Processing math: 100%
高级检索

非静水压条件下深部岩石能量耗散规律及破坏特征试验研究

方士正, 杨仁树, 李炜煜, 李永亮, 陈骏

方士正,杨仁树,李炜煜,等. 非静水压条件下深部岩石能量耗散规律及破坏特征试验研究[J]. 煤炭科学技术,2023,51(10):83−96. DOI: 10.13199/j.cnki.cst.2022-1504
引用本文: 方士正,杨仁树,李炜煜,等. 非静水压条件下深部岩石能量耗散规律及破坏特征试验研究[J]. 煤炭科学技术,2023,51(10):83−96. DOI: 10.13199/j.cnki.cst.2022-1504
FANG Shizheng,YANG Renshu,LI Weiyu,et al. Experimental study on energy dissipation and failure characteristics of rock at depth under non-hydrostatic pressure condition[J]. Coal Science and Technology,2023,51(10):83−96. DOI: 10.13199/j.cnki.cst.2022-1504
Citation: FANG Shizheng,YANG Renshu,LI Weiyu,et al. Experimental study on energy dissipation and failure characteristics of rock at depth under non-hydrostatic pressure condition[J]. Coal Science and Technology,2023,51(10):83−96. DOI: 10.13199/j.cnki.cst.2022-1504

非静水压条件下深部岩石能量耗散规律及破坏特征试验研究

基金项目: 

国家自然科学基金资助项目(52227805,51934001)

详细信息
    作者简介:

    方士正: (1989—),男,安徽淮南人,博士。E-mail:szfang89@163.com

  • 中图分类号: TD253

Experimental study on energy dissipation and failure characteristics of rock at depth under non-hydrostatic pressure condition

Funds: 

National Natural Science Foundation of China(52227805,51934001)

  • 摘要:

    深部岩石常处于非静水压初始应力场,岩石所处应力状态的不同导致其对动态荷载的响应有所差异,为研究非静水压及动载耦合作用下岩石的动力学行为,利用分离式霍普金森杆试验系统,开展多种初始应力组合下的岩石动态压缩试验,分析不同非静水压条件对岩石能量耗散及破坏规律的影响规律。通过试验结果发现,轴压和围压均对岩石动态强度产生显著影响,以8 MPa时为临界点,岩石动态强度随着轴压提升呈先增加后减小的趋势,但岩石动态强度随着围压的增加持续增大;岩石耗散能随着轴压的增加逐渐减小,但随围压变化趋势较为复杂,在轴压较低时,耗散能随着围压的增加而减小,在轴压较高时,耗散能随围压提升表现出先增加后减小的特征。根据试样的表观及内部破坏形态,结合分形理论及CT扫描技术,分析不同非静水压力条件下岩石的破坏模式发现,岩石表观裂纹与轴围压比存在显著关联,当轴围压比较低时,岩石侧面及端面裂纹较少,随着轴围压比的提高,岩石表观裂纹明显增加。通过对岩石扫描后横向及纵向切片分析发现,岩石内部同时存在环向和径向裂纹,且岩石破坏由贯穿型剪切裂纹控制。同时可以发现,非静水压条件下岩石的破坏可分为中心圆台形岩块和周边破碎岩块2部分,当轴压增加时岩石的破坏程度加剧,而围压的提升则使得岩石破坏程度降低。

    Abstract:

    Deep buried rock is often in a non-hydrostatic initial ground stress field, and the different stress states lead to different rock response under dynamic loading. To study the dynamic behavior of rocks under coupled non-hydrostatic pressure and dynamic loading, the dynamic compression tests under different initial stress are carried out by using the split Hopkinson pressure bar (SHPB) experimental system, and the influence of different non-hydrostatic pressure on energy dissipation and failure characteristics of rock is analyzed. Based on the test results, it is found that both axial and lateral confining pressure have a significant impact on the rock dynamic strength. Taking 8 MPa as the critical point, the rock dynamic strength first increases and then decreases with the increase of axial confining pressure, but the rock dynamic strength will continue to increase with the increase of lateral confining pressure. The rock dissipative energy gradually decreases with the increase of axial confining pressure, but the trend of dissipative energy changes with confining pressure is complicated. When the axial confining pressure is low, the dissipative energy decreases with the increase of the confining pressure, and when the axial confining pressure is high, the dissipative energy shows a characteristic of increasing first and then decreasing with the increase of lateral confining pressure. According to the apparent and internal damage patterns of the specimens, combined with fractal theory and CT scanning technology, the influence of the damage pattern of rocks under different non-hydrostatic pressure conditions is analyzed. It is found that there is a significant correlation between the apparent cracks of rock and the ratio of axial-confining pressure. When the axial confining pressure ratio is low, there are fewer cracks on the side and end faces of rock. With the increase of the axial confining pressure ratio, the number of apparent cracks of rock increases. Through the analysis of the cross-sectional and vertical slices of the rock, it is found that there are circumferential and radial cracks in the rock simultaneously, and the rock failure is controlled by the penetrating shear cracks. It also can be found that the damage of rocks under non-hydrostatic pressure conditions can be divided into two parts: the central spherical rock mass and the peripheral broken rock mass, and the damage degree of rocks increases when the axial pressure increases, while the elevation of the surrounding pressure makes the damage degree of rocks decrease.

  • 水力压裂技术作为坚硬顶板弱化、围岩卸压的有效方法,在采煤工作面岩层控制、高应力与强采动巷道围岩控制及冲击地压防治中得到越来越广泛的应用[-]。近年来,很多学者开展了水力压裂理论、实验室试验、数值模拟、井上下监测与压裂效果评价等研究工作。在水力压裂裂缝扩展规律及影响因素,水力压裂岩层弱化和围岩卸压机理,水力压裂方法选择与参数设计,水力压裂工艺与设备及监测仪器与压裂效果分析等方面,取得大量研究成果[-],并在井下应用中获得较好效果。

    按水力压裂装备地点可分为地面压裂和井下压裂。前者压裂设备放置在地面,从地面打钻孔至目标岩层进行压裂;后者压裂设备放置在井下巷道或硐室中,向目标岩层打孔并压裂。地面压裂按钻孔布置可分为垂直钻孔和水平钻孔压裂,后者先从地面打垂直钻孔,然后造斜进入目标岩层,在目标岩层中钻进长水平孔进行压裂。地面压裂设备功率大、压裂泵组的流量大、压力高,加之钻孔中一般进行射孔,裂纹扩展距离长,压裂覆盖范围大,可对整个采煤工作面甚至采区上方岩层进行压裂。大同矿区、彬长矿区及榆林中煤能源大海则煤矿等采用地面水力压裂方法,弱化煤层上方坚硬完整顶板岩层,使其采后易于垮落,显著减小了采煤工作强矿压[],对回采巷道的维护也非常有利。地面压裂适合压裂工作面上方高位坚硬顶板。地面压裂的主要缺点是设备昂贵、地面场地大且需要配套交通、运输设施。

    井下压裂按钻孔方式与压裂规模可分为井下局部压裂和区域压裂。井下局部水力压裂是应用最早、使用面最广的压裂方式。一般在区段平巷或开切眼采用普通钻机向要压裂的岩层钻进直孔,钻孔深度多为20~50 m。为了产生定向裂缝,可采用切槽钻头或高压水射流在钻孔中形成槽或缝[],诱导裂缝沿切槽或缝的方向扩展。由于钻孔深度比较小,所以采用的钻进与压裂设备重量轻、体积小、灵活方便。在采煤工作面,应用最多的是工作面初次放顶,在开切眼顶板布置钻孔,压裂上部坚硬完整岩层,使工作面初采期间顶板能及时垮落,减小初次来压步距[-];钻孔也可在区段平巷中向工作面顶板实施,弱化或切断工作面后方、侧向悬顶,减轻工作面矿压显现。

    对于巷道水力压裂卸压,按钻孔施工地点可分为本巷压裂与邻巷压裂。本巷压裂用于减少本工作面开采对区段平巷的采动影响。在区段平巷受到工作面采动影响之前,以与两巷轴线呈一定角度的方向布置倾斜钻孔至顶板目标岩层进行压裂,使工作面采过后顶板能及时垮落,减小工作面超前支承压力大小与影响范围,从而降低两巷变形[]。邻巷压裂是在被保护巷道的相邻巷道中布置钻孔进行压裂,一般用于复用巷道[]。不论是采煤工作面还是巷道,井下局部压裂由于钻孔浅、压裂岩层低,压裂范围小,有时卸压效果不能满足要求。

    为了解决地面压裂与井下局部压裂存在的问题,提出井下区域水力压裂方法。其核心是在井下巷道或专门的钻场中,采用定向钻机向工作面或巷道上方目标岩层钻进长水平钻孔,钻孔长度可达500~1 000 m,进行分段压裂,压裂范围可覆盖整个工作面甚至更大[],起到类似地面长水平孔压裂的作用。与地面压裂相比,井下区域压裂具有不需要地面场地、设备体积较小、钻孔工程量少等优势,是煤矿水力压裂的发展方向。

    井下区域水力压裂法与传统的顶板深孔爆破相比也具有明显优势:可形成连续不断的弱化带,覆盖范围大;施工的安全性好,不像爆破法对巷道产生强烈的震动,产生有害气体。主要缺点是定向钻孔的费用较高。

    中煤科工开采研究院有限公司根据我国煤层顶板岩层的特点,开发了煤矿井下区域水力压裂成套技术与装备,并在多个煤矿得到成功应用。笔者以陕煤集团曹家滩煤矿122108工作面为工程背景,开展井下区域水力压裂技术研究与应用。介绍水力裂缝扩展规律、关键压裂层位选择、压裂参数与方案确定、压裂工艺与仪器装备、微地震实时监测、综合指标效果评价等内容,最后提出水力压裂技术发展方向。

    陕西陕煤曹家滩煤矿位于榆神矿区,设计生产能力为1.5 Mt/a。122108工作面开采2−2煤层,埋深255~338 m,可采厚度8.08~12.36 m,平均11.22 m,属于特厚煤层、特厚稳定顶板岩层工作面条件。采用综放开采方法,割煤高度6 m,放煤高度4 m。工作面液压支架(基本架)参数:支架高度3 400~6 300 mm,工作阻力21 000 kN。

    2−2煤层顶板岩层分布如图1所示。顶板岩性为细粒砂岩、中粒砂岩、砂质泥岩及粉砂岩,其中细粒砂岩、中粒砂岩层理不发育,较坚硬。砂质泥岩、粉砂岩较软。煤层顶板0~43 m、60~120 m存在厚硬岩层。

    图 1 曹家滩煤矿2−2煤层顶板岩层分布
    图  1  曹家滩煤矿2−2煤层顶板岩层分布
    Figure  1.  Roof strata distribution of coal seam 2−2 in Caojiatan Coal Mine

    厚硬顶板岩层导致122108工作面开采时矿压显现强烈。虽然工作面初采时采用了爆破放顶,但初次来压步距仍达156 m,初次来压强烈。工作面推采至3 530.8~3 547.5 m,发生一次强来压现象。工作面整体来压范围为20~125号支架,来压期间支架安全阀开启比例为42.8%,周期来压步距29.3 m,持续长度16.7 m,平均动载系数1.61,最大动载系数1.73,支架工作阻力急剧升高,立柱压力急剧升高至50 MPa,工作面采高急剧下降1.8~2.0 m,下沉速度为0.15 m/h。造成支架立柱、平衡油缸大量损坏,导致工作面无法正常生产。

    为了解决特厚煤层特厚坚硬顶板工作面强矿压问题,开展了井下区域定向水平钻孔区域压裂技术研究与试验。首先进行了试验地点地应力测量、顶板岩层强度测试及可压性试验。

    采用小孔径水压致裂地应力测量装置,在122108辅助运输巷顶板中进行了2个测点的地应力测量。第一测点最大水平主应力σH 为24.9 MPa,最小水平主应力σh 为13.4 MPa,垂直应力σv为 8.1 MPa,地应力场属于σH>σh>σv类型,水平应力占明显优势。第二测点最大水平主应力21.9 MPa,最小水平主应力12.1 MPa,垂直应力7.8 MPa。第二测点地应力值均略小于第一测点,地应力场类型一致。

    采用电子钻孔窥视仪对顶板岩层结构进行了观察。钻孔直径75 mm,长度100 m,与水平面成65°。钻孔窥视结果表明:顶板岩层在12.0、13.8~16.0、30.0~31.4、33.2、34.8、38.5、53.2、60.2 m等位置存在明显的裂隙,其余位置岩层较完整。定向压裂孔布置层位应选择完整岩层,避开上述含裂隙层位。

    采用小孔径钻孔触探法测定顶板岩层抗压强度,岩层抗压强度测试结果如图2所示。测试钻孔深度为60 m,其中孔口附近为煤层,抗压强度大多在20~30 MPa;之后强度不断增加,到10 m后趋于稳定,但一些位置也出现明显的波动。10 m以上顶板岩层抗压强度平均为52 MPa,其中在30、36、43、55 m的位置上出现超过60 MPa 的坚硬岩层。

    图 2 顶板岩层抗压强度分布
    图  2  顶板岩层抗压强度分布
    Figure  2.  Compressive strength distribution of roof rock layers

    为了评价顶板岩层的可压性,在122108辅助运输巷向顶板钻孔进行了小型压裂测试。钻孔直径95 mm,仰角76°,钻孔深度100 m。压裂泵站压力为62 MPa,排量为90 L/min。

    典型的压裂曲线如图3所示。压裂过程中水压增加比较快且压力平稳,水压变化范围为18.8~24.2 MPa,特别是在87、51~57、41~48、29~33、24 m等位置可压性很好。

    图 3 顶板岩层水力压裂曲线
    图  3  顶板岩层水力压裂曲线
    Figure  3.  Hydraulic fracturing curve of roof rock layers

    岩层中水力裂缝扩展涉及岩石变形、裂缝流体流动及断裂扩展等多场耦合复杂力学问题。影响水力裂缝扩展的关键因素包括:岩石力学性质、地应力状态、天然裂缝以及施工参数等[]。文献[]总结了地质和工程因素下水力裂缝的扩展形态和规律(表1)。地应力是影响裂缝扩展形态的主要地质因素,而层理及天然裂缝等弱面则是决定能否形成缝网的关键地质因素,合理的压裂施工参数能够引导裂缝充分扩展。

    表  1  水力裂缝扩展影响因素汇总[]
    Table  1.  Influence factors of hydraulic fracture propagation[]
    类别亚类裂缝扩展规律
    岩石力学性质脆度综合脆性指数IB > 50,容易产生复杂缝网;IB < 50,倾向于产生单一裂缝
    KIC断裂韧性越小,裂缝越容易扩展
    KICVKICH差值越大,越倾向于沿水平方向扩展;差值越小,越倾向于产生复杂裂缝网
    KIC层间差异水力裂缝不易穿透高断裂韧性的相邻岩层
    地应力地应力模式正断层和滑移断层应力状态下压裂产生垂直缝;逆断层应力状态下产生水平裂缝
    水平地应力差异系数< 0.3,形成复杂缝网;0.3~0.5,在较高压力下可以形成复杂缝网;> 0.5,单一裂缝
    层间最小水平应力差0~4,裂缝可以穿过隔层;4~8,部分穿过隔层;> 8无法穿过隔层
    层理层理面强度低(<0.1),无法穿过层理,产生T形缝;中(0.1~0.2),产生伴随层理面滑移的钝化缝;高(>0.3),
    产生穿透层理的穿层缝
    天然裂缝逼近角< 45°~60°,水力裂缝沿天然裂缝扩展;> 60°~75°,应力差 < 4 MPa,沿天然裂缝扩展;
    > 60°~75°,应力差 > 4 MPa,穿透天然裂缝
    开度与渗透率开度或渗透率低,水力裂缝穿透天然裂缝;反之,水力裂缝无法穿透天然裂缝
    下载: 导出CSV 
    | 显示表格

    根据水平孔压裂起裂位置可将起裂方式分为3类[]: 岩石基质体的张性起裂、天然裂缝的张拉起裂及天然裂缝的剪切破坏起裂。根据天然裂缝是否开启将水力裂缝和天然裂缝的交互作用分为5类:剪切天然裂缝后穿过,直接穿过天然裂缝,从天然裂缝一端穿过,同时从天然裂缝两端穿过,从某一弱面穿过。

    水压裂缝的几何形态(长、宽、高)是水力压裂设计的关键,已经提出多种水力压裂模型描述裂缝的几何形态与延伸规律[]。水力裂缝扩展模型经历了从二维度到三维,从单一裂缝、多条裂缝到裂缝网络的发展过程。二维模型假设缝高恒定,包括 KGD 和 PKN 模型,适用于裂缝纵向扩展受到限制的情况。拟三维模型可以模拟裂缝高度和长度方向共同扩展, 但是裂缝形状和方位是固定的。平面三维模型则利用三维固体力学模型进行岩石变形计算,更加准确。所有平面模型均忽略了裂缝复杂形态,无法处理裂缝面偏转问题。适应于应力差较大、天然裂缝不发育的岩层。全三维模型考虑岩石的三维变形和裂缝内部流体的二维流动,能够模拟水力裂缝的空间扭转。复杂裂缝模型考虑了多簇裂缝扩展和天然裂缝的影响,其难点在于天然裂缝的地质描述和水力裂缝与天然裂缝的相交准则。

    实际岩层压裂工程中,裂缝处于复杂应力场下,裂缝尖端附近的应力场不是单纯的I型、II型或Ⅲ型,I-II复合型裂缝是最主要裂缝形式。复合型裂缝一般不按照原方向扩展,针对I-II复合型裂纹建立了多种断裂准则,预测裂缝扩展角与断裂条件,主要包括:最大周向应力理论、应变能密度因子理论、最大能量释放率理论等。

    上述理论分析为122108工作面顶板岩层压裂提供了理论指导。如实测地应力场类型为σH>σh>σv型,属于逆断层应力状态,在这种状态下会产生水平裂缝。

    采用三维水力压裂数值模拟(XSite)[]开展顶板岩层水力裂缝三维扩展分析。

    基于122108工作面实测地应力数据(2个测点平均值),设置钻孔压裂三维数值模型,考察钻孔方位和地应力场对钻孔周边水力裂缝三维形态与空间展布的影响。模型尺寸为1 m×1 m×1 m,在模型中心设置钻孔,钻孔长度为0.4 m,半径为0.05 m。3个模型钻孔倾角分别设置为0°、45°、90°,模型采用岩石力学参数如下,模拟结果如图4所示。

    泊松比ν0.221
    弹性模量E/GPa59.5
    抗拉强度σt/MPa6.6
    断裂韧度KIC/(MPa·m1/2)0.2
    下载: 导出CSV 
    | 显示表格
    图 4 不同钻孔倾角下水力裂缝三维扩展形态
    图  4  不同钻孔倾角下水力裂缝三维扩展形态
    Figure  4.  Propagation of hydraulic fracture with different inclination angle of borehole

    1)钻孔倾角为0°时,在最小主应力法平面与钻孔相交线附近产生微裂缝,微裂缝逐渐汇聚并在钻孔两侧形成破裂线。裂缝以钻孔为中心向四周扩展,最终形成了较为平直的水平裂缝,裂缝形态近似为椭圆状。

    2)钻孔倾角为45°时,并未沿着孔身全长形成破裂线,而在不同位置产生有效微裂纹并汇聚成为宏观裂缝。裂缝从钻孔中部起裂后向水平面转向,并与孔口处的水平裂缝连接成整体裂缝,远离钻孔后裂缝趋向于水平面扩展。

    3)钻孔倾角为90°时,在孔口和孔身处形成了方向不同的宏观裂缝,在中间主应力法平面与钻孔相交线附近产生微裂缝并沿钻孔全长形成破裂线,孔身发育的宏观裂缝为垂直缝且平行于最大主应力方向,孔口处裂缝则趋向于水平面扩展。

    对比3个模型可见,在远场应力与孔内水压的作用下钻孔产生微破裂,钻孔方位改变导致孔壁应力变化,因此裂缝在钻孔不同位置处起裂,微裂缝不断汇聚成为宏观裂缝,在此过程中裂缝发生空间转向,并趋向于垂直最小主应力。

    以钻孔倾角45°模型为对照模型,改变最小主应力方向,设置3种地应力场:σy = 8 MPa;σz = 8 MPa;σx = 8 MPa,其他参数不变。研究地应力场对裂缝空间展布的影响规律。如图5所示,图5a中裂缝近似为垂直缝,形态接近椭圆状,并未发现显著扭转;图5b中宏观裂缝趋向水平扩展;图5c中在孔口处的裂缝发育更为充分,成为优势分支。孔身处裂缝扩展相对受限,并趋向于σx法平面偏转。对比3个模型可见,应力场改变引起孔壁应力状态变化,裂缝在钻孔不同位置处起裂,但最终汇聚形成的宏观裂缝趋向垂直于最小主应力方向。

    图 5 不同应力场下裂缝三维扩展形态
    图  5  不同应力场下裂缝三维扩展形态
    Figure  5.  Propagation of hydraulic fracture with different stress fields

    建立复合岩层水力压裂模型,模型尺寸为5 m×5 m×5 m,在模型中心预制裂缝辅助起裂,忽略起裂点附近裂缝扭曲。为研究层间岩性差异影响规律,在图6所示模型中,上中下三层弹性模量E分别设置为60、20、6 GPa。模拟结果显示裂缝以起裂点为中心向四周扩展,裂缝平面垂直于x方向(σx为最小主应力)。当裂缝进入高弹性模量岩层,形成较大面积的破裂面,裂缝扩展优势明显,测量得裂缝向上穿层最大深度1.45 m。在低弹性模量岩层中裂缝尺度相对较小,向下穿层最大深度为0.2 m。高弹性模量岩层促使水力裂缝穿层扩展,而低模量岩层不利于裂缝穿层扩展。

    图 6 不同弹性模量岩层中裂缝穿层扩展特征
    图  6  不同弹性模量岩层中裂缝穿层扩展特征
    Figure  6.  Propagation of hydraulic fractures in strata with different Young's modulus

    图7所示模型,上中下三层断裂韧度分别设置为2、1、0.2 MPa·m1/2,裂缝呈非均匀扩展趋势,在低断裂韧度岩层中扩展优势明显,测得向上穿层最大深度0.23 m,向下穿层最大深度为1.05 m。

    图 7 不同断裂韧度岩层中裂缝穿层扩展特征
    图  7  不同断裂韧度岩层中裂缝穿层扩展特征
    Figure  7.  Propagation of hydraulic fractures in strata with different fracture toughness

    为探究层间应力差异影响规律,图8所示模型上中下三层最小水平应力σx分别设置为6 、8、10 MPa,其他应力相同(σz = 12.8 MPa,σy = 23.4 MPa)。测得向上穿层最大深度1.05 m,向下穿层最大深度为0.24 m,低应力岩层中裂缝扩展优势显著。

    图 8 不同水平最小主应力岩层中裂缝穿层扩展特征
    图  8  不同水平最小主应力岩层中裂缝穿层扩展特征
    Figure  8.  Propagation of hydraulic fractures in strata with different minimum principal stress

    为探究岩体结构面影响规律,在模型中设置2个水平矩形结构面,尺寸为2.5 m×2.5 m,结构面力学参数取自文献[],应力场设置为σx = 8 MPa,σy = 12.8 MPa,σz = 23.4 MPa。图9展示了2种压裂液黏度下裂缝扩展过程,清水(黏度1 mPa·s)压裂时,裂缝初始呈椭圆形态沿垂向扩展,当遭遇上下两侧的结构面后垂向扩展终止,裂缝被限制在两侧结构面之间。随着压裂进行,裂缝在横向继续扩展,未能直接穿越结构面,裂缝横向扩展超过结构面尺寸后,呈现沿原方向继续绕道扩展的趋势。采用较高黏度(15 mPa·s)压裂液,发现水力裂缝从结构面中部直接穿越。软弱结构面张开和剪切活化导致水力裂缝缝内水压损失及缝尖钝化,阻碍水力裂缝穿层扩展。提高液体黏度有助于压力传导进而促进裂缝穿层扩展。有限尺寸结构面仅在局部范围内阻碍水力裂缝扩展,并未改变裂缝的主要扩展方位,通过改变施工参数可以有效控制裂缝穿层扩展。

    图 9 结构面赋存条件下裂缝三维扩展特征
    图  9  结构面赋存条件下裂缝三维扩展特征
    Figure  9.  Propagation of hydraulic fractures in strata under presence of structural plane

    基于122108工作面底板岩层条件,建立工程尺度数值模型,忽略天然裂缝的影响,分析顶板细砂岩水力压裂裂缝空间方位及尺度。图10所示模型尺寸为100 m×100 m×40 m,展示裂缝为流量1 m3/min、压裂90 min后的结果。压裂形成的宏观裂缝近似椭圆状,以起裂点为中心沿着水平面向四周展布。在水平方向扩展较大距离而在垂直方向未见显著扩展。在此种应力条件下,主裂缝为水平裂缝并对顶板岩层进行有效分层改造。图11展示了宏观裂缝在x方向扩展距离和裂缝扩展面积,0~15 min裂缝扩展距离快速增加,15~90 min裂缝扩展距离增速减缓,裂缝扩展面积近似呈直线增长。在15、60、90 min时裂缝扩展距离分别为46.1、70.0、78.2 m,裂缝扩展面积分别为1566、4100、5455 m2

    图 10 工程尺度水力压裂数值模型
    图  10  工程尺度水力压裂数值模型
    Figure  10.  Numerical modeling of large-scale hydraulic fracturing
    图 11 工程尺度水力压裂数值模型裂缝扩展尺寸
    图  11  工程尺度水力压裂数值模型裂缝扩展尺寸
    Figure  11.  Facture size simulated by numerical model of large-scale fracturing

    模型未考虑天然裂缝分布、岩体非均质性、非连续、各向异性以及应力场变化等因素的影响。设置数值模型需判别主次影响因素,根据反馈数据校正模型,为工程设计提供更具价值的参考,是未来发展方向。

    井下定向钻孔水力压裂试验包括压裂层位选择、水力压裂技术参数、压裂装备与仪器、技工工艺及缝网监测及效果评价等内容。

    122108工作面出现强矿压、液压支架损坏的核心原因是工作面上部存在多层完整坚硬岩层,煤层采过后顶板不能及时垮落。另外,开采煤层厚度大、产量高也是一个重要原因。因此,确定合理的压裂层位非常关键。

    基于上述顶板岩层钻孔结构观察、岩层强度原位测量、地应力测量及岩层可压性试验结果,结合钻孔柱状、工作面矿压显现特征、采高及经济性原则,综合确定压裂层位为顶板以上10、23、38 m。

    水力压裂参数包括定向孔布置、泵注排量、泵注液量、压裂间隔及压裂时长等。技术参数确定依据有地应力、岩石力学参数、渗透率、孔隙率及压裂液性能等,确定压裂参数的方法有理论计算、数值模拟及经验类比法等。

    基于上述的理论研究、数值模拟及已有的经验,提出122108工作面顶板岩层压裂参数设计。压裂钻孔布置如图12所示。压裂工程分两期,每期沿工作面走向500 m,共1 000 m。顶板岩层中共布置3排钻孔,分别位于顶板以上10、23、38 m层位,每排钻孔数量分别为6、5、6。

    图 12 曹家滩煤矿井下区域水力压裂钻孔布置
    图  12  曹家滩煤矿井下区域水力压裂钻孔布置
    Figure  12.  Borehole layout of regional hydraulic fracturing in Caojiatan Coal Mines

    水力压裂工艺如图13所示。钻孔和压裂地点位于回撤通道、区段平巷的钻场中,定向钻孔深度为500~800 m。采用跨式封隔器封闭压裂段、后退式分段压裂工艺。

    图 13 井下定向钻孔分段水力压裂工艺示意
    图  13  井下定向钻孔分段水力压裂工艺示意
    Figure  13.  Staged hydraulic fracturing of directional drilling of roof strata in underground coal mine

    采用的主要设备包括履带式全液压定向钻机、井下专用大流量压裂泵组、压裂工具串、工况监测、安全监控仪器等。

    在井下压裂过程中,实时监测了压力和流量变化,典型压裂曲如图14所示。压裂层位为23 m,压力变化范围为17.7~26.8 MPa。裂缝扩展压力平稳,排量为63.3~67 m3/h,压裂时长平均50 min,压裂间隔为20~25 m,根据周期来压步距确定。压裂总时长为334.3 h,注入水量共计18 793 m3

    图 14 122108工作面定向钻孔水力压裂典型曲线
    图  14  122108工作面定向钻孔水力压裂典型曲线
    Figure  14.  Typical hydraulic pressure curve of directional drilling hydraulic fracturing in No.122108 working face

    水力裂缝展布是决定与评价压裂效果的核心,因此,水力裂缝监测非常重要。微震监测是定量评估水力压裂效果的主要方法,可分析水力裂缝带的长度、宽度、高度和方位等空间发育特征及影响范围。微震监测主要有地面监测和井下监测2种方式。井下监测数据质量高但监测范围小、成本高、操作复杂。地面监测施工简单、监测范围大、成本低,但数据质量较差、垂向定位误差较大。国内外学者已经验证地面微震监测可以接收到可靠的水力压裂诱发的信号[-],并进行了地面和井下监测对较强微震定位的详细对比[],结果证明地面监测与井中监测具有相同的定位精度。地面监测定位精度通常在横向上优于井中监测定位精度,而井中监测定位精度则通常在纵向上优于地面监测定位精度。

    本次微震监测采用地面监测方式,使用三分量检波器,观测系统如图15所示。微震监测工区范围位于北纬38.6190°~38.6266°,东经109.8840°~109.8990°,图15中红色矩形为井下工作面压裂区域投影。

    图 15 地面微震台站分布
    图  15  地面微震台站分布
    Figure  15.  Distribution of ground microseismic stations

    图16a显示观测系统中地震台站的坐标为大地坐标,海拔高度在+1 305~+1 325 m。图16b显示的是本次监测中使用的速度模型,是基于声波测井资料曲线获得纵波速度之后插值得到的一个层状速度模型,横波速度采用1/3倍纵波速度进行转换。

    图 16 曹家滩煤矿微震监测观测系统和速度模型
    图  16  曹家滩煤矿微震监测观测系统和速度模型
    Figure  16.  Geometry of microseismic monitoring of Caojiatan Coal Mine and velocity model

    图17为122108工作面水力压裂微震监测的三分量数据(2021-09-13T11:54:00-11:55:00,1 min的监测数据)。其中有15道三分量数据,每一道显示3个分量的数据ZNE,其中分别对应绿色、红色、蓝色曲线,其中Z分量上主要接收P波能量,NE分量上主要以S波能量为主,经过处理可以明显地看到有效微震事件。

    图 17 三分量微震监测数据
    图  17  三分量微震监测数据
    Figure  17.  Three-component microseismic monitoring data

    通过向量扫描法(VS)[-]对122108工作面顶板内的数十个钻孔压裂微震监测数据进行处理,确认可能的压裂开裂破裂释放的地震波能量释放的空间位置;进一步确认开裂后的缝网走势和最后的基本分布形态;最后对数十个定向孔的压裂缝网总的压裂效果予以判断,获得了压裂过程中岩石破裂产生的微震事件。水力裂缝定位结果如图18所示,显示10、23、38 m三个层位水力裂缝分布,云图表示水力缝网分布,不同颜色云图代表不同位置压裂产生的缝网。122108工作面顶板岩层在压裂过程中产生大量微震事件,裂缝覆盖了目标区域,高度方向的扩展平均约8 m。

    图 18 122108工作面定向孔水力压裂的裂缝分布
    图  18  122108工作面定向孔水力压裂的裂缝分布
    Figure  18.  Fracture distribution map of No.122108 working face directional hole hydraulic fracturing

    图19为5个钻孔压裂产生的缝网效果,可知缝网在空间的扩展以水平为主,其中H1-1、2、3、4、5分别代表5个钻进轨迹,色标代表信噪比。

    图 19 H1钻场的5个钻孔压裂效果
    图  19  H1钻场的5个钻孔压裂效果
    Figure  19.  Fracturing effect of 5 drill holes in H1 drilling field

    F1-1孔压裂缝网的定位结果如图20所示,图20a为俯视图,图20b为侧视图。该孔共压裂12段。图中黄色线为井轨迹,不同颜色对应不同位置压裂形成的缝网。压裂钻孔水平段长度为218 m。形成的缝网分布于钻孔两翼,钻孔两翼破裂平均长度约80 m,裂缝呈水平状。

    图 20 F1-1井压裂微地震定位结果
    图  20  F1-1井压裂微地震定位结果
    Figure  20.  Microseismic locating results of hydraulic fracturing of well F1-1

    F1-1钻孔第七段压裂缝网的平面图、纵剖面图如图21所示,黑线代表井轨迹,白线代表裂缝走向,长度代表裂缝长度。裂缝扩展表现为多条子裂缝组成的缝网,主要为水平缝,沿垂直于最小主应力方向扩展。缝网的具体参数为:走向NE95°,近乎水平缝,长度约340 m,宽度110 m,高度10~20 m,面积约3.7×104 m2。定位的结果可以从一定程度上确定裂缝扩展的范围,但有些能量团不聚焦,是否为压裂产生的微震事件还需要进一步验证。F1-1钻孔12段全部压裂缝网几何尺寸见表2。裂缝主走向的平均值为NE92°,平均缝长293 m,平均缝宽78 m。图22a是统计的裂缝走向,在玫瑰图中可以看出裂缝基本上呈水平状,由于最小主应力为垂直应力,水平缝更容易扩展。

    图 21 F1-1井第七段水力压裂微地震定位结果
    图  21  F1-1井第七段水力压裂微地震定位结果
    Figure  21.  Microseismic locating results of hydraulic fracturing of well F1-1 stage 7
    表  2  F1-1井各段缝网空间分布
    Table  2.  Spatial distribution of fracture mesh in each section of Well F1-1
    压裂段主走向
    NE/(°)
    长度
    /m
    宽度
    /m
    裂缝面积
    /104 m2
    195290501.4
    285285501.4
    370300802.4
    4
    595300902.7
    6105310802.5
    7953401103.7
    895280702.0
    9100300902.7
    1080270902.5
    11100340903.1
    1295210601.3
    下载: 导出CSV 
    | 显示表格
    图 22 裂缝参数统计
    图  22  裂缝参数统计
    Figure  22.  Fracture parameter statistics

    除采用上述的地面微震监测系统监测水力裂缝的展布情况外,监测顶板岩层压裂前后工作面矿压显现变化,是综合评价水力压裂效果的有效方法。为此,采用工作面矿压监测预警平台、钻孔应力计、井下微震监测系统等仪器[-],监测了工作面周期来压、支架工作阻力及动载系数、超前支承压力、顶板下沉及采高变化等参数。

    统计122108工作面推进度4 000~5 981 m共计106次周期来压,其中:压裂前区域4 000~5 000 m,共55次,压裂区域5 000~5 981 m,共51次。从压裂前后5个指标周期来压步距、来压持续距离、来压动载系数、顶板破断,分别对比分析压裂效果。

    对比压裂前后周期来压步距情况,如图23所示,压裂后工作面周期来压步距呈现明显降低的趋势,主要分布在25 m以下,未出现强矿压显现情况,25 m以上的周期来压步距占比由压裂前的18.18%降至5.8%,降幅12.38%;最大周期来压步距由64 m降至35 m,降幅45%。由图23b可知,工作面周期来压持续距离由11.5 m降至8.4 m,减少3.1 m,降幅为27%,来压持续15 m以上的周期来压比例由15.09%下降为3.92%,降幅11.17%,工作面长时间持续来压现象明显降低。

    图 23 压裂前后周期来压步距与持续距离统计对比
    图  23  压裂前后周期来压步距与持续距离统计对比
    Figure  23.  Statistical comparison of periodic weighting step and duration distance before and after fracturing

    图24所示,工作面周期来压平均动载系数由1.33~1.66降至1.19~1.46,1.4以上的比例由92.73%降至9.8%,1.5以上的强动载来压比例由12.73%降至0。如图25所示,工作面整体液压支架不保压率由3.5%~28.2%降至0.7%~10%,不保压率均值由16.1%降至4.4%,降幅11.5%。进入压裂区后,122108工作面支架不保压率显著降低,工作面来压强度的降低使工作面支架工作状态得到显著改善。

    图 24 压裂前后周期来压动载系数统计对比
    图  24  压裂前后周期来压动载系数统计对比
    Figure  24.  Comparison of dynamic loading coefficient of periodic weighting before and after fracturing
    图 25 压裂前后支架不保压率统计对比
    图  25  压裂前后支架不保压率统计对比
    Figure  25.  Comparison of ratio of hydraulic support not maintain pressure before and after fracturing

    井下微震监测数据表明:相同推进度下,压裂后微震事件由1 400个降至683个,总能量由9.36×106 J降至2.83 ×106 J,微震事件总个数下降了51.21%,微震事件总能量下降69.76%,103 J和104 J以上微震事件数量分别下降了25.28%和54.02%。

    综上所述,工作面多指标监测结果显示,压裂区域矿压显现得到显著改善,井下定向钻孔区域水力压裂能够有效弱化顶板完整坚硬岩层,工作面回采过程中,顶板特厚稳定岩层能够及时垮落,避免了大面积岩层垮落,改善了工作面围岩应力环境,液压支架工况良好,确保了工作面安全生产。

    1) 水力压裂技术是工作面坚硬完整顶板弱化、高应力巷道围岩卸压的有效方法。水力压裂分地面压裂、井下区域压裂及局部压裂,其中井下定向钻孔区域水力压裂技术是弱化工作面顶板岩层,解决工作面强矿压的有效手段。

    2) 陕西曹家滩煤矿采煤工作面矿压显现强烈的主要原因是顶板赋存多个厚硬稳定岩层,且为特厚煤层开采,工作面开采强度大。采用井下区域水力压裂技术改造顶板岩层结构,使其开采后能及时垮落是有效途径。

    3) 宏观水力裂缝扩展方位受控于地应力场,裂缝近似以垂直于最小主应力的平面椭圆状展布。钻孔方位、地层岩性、结构面等仅在局部范围影响裂缝扩展,造成裂缝不规则形态和局部复杂路径。高弹性模量、低断裂韧度和低水平应力有利于水力裂缝穿层扩展。软弱结构面张开和剪切活化导致水力裂缝缝内水压损失及缝尖钝化,阻碍水力裂缝穿层扩展。

    4) 基于井下测试与试验、水力裂缝扩展理论分析及数值模拟研究,提出曹家滩煤矿工作面顶板压裂层位选择、参数设计方法,开发出压裂工艺与装备,及地面微震监测、工作面矿压显现监测的压裂效果评价技术,初步建立了井下定向钻孔水力压裂成套技术。

    5) 井下试验表明:在曹家滩煤矿井下地应力状态下(最小主应力为垂直应力),水力裂缝以水平裂缝为主,沿钻孔两侧扩展距离为80 m左右。压裂后,工作面周期来压步距、周期来压持续距离、周期来压平均动载系数、液压支架不保压率等显著减少,微震事件总数量和总能量分别下降50%以上和近70%。水力压裂有效改造了特厚坚硬、稳定顶板岩层结构,显著减轻了工作面矿压显现程度,确保了工作面安全生产。

    尽管井下定向钻孔水力压裂技术已初步形成,但还存在很多技术问题,需要继续深入研究。

    1) 继续深入开展煤矿井下压裂过程中岩石力学行为与水力裂缝扩展的基础理论研究。包括不同地应力场下岩层裂缝网络形成机制与控制方法;应力场、渗流场、天然裂隙耦合作用下裂缝扩展特征;多场耦合条件下三维裂缝网络力学模型;水力缝网岩层结构改造对围岩应力场的影响规律等,为水力压裂设计提供可靠的理论基础。

    2) 研发煤矿岩层压裂液体系。压裂液是造缝介质,其性能是缝网展布形态的决定性因素。基于煤矿岩层特性,研发环保型超低滤失压裂液,对不同压裂液的泵注顺序、泵注体积、黏度及排量等参数进行深入研究;对不同岩性、不同黏土含量和不同水敏矿物组成岩层的水化作用进行深入研究,确定适用于煤矿地层的压裂液体系。

    3) 不断改进和完善井下水力压裂技术、工艺及装备,增大井下压裂泵组的流量与压力,提高压裂效果。引进油气行业先进技术,包括:暂堵转向压裂技术、定向深孔全程固孔水力射孔压裂技术等,解决压裂技术难题。

    4) 研发井下岩层关键参数随钻实时测量技术与装备,为动态、实时调整压裂层位与参数提供手段。改进、完善及研发新的水力裂缝地面、井下长期实时监测技术与仪器,实现裂缝的精准定位与实时、动态捕捉。进一步深入研究水力压裂效果综合评估方法,提高评价的科学性、合理性与可靠性。

    5) 构建集地质参数随钻测量、压裂层位确定与参数设计、压裂液体系、多样化压裂工艺、自动化与智能化压裂设备、裂缝扩展实时监测与可视化平台、压裂效果多指标综合评价方法的一体化煤矿井下水力压裂技术体系,为煤矿岩层控制提供精准、有效的技术手段。

  • 图  1   巷道掘进面岩石应力状态

    Figure  1.   Rock stress state at roadway working face

    图  2   制备好的测试试样

    Figure  2.   Picture of prepared samples for dynamic test

    图  3   分离式霍普金森杆实验系统示意

    Figure  3.   Schematic diagram of SHPB experimental system

    图  4   3种轴围压组合加载方式

    Figure  4.   Three loading modes of combined axial-lateral confining pressure

    图  5   典型动态试验及平衡曲线

    Figure  5.   Typical dynamic stress balance curve

    图  6   典型岩石动态应力−应变曲线

    Figure  6.   Typical rock dynamic stress-strain curve

    图  7   岩石动态强度的轴压效应

    Figure  7.   Effect of axial confining pressure on rock dynamic strength

    图  8   岩石动态强度的围压效应

    Figure  8.   Effect of lateral confining pressure on rock dynamic strength

    图  9   岩石耗散能随轴压变化规律

    Figure  9.   Variation of dissipative energy of rock with axial confining pressure

    图  10   岩石耗散能随围压变化规律

    Figure  10.   Variation of dissipative energy of rock with confining pressure

    图  11   岩石单位体积能量吸收值随非静水压的变化规律

    Figure  11.   Variation of rock energy absorption per unit volume with non-hydrostatic pressure

    图  12   试验后试样侧面破坏形态

    SC—剪切裂纹; CC—环向裂纹

    Figure  12.   Sample lateral failure mode after testing

    图  13   试验后试样端面破坏形态及裂纹分布(σl=16 MPa)

    Figure  13.   Failure mode of sample end after testing (σl=16 MPa)

    图  14   试验后试样端面破坏形态及数值化裂纹分布(σa=12 MPa)

    Figure  14.   Failure mode of sample end after testing (σa=12 MPa)

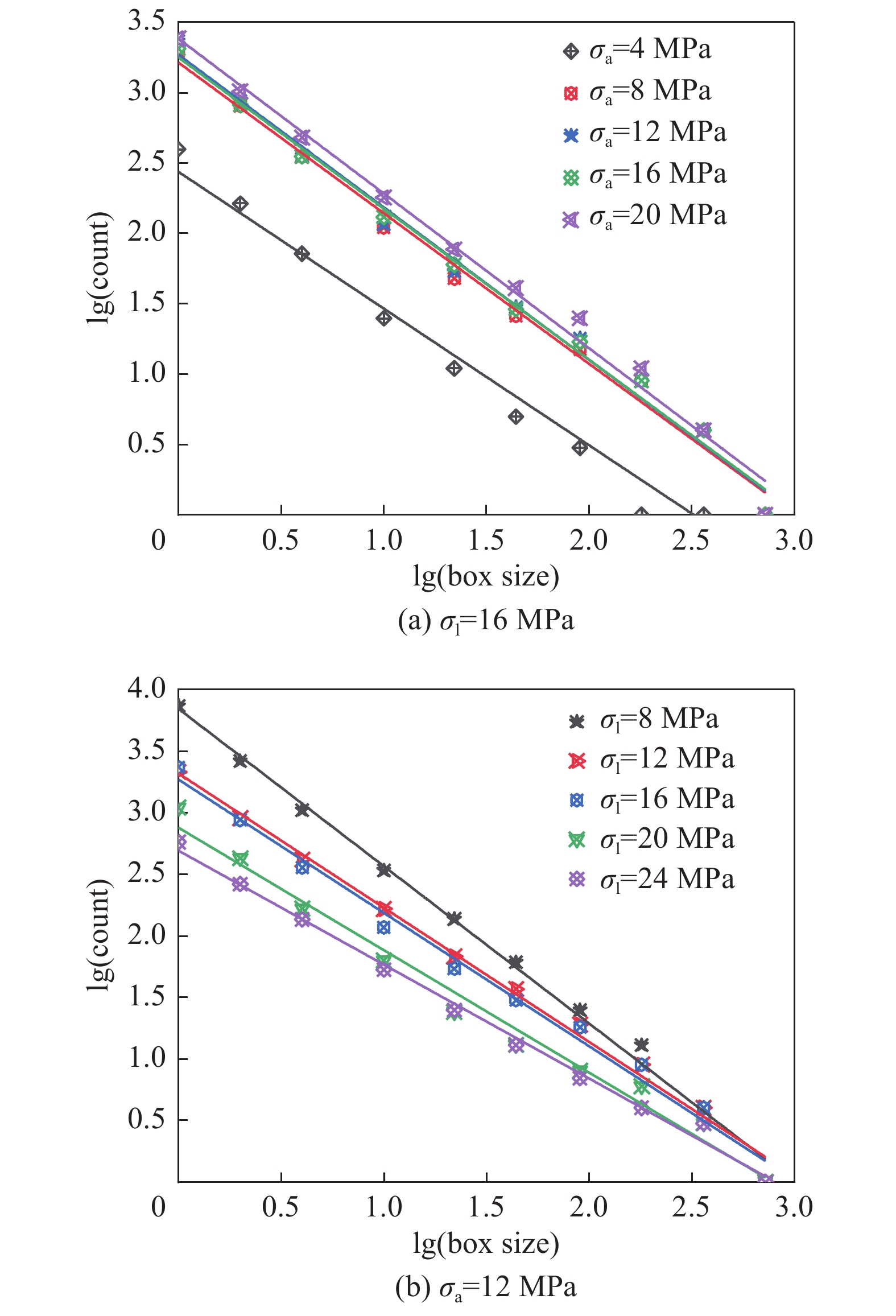
    图  15   分形计算结果

    Figure  15.   Fractal calculation results

    图  16   分形维数随围压及轴围压比变化关系

    Figure  16.   Relationship between fractal dimension and lateral pressure

    图  17   不同初始应力状态下岩石动态破坏模式

    Figure  17.   Rock damage pattern in uniaxial or confining pressure state under impact loading

    图  18   岩石试样CT扫描切片及三维重构

    Figure  18.   CT scan slices and 3D reconstruction images of rock samples

    图  19   耗散能随轴压及冲击速率变化规律(根据文献[43]绘制)

    Figure  19.   Variation of dissipation energy with axial pressure and impact velocities[43]

  • [1]

    YANG R,DING C,LI Y,et al. Crack propagation behavior in slit charge blasting under high static stress conditions[J]. International Journal of Rock Mechanics and Mining Sciences,2019,119:117−123. doi: 10.1016/j.ijrmms.2019.05.002

    [2]

    BROWN E T,HOEK E. Trends in relationships between measured in-situ stresses and depth[J]. International Journal of Rock Mechanics & Mining Science & Geomechanics Abstracts,1978,15(4):211.

    [3]

    ZHANG Y,YIN S,ZHANG J. In situ stress prediction in subsurface rocks: an overview and a new method[J]. Geofluids,2021,2021:1−11.

    [4] 赵星光,王 驹,秦向辉,等. 中国高放废物地质处置地下实验室场址深部岩体地应力测量及工程应用[J]. 中南大学学报(自然科学版),2021,52(8):2634−2645.

    ZHAO X G,WANG J,QIN X H,et al. In-situ stress measurements at depth and engineering application at China's underground research laboratory site for high-level radioactive waste disposal[J]. Journal of Central South University (Science and Technology),2021,52(8):2634−2645.

    [5]

    LI X,ZHOU Z,ZHAO F,et al. Mechanical properties of rock under coupled static-dynamic loads[J]. Journal of Rock Mechanics and Geotechnical Engineering,2009,1(1):41−47. doi: 10.3724/SP.J.1235.2009.00041

    [6] 王传乐,杜广印,李二兵,等. 北山深部花岗岩常规三轴压缩条件下的强度参数演化及能量耗散[J]. 岩石力学与工程学报,2021,40(11):2238−2248. doi: 10.13722/j.cnki.jrme.2021.0071

    WANG C L,DU G Y,LI E B,et al. Evolution of strength parameters and energy dissipation of Beishan deep granite under conventional triaxial compression[J]. Chinese Journal of Rock Mechanics and Engineering,2021,40(11):2238−2248. doi: 10.13722/j.cnki.jrme.2021.0071

    [7] 王明洋,李 杰,李凯锐. 深部岩体非线性力学能量作用原理与应用[J]. 岩石力学与工程学报,2015,34(4):659−667. doi: 10.13722/j.cnki.jrme.2015.04.002

    WANG M Y,LI J,LI K R. A nonlinear mechanical energy theory in deep rock mass engineering and its application[J]. Chinese Journal of Rock Mechanics and Engineering,2015,34(4):659−667. doi: 10.13722/j.cnki.jrme.2015.04.002

    [8] 尤业超,李二兵,谭跃虎,等. 基于能量耗散原理的盐岩动力特性及破坏特征分析[J]. 岩石力学与工程学报,2017,36(4):843−851. doi: 10.13722/j.cnki.jrme.2016.0503

    YOU Y C,LI E B,TAN Y H,et al. Analysis on dynamic properties and failure characteristics of salt rock based on energy dissipation principle[J]. Chinese Journal of Rock Mechanics and Engineering,2017,36(4):843−851. doi: 10.13722/j.cnki.jrme.2016.0503

    [9] 陈 静,江 权,冯夏庭,等. 含初始损伤大理岩的时效变形与破坏试验研究[J]. 工程科学与技术,2018,50(5):27−37.

    CHEN J,JIANG Q,FENG X T,et al. Experiment Study of Time-dependent Deformation and Failure of Original Damage Marble[J]. Advanced Engineering Sciences,2018,50(5):27−37.

    [10] 左建平,陈 岩,宋洪强. 深部煤岩组合体破坏行为与非线性模型研究进展[J]. 中南大学学报(自然科学版),2021,52(8):2510−2521.

    ZUO J P,CHEN Y,SONG H Q. Study progress of failure behaviors and nonlinear model of deep coal-rockcombined body[J]. Journal of Central South University (Science and Technology),2021,52(8):2510−2521.

    [11]

    LIU K, ZHAO J, WU G, et al. Dynamic strength and failure modes of sandstone under biaxial compression[J]. International Journal of Rock Mechanics and Mining Sciences, 2020, 128.

    [12] 夏开文,王 帅,徐 颖,等. 深部岩石动力学实验研究进展[J]. 岩石力学与工程学报,2021,40(3):448−475. doi: 10.13722/j.cnki.jrme.2020.0343

    XIA K W,WANG S,XU Y,et al. Research progress in deep rock dynamics experiments[J]. Chinese Journal of Rock Mechanics and Engineering,2021,40(3):448−475. doi: 10.13722/j.cnki.jrme.2020.0343

    [13]

    LIU P,ZHOU X,QIAN Q. Experimental investigation of rigid confinement effects of radial strain on dynamic mechanical properties and failure modes of concrete[J]. International Journal of Mining Science and Technology,2021,31(5):939−951. doi: 10.1016/j.ijmst.2021.06.001

    [14] 杨国梁,毕京九,张志飞,等. 被动围压下层理角度对页岩动态强度及耗能的影响[J]. 矿业科学学报,2021,6(2):188−195. doi: 10.19606/j.cnki.jmst.2021.02.006

    YANG G L,BI J J,ZHANG Z F,et al. Study on the influence of the bedding angle under passive confining pressure on the dynamic strength and energy consumption of shale[J]. Journal of Mining Science and Technology,2021,6(2):188−195. doi: 10.19606/j.cnki.jmst.2021.02.006

    [15] 李成武,王金贵,解北京,等. 煤岩材料SHPB实验被动围压数值模拟研究[J]. 采矿与安全工程学报,2014,31(6):957−962.

    LI C W,WANG J G,XIE B J,et al. Numerical analysis of split Hopkinson pressure bar test with passive confined pressure for coal[J]. Journal of Mining & Safety Engineering,2014,31(6):957−962.

    [16]

    GONG F,SI X,LI X,et al. Dynamic triaxial compression tests on sandstone at high strain rates and low confining pressures with split Hopkinson pressure bar[J]. International Journal of Rock Mechanics and Mining Sciences,2019,113:211−219. doi: 10.1016/j.ijrmms.2018.12.005

    [17]

    DU H,DAI F,WEI M,et al. Dynamic Compression–Shear Response and Failure Criterion of Rocks with Hydrostatic Confining Pressure: An Experimental Investigation[J]. Rock Mechanics and Rock Engineering,2021,54(2-3):1−17.

    [18]

    WU B,YAO W,XIA K. An Experimental Study of Dynamic Tensile Failure of Rocks Subjected to Hydrostatic Confinement[J]. Rock Mechanics & Rock Engineering,2016,49(10):1−10.

    [19] 徐松林,王鹏飞,单俊芳,等. 真三轴静载作用下混凝土的动态力学性能研究[J]. 振动与冲击,2018,37(15):59−67.

    XU S L,WANG P F,SHAN J F,et al. Dynamic behavior of concrete under static tri-axial loadings[J]. Journal of Vibration and Shock,2018,37(15):59−67.

    [20]

    LIU K,ZHANG Q,WU G,et al. Dynamic Mechanical and Fracture Behavior of Sandstone Under Multiaxial Loads Using a Triaxial Hopkinson Bar[J]. Rock Mechanics and Rock Engineering,2019,52:2175−2195. doi: 10.1007/s00603-018-1691-y

    [21] 谢和平,彭瑞东,鞠 杨. 岩石变形破坏过程中的能量耗散分析[J]. 岩石力学与工程学报,2004,23(21):3565−3570. doi: 10.3321/j.issn:1000-6915.2004.21.001

    XIE H P,PENG R D,JU Y. Energy dissipation of rock deformation and fracture[J]. Chinese Journal of Rock Mechanics and Engineering,2004,23(21):3565−3570. doi: 10.3321/j.issn:1000-6915.2004.21.001

    [22] 王 文,李化敏,顾合龙,等. 动静组合加载含水煤样能量耗散特征分析[J]. 岩石力学与工程学报,2015,34(S2):3965−3971. doi: 10.13722/j.cnki.jrme.2015.0546

    WANG W,LI H M,GU H L,et al. Feature analysis of energy dissipation of water-saturated coal samples under coupled static-dynamic loads[J]. Chinese Journal of Rock Mechanics and Engineering,2015,34(S2):3965−3971. doi: 10.13722/j.cnki.jrme.2015.0546

    [23] 刘少虹,毛德兵,齐庆新,等. 动静加载下组合煤岩的应力波传播机制与能量耗散[J]. 煤炭学报,2014,39(S1):15−22. doi: 10.13225/j.cnki.jccs.2013.0411

    LIU S H,MAO D B,QI Q X,et al. Under static loading stress wave propagation mechanism and energy dissipation in compound coal-rock[J]. Journal of China Coal Society,2014,39(S1):15−22. doi: 10.13225/j.cnki.jccs.2013.0411

    [24] 马少森,陈卫忠,赵武胜. 三维动静组合加载下花岗岩能量耗散试验研究[J]. 山东大学学报:工学版,2019,49(3):95−102.

    MA S S,CHEN W Z,ZHAO W S. Experimental study on energy dissipation of granite subjected to three-dimensional coupled static and dynamic loading[J]. Journal of Shandong University (Engineering Science),2019,49(3):95−102.

    [25] 周宗红,章雅琦,杨安国,等. 白云岩三维动静组合加载力学特性试验研究[J]. 煤炭学报,2015,40(5):1030−1036. doi: 10.13225/j.cnki.jccs.2014.0944

    ZHOU Z H,ZHANG Y Q,YANG A G,et al. Experimental study on mechanical characteristics of dolomite under three-dimensional coupled static-dynamic loading[J]. Journal of China Coal Society,2015,40(5):1030−1036. doi: 10.13225/j.cnki.jccs.2014.0944

    [26] 赵光明,马文伟,孟祥瑞. 动载作用下岩石类材料破坏模式及能量特性[J]. 岩土力学,2015,36(12):3598−3605,3624. doi: 10.16285/j.rsm.2015.12.033

    ZHAO G M,MA W W,MENG X R. Damage modes and energy characteristics of rock-like materials under dynamic load[J]. Rock and Soil Mechanics,2015,36(12):3598−3605,3624. doi: 10.16285/j.rsm.2015.12.033

    [27] 王 伟,梁渲钰,张明涛,等. 动静组合加载下砂岩破坏机制及裂纹密度试验研究[J]. 岩土力学,2021,42(10):2647−2658. doi: 10.16285/j.rsm.2021.0095

    WANG W,LIANG X Y,ZHANG M T,et al. Experimental study on sandstone failure mechanism and crack density under combined dynamic and static loading[J]. Rock and Soil Mechanics,2021,42(10):2647−2658. doi: 10.16285/j.rsm.2021.0095

    [28] 杜超超,温 森,孔庆梅. 一维动静组合加载下复合岩样动态力学特性试验研究[J]. 振动与冲击,2021,40(21):168−178,206.

    DU C C,WEN S,KONG Q M. Tests for dynamic mechanical properties of composite rock samples under 1-D dynamic-static combined loading[J]. Journal of Vibration and Shock,2021,40(21):168−178,206.

    [29] 宋常胜,王 文,刘 凯,等. 真三轴动静组合加载饱水煤样能量耗散特征[J]. 煤炭学报,2022,47(5):2011−2026.

    SONG C S,WANG W,LIU K,et al. Energy dissipation of saturated coal specimen by using a true triaxial Hopkinson bar system[J]. Journal of China Coal Society,2022,47(5):2011−2026.

    [30] 刘志义,甘德清,于泽皞,等. 一维动静组合加载下磁铁矿石力学特性及破碎特征试验研究[J]. 岩石力学与工程学报,2022,41(S1):2869−2880.

    LIU Z Y,GAN D Q,YU Z H,et al. Experimental research on the dynamic mechanical properties and breakage behavior of magnetite under one-dimensional coupled dynamic and static loads[J]. Chinese Journal of Rock Mechanics and Engineering,2022,41(S1):2869−2880.

    [31]

    ZHOU Y,XIA K,LI X,et al. Suggested methods for determining the dynamic strength parameters and mode-I fracture toughness of rock materials[J]. International Journal of Rock Mechanics and Mining Sciences,2012,49:105−112. doi: 10.1016/j.ijrmms.2011.10.004

    [32] 王礼立. 应力波基础(2版) [M]. 北京: 国防工业出版社, 2005.

    WANG L L. Fundamentals of Stress Waves (2nd edition)[M]. Beijing: National Defense Industry Press, 2005.

    [33]

    CHEN W,LU F,FREW D J,et al. Dynamic compression testing of soft materials[J]. Journal of Applied Mechanics,2002,69(3):214−223. doi: 10.1115/1.1464871

    [34]

    FREW D J,FORRESTAL M J,CHEN W. Pulse shaping techniques for testing brittle materials with a split Hopkinson pressure bar[J]. Experimental Mechanics,2002,42(1):93−106.

    [35] 李夕兵,宫凤强,ZHAO J,等. 一维动静组合加载下岩石冲击破坏试验研究[J]. 岩石力学与工程学报,2010,29(2):251−260.

    LI X B,GONG F Q,ZHAO J,et al. Test study of impact failure of rock subjected to onedimensional coupled static and dynamic loads[J]. Chinese Journal of Rock Mechanics and Engineering,2010,29(2):251−260.

    [36] 金解放,杨 益,廖占象,等. 动荷载与地应力对岩石响应特性的影响试验研究[J]. 岩石力学与工程学报,2021,40(10):1990−2002.

    JIN J F,YANG Y,LIAO Z X,et al. Effect of dynamic loads and geo-stresses on response characteristics of rocks[J]. Chinese Journal of Rock Mechanics and Engineering,2021,40(10):1990−2002.

    [37] 谢和平,彭瑞东,鞠 杨,等. 岩石破坏的能量分析初探[J]. 岩石力学与工程学报,2005,24(15):2603−2608.

    XIE H P,PENG R D,JU Y,et al. On energy analysis of rock failure[J]. Chinese Journal of Rock Mechanics and Engineering,2005,24(15):2603−2608.

    [38]

    LUNDBERG B. A split Hopkinson bar study of energy absorption in dynamic rock fragmentation[J]. International Journal of Rock Mechanics and Mining Sciences & Geomechanics Abstracts,1976,13(6):187−197.

    [39] 王 春,程露萍,唐礼忠,等. 高轴压和围压共同作用下受频繁冲击时含铜蛇纹岩能量演化规律[J]. 爆炸与冲击,2019,39(5):55−68.

    WANG C,CHENG L P,TANG L Z,et al. Energy evolution law of copper-bearing serpentine received frequent impact under common action of high axial compression and confining pressure[J]. Explosion and Shock Wave,2019,39(5):55−68.

    [40] 谢和平,鞠 杨. 分数维空间中的损伤力学研究初探[J]. 力学学报,1999(3):45−55.

    XIE H P,JU Y. A study of damage mechanics theory in fractional dimensional space[J]. Chinese Journal of Theoretical and Applied Mechanics,1999(3):45−55.

    [41] 赵洪宝,王 涛,苏泊伊,等. 局部荷载下煤样内部微结构及表面裂隙演化规律[J]. 中国矿业大学学报,2020,49(2):227−237. doi: 10.13247/j.cnki.jcumt.001122

    ZHAO H B,WANG T,SU B Y,et al. Evolution law of internal microstructures and surface cracks of coal under local loading[J]. Journal of China University of Mining and Technology,2020,49(2):227−237. doi: 10.13247/j.cnki.jcumt.001122

    [42]

    ZUO J,YANG R,MA X,et al. Explosion wave and explosion fracture characteristics of cylindrical charges[J]. International Journal of Rock Mechanics and Mining Sciences,2020,135(5):104501.

    [43] 赵光明,周 俊,孟祥瑞,等. 高径比差异条件下花岗岩岩石动态冲击压缩特性[J]. 岩石力学与工程学报,2021,40(7):1392−1401. doi: 10.13722/j.cnki.jrme.2020.1163

    ZHAO G M,ZHOU J,MENG X R,et al. Dynamic impact compression characteristics of granite rocks with different length-diameter ratios[J]. Chinese Journal of Rock Mechanics and Engineering,2021,40(7):1392−1401. doi: 10.13722/j.cnki.jrme.2020.1163

    [44] 金解放,吴 越,张 睿,等. 冲击速度和轴向静载对红砂岩破碎及能耗的影响[J]. 爆炸与冲击,2020,40(10):42−45.

    JIN J F,WU Y,ZHANG R,et al. Effect of impact velocity and axial static stress on fragmentation and energy dissipation of red sandstone[J]. Explosion And Shock Waves,2020,40(10):42−45.

    [45] 吕晓聪,许金余,葛洪海,等. 围压对砂岩动态冲击力学性能的影响[J]. 岩石力学与工程学报,2010,29(1):193−201.

    LU X C,XU J Y,GE H H,et al. Effects of confining pressure on mechanical behaviors of sandstone under dynamic impact loads[J]. Chinese Journal of Rock Mechanics and Engineering,2010,29(1):193−201.

  • 期刊类型引用(50)

    1. 姚子涛, 陈学慧, 李振安, 魏宏斌, 白建飞, 周宏伟. 厚硬顶板井下长孔水力压裂防冲技术研究. 煤炭工程. 2025(07) 百度学术
    2. 代贵生. 遗留煤柱下坚硬顶板定向长钻孔水力压裂控制技术研究. 煤炭工程. 2025(07) 百度学术
    3. 张朝举, 贾秉义, 陈冬冬, 龙威成, 吴龙泉. 顶板定向钻孔水力压裂技术在煤矿瓦斯抽采应用研究. 陕西煤炭. 2025(07) 百度学术
    4. 刘勇, 李明轩, 刘永强, 王滨, 宋生儒. 综放工作面长短孔多维水力压裂初次放顶技术研究. 煤炭工程. 2025(06) 百度学术
    5. 石垚,汪占领,程利兴,徐世达. 煤矿水力压裂巷道卸压技术应用及效果评价. 岩石力学与工程学报. 2025(02): 459-471 . 百度学术
    6. 亓佳利,李伟清,和志永,韩金明,张建,张假妮,卢绪涛,王怀远,李长青. 布孔参数对导向缝槽-静态膨胀协同致裂效果的影响规律研究. 煤矿安全. 2025(03): 127-136 . 百度学术
    7. 谭毅,王宇,何满潮,李辉,郭文兵,李林猫,刘伟东,张少普. 深埋特厚煤层坚硬顶板多维分段水力压裂控冲减损技术. 煤炭学报. 2025(02): 794-809 . 百度学术
    8. 赵凯凯,朱凯雄,冯彦军,孙晓冬,郑仰发,王鹏,王宇. 煤矿井下水平钻孔压裂裂缝起裂特征研究. 煤炭工程. 2025(03): 134-142 . 百度学术
    9. 王想刚,贺虎,张世范,薛生华,贺永康,牛鑫,骆宇. 空间孤岛岩柱区特厚煤层整体卸压防冲-防突协同控制技术. 煤矿安全. 2025(05): 69-77 . 百度学术
    10. 李连崇,李鑫睿,牟文强,韩云春,张永树. 长钻孔近断层注浆浆液劈裂偏转扩散诱导机理研究. 煤矿安全. 2025(05): 159-171 . 百度学术
    11. 刘江斌,黄志增,刘前进,张震,韩存地,蔺星宇,马镕山,赵振. 10 m超大采高工作面煤壁片帮“支-卸”协同防控原理. 煤炭学报. 2025(04): 1965-1978 . 百度学术
    12. 王锐,徐刚,康红普,张震,雷亚军,冯彦军,马英,黄志增,刘前进,刘晓刚,蔺星宇,马镕山,赵振,李正杰. 曹家滩煤矿10 m超大采高工作面采场围岩控制技术. 煤炭学报. 2025(04): 1935-1950 . 百度学术
    13. 康红普,雷亚军,赵福堂,徐刚,李增林,李明忠,王锐,黄志增,刘江斌,马英,韩存地,冯彦军,张震,张金虎,任建超,宋业杰,曾明胜,程利兴. 特厚煤层10 m超大采高综采关键技术及装备. 煤炭学报. 2025(04): 1849-1875 . 百度学术
    14. 雷亚军,冯彦军,康红普,赵福堂,尚晓光,王锐,王鹏,张震,任建超,赵凯凯,郑仰发,刘晓刚. 超大采高工作面厚硬顶板压裂卸压技术研究及应用. 煤炭学报. 2025(04): 1907-1934 . 百度学术
    15. 李然,王初亮,刘波,冯彦军,姜鹏飞,陈荣明,陈敬斌,陈卓,王大龙,卢海承,郭宗凯,曹田泽,于远征,王超. 兆瓦级煤矿井下压裂泵系统的研制及应用. 煤炭科学技术. 2025(05): 372-380 . 本站查看
    16. 康红普,冯彦军,赵凯凯. 煤矿岩层压裂技术与装备的发展方向. 采矿与岩层控制工程学报. 2024(01): 5-8 . 百度学术
    17. 缑晓锋,杨飞,窦成义,郑文龙,和递,孔祥国. 特厚煤层定向长钻孔水力压裂瓦斯抽采技术及应用. 陕西煤炭. 2024(02): 65-69 . 百度学术
    18. 温志强,陈学习,金霏阳,陈星宇. 高应力松软突出煤层定向长钻孔水力冲孔技术研究. 煤炭技术. 2024(03): 154-159 . 百度学术
    19. 郑纪峰,李啸天. 厚硬顶板隅角悬顶分段多次水力压裂技术研究. 煤炭技术. 2024(03): 21-25 . 百度学术
    20. 石垚,雷瀚,杨新路,徐世达. 煤矿坚硬顶板灾害水力压裂防治技术监测及评估. 煤炭工程. 2024(02): 122-130 . 百度学术
    21. 邢菲菲,李海宏,李明. 动压巷道水力压裂切顶卸压技术研究与应用. 能源与环保. 2024(02): 248-255 . 百度学术
    22. 宋振骐,文志杰,蒋宇静,蒋金泉,石永奎. 采动力学与岩层控制关键理论及工程应用. 煤炭学报. 2024(01): 16-35 . 百度学术
    23. 韩珂,王海军. 强冲击地压矿井煤层顶板覆岩结构研究——以孟村煤矿为例. 中国煤炭地质. 2024(03): 47-59 . 百度学术
    24. 滕腾,贾文建,易鹏,赵毅鑫,朱笑颜,徐铎. 微波热力冲击下硬脆砂岩冲击倾向性演化规律试验研究. 矿业科学学报. 2024(02): 209-216 . 百度学术
    25. 胡善超,韩金明,黄俊鸿,平立芬,程亚飞,高志豪,郭世豪,杨磊. 套筒压裂作用下岩石细观裂隙与能量演化规律探究. 煤炭科学技术. 2024(02): 79-91 . 本站查看
    26. 刘波. 煤矿井下水力压裂自动控制系统设计. 工矿自动化. 2024(03): 6-13 . 百度学术
    27. 陈立伟,边乐,王东杰,郑浩阁,赵占川. 水分对CH_4和CO_2在煤中竞争吸附特性影响研究. 煤炭科学技术. 2024(04): 243-254 . 本站查看
    28. 崔伟杰,荆亚东,李峰. 卸压条件下松软煤层水力造穴瓦斯治理技术及效果分析. 煤炭技术. 2024(06): 194-199 . 百度学术
    29. 郭铭,来甲,许聪,张扬. 陕北煤矿坚硬顶板井下分段水力压裂技术研究与应用. 内蒙古煤炭经济. 2024(08): 145-147 . 百度学术
    30. 王平,冯锦鹏,赵彦成,钮涛,刘国锋. TDS智能干选系统分选灵活性智能控制技术. 工矿自动化. 2024(S1): 174-178 . 百度学术
    31. 高晓进,张震,黄志增,蔺星宇,薛吉胜,庞立宁. 深井直覆硬厚顶板侧向破断模式及采动应力响应特征研究. 岩土力学. 2024(08): 2450-2461 . 百度学术
    32. 胡善超,韩金明,程亚飞,亓佳利,黄俊鸿,高志豪,郭世豪,杨磊. 多孔套筒定向压裂力学机制及影响因素分析. 煤炭学报. 2024(08): 3366-3380 . 百度学术
    33. 翁明月,苏士杰,孙如达,谢非,丁国利,夏永学. 多关键层窄煤柱冲击地压发生机理与三级协同防治技术. 煤炭学报. 2024(S1): 45-56 . 百度学术
    34. 卜宪武,陈志杰. 水力压裂初次放顶技术在厚顶板综采面的应用. 晋控科学技术. 2024(05): 52-56 . 百度学术
    35. 刘俊旭. 棋盘井煤矿110901工作面末采期切顶卸压技术研究. 能源技术与管理. 2024(05): 54-57 . 百度学术
    36. 徐刚,张震,张春会,范志忠,卢振龙,黄志增,陆闯,薛吉胜,王传朋,陈法兵,李岩,刘前进,李正杰,孙晓东,蔺星宇,马镕山. 我国煤矿开采工作面顶板灾害及防治技术研究现状. 采矿与岩层控制工程学报. 2024(05): 16-41 . 百度学术
    37. 陈小磊,孙宁旭,常鹏帅. 厚硬顶板水力压裂技术研究及应用. 山东煤炭科技. 2024(10): 143-147+153 . 百度学术
    38. 王宾昌,魏伟,白建飞. 磨砂射流轴向切顶技术工业试验及防冲效果分析. 陕西煤炭. 2024(12): 122-126+149 . 百度学术
    39. 何明伟. 沿空留巷工作面复用巷道大面积悬顶水力压裂治理研究. 中国煤炭. 2024(S1): 111-119 . 百度学术
    40. 李延军. 复合坚硬顶板强矿压显现特征及主控层位确定. 工矿自动化. 2024(12): 36-45+84 . 百度学术
    41. 林榆昆,刘江伟,刘耀友,刘长友. 迎采掘进巷道水力切顶关键部位对顶板断裂行为的影响. 煤炭学报. 2024(S2): 593-605 . 百度学术
    42. 孙如达,夏永学,高家明. 中高位厚硬顶板长孔水力压裂防冲效果研究. 煤矿安全. 2023(07): 69-77 . 百度学术
    43. 李彦民,方刚,郑凯歌,王豪杰. 榆横北区中深埋煤层开采水力压裂技术实践. 陕西煤炭. 2023(05): 68-72 . 百度学术
    44. 李海,杜涛涛,孙秉成,杨伟,常博,赵志鹏,李红平,贾兵兵,张弘毅. 坚硬顶板磨砂射流轴向切顶防冲技术研究. 采矿与岩层控制工程学报. 2023(05): 73-81 . 百度学术
    45. 刘少兴,吴川,王虎. 基于捷联惯导的随钻测量轨迹解算算法的对比研究. 地质装备. 2023(05): 8-13 . 百度学术
    46. 贾后省,王林,彭博,王国营,张定山,卓军,王艺博. 弱黏结复合顶板沿空留巷分级“控顶-卸压”机理与应用. 中国矿业大学学报. 2023(06): 1191-1202 . 百度学术
    47. 陈春雷. 煤矿开采中的岩层控制技术研究与应用. 内蒙古煤炭经济. 2023(19): 124-126 . 百度学术
    48. 李红平,杜涛涛,孙秉成,杨伟,常博,赵志鹏,贾兵兵,刘江. 坚硬顶板磨砂射流轴向切顶初次放顶应用研究. 煤炭工程. 2023(12): 102-107 . 百度学术
    49. 李明轩,刘勇,王永洁,高龙,刘永强,王滨,雷顺. 坚硬顶板水力分段压裂切顶留巷技术及应用研究. 中国矿业. 2023(12): 153-160 . 百度学术
    50. 王海钢,郭相平. 新元煤矿深孔水力压裂卸压护巷技术及应用. 能源与环保. 2023(12): 289-295+302 . 百度学术

    其他类型引用(31)

图(19)
计量
  • 文章访问数:  94
  • HTML全文浏览量:  7
  • PDF下载量:  50
  • 被引次数: 81
出版历程
  • 收稿日期:  2022-12-28
  • 网络出版日期:  2023-09-22
  • 刊出日期:  2023-10-19

目录

CHEN Jun

  1. On this Site
  2. On Google Scholar
  3. On PubMed

/

返回文章
返回