高级检索

呼吉尔特矿区矿井水回灌模拟的水化学演化研究

Hydrochemical evolution of mine water injection in Hojirt Mining Area

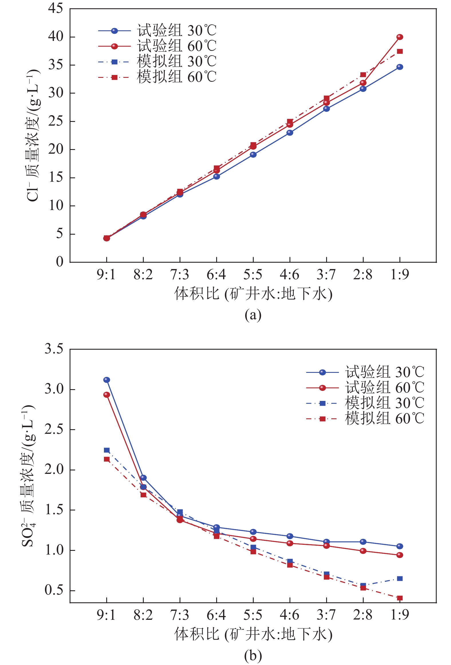
  • 摘要: 近年来我国鄂尔多斯盆地地区开采侏罗系煤层的规模逐渐扩大,煤层开采过程中产生的矿井水一直是煤矿关注的重点问题。煤层顶底板水害是威胁煤矿生产安全的重要问题,但同时矿井水也是珍贵的水资源,所以“煤−水”双资源开发利用是绿色矿山发展的必要手段。矿井水经过处理后可以用于煤矿的生产生活用水,但对于涌水量较大的煤矿,矿井水的处理再利用不能满足生产需要时,矿井水回灌技术既能将水资源存储起来避免浪费,又能达到矿井水零排放的环保目标。矿井水通过回灌存储于其他含水层,在保证煤层开采安全的前提下将水资源保存下来。矿井水在含水层中渗流移动,水化学成分、温度等都随之产生变化,此过程中所发生的水化学作用是影响地下水环境质量的主要因素。因此,回灌过程中的水化学演化研究是保障含水层水质的关键,也是回灌可行性的前提。通过室内试验和建立数值模型等方法对矿井水回灌过程中发生的水化学演化过程进行了分析。研究结果表明:① 地下水的水温越高,回灌过程中生成的沉淀量越大。② 矿井水在回灌过程中会生成硫酸钙和硫酸镁沉淀,并以硫酸钙沉淀为主,在长期水岩作用中会使含水层中石膏和硬石膏含量增加。③ 长期回灌过程中,硫酸钙沉淀冲至流网下游,会对回灌过程产生不利影响。④ 沉淀量以回灌井为起点随着距离的延长呈现近多远少的趋势。

     

    Abstract: Recent years, the mining scale in Ordos Basin has been expanding gradually. And mine water has always been a crucial problem in coal mines. It’s a threaten for coal mine production. But at the same time, mine water is also precious water resource. So the dual utilization of coal and water is necessary for environmental protection. The hydrochemical evolution of mine water injection is the main factor of groundwater quality. So, the study of hydrochemical is the key to ensure groundwater quality, and also the premise of injection feasibility. In this paper, the hydrochemical evolution was analyzed by experiments and simulation. The results show that: ① The high temperature makes more precipitation.② It will generate calcium sulfate and magnesium sulfate, mainly calcium sulfate. Gypsum and anhydrite will increase in aquifer. ③ The precipitation of calcium sulfate would be flushed to the downstream of the flow network. It will adversely affect the injection process. ④ The farther away from the injection well, the less precipitation will stay. The above analysis provided a basis for the mechanism of hydrochemical evolution in mine water injection. And it provided significant reference for the application of mine water injection.

     

/

返回文章
返回