数监测值,与实验室所得声发射参数进行对比,分析实验室和工程尺度下的声发射与微震参数特征之间的相似性,建立两者之间冲击声学信息的表征关系。结果表明,煤样压缩过程中声发射累计能量的“阶梯状”增长与大能量矿震事件发生前的“缺震”现象都揭示了煤岩体能量的孕育过程。同一能量指标在不同尺度下对大能量事件的发生具有相同的演化趋势,经量化后可作为冲击地压危险性预警指标。继而选取影响工作面冲击地压发生的静态因素与应力动态因素,结合所得微震参数指标分别赋予动态权重,并引入贝叶斯概率进行修正,构建冲击地压动−静态协同综合评价预警模型。利用该模型对河南某冲击矿井工作面危险性进行评价预警,获得优于传统评价模型的预警结果,展现了该模型的工程适用性与准确性。

     

    Abstract: As the most common dynamic disaster of coal rock in deep coal mining, rock burst seriously affects the safe and efficient mining of coal resources. Accurate and timely to predict the rock burst is the best way to control and prevent it. In order to study the precursory information characteristics of coal rock impact to establish an efficient and accurate dynamic prediction model. The triaxial compression test of coal bursting liability performed to get the acoustic emission characteristic parameters of coal failure process, meanwhile the monitoring values of microseismic parameters of typical impact mine face were selected and compared with the AE parameters obtained in the laboratory, then based on the similarity of them, the relationship between laboratory-scale and engineering-scale impact acoustic information representation had been built. It shows the “stepwise” increase of accumulated AE energy during coal sample compression and the “lack of earthquake” phenomenon before the occurrence of large energy seismic events have a good correlation, both of them could be used to revealed the energy breeding process of coal and rock mass. The same energy index has the same evolutionary trend for the occurrence of large energy events at different scales, and it can be used as an early warning index of rock burst risk after quantification. In addition, the static factors and stress dynamic factors affecting the occurrence of rock burst in working face are selected, and the dynamic weights are given respectively by combining the microseismic parameters obtained, which modified by using the Bayesian probability, then a static cooperative comprehensive evaluation and early warning model of rock burst is constructed. Furthermore, the model is used to evaluate and warn the danger of a mining face in Henan Province, and the results are better than those of the traditional evaluation model, which shows the engineering applicability and accuracy of the model.

     

/

返回文章
返回