高级检索

不同钻井液浸泡下泥页岩力学特性及损伤本构模型

Mechanical properties and damage constitutive model of mud shale under different drilling fluids immersion

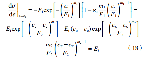
  • 摘要: 页岩油气钻探过程中,钻井液长期的侵蚀弱化促使泥页岩微裂缝延伸扩张,导致岩体强度降低,并严重威胁井壁稳定。为了探究泥页岩在不同钻井液浸泡环境下的力学特性及损伤演化规律,首先运用X射线衍射法和环境扫描电镜,从微观角度分析了泥页岩的矿物组成及结构;然后开展了不同浸泡体系、不同浸泡时间下泥页岩的单轴压缩试验,并研究了在钻井液弱化作用下泥页岩峰值强度、弹性模量、泊松比等力学参数的变化机理;最终基于应变等效原理和Weibull统计分布理论,建立了岩石在钻井液浸泡和单轴加载作用下的损伤本构模型。结果表明:泥页岩层主体黏土矿物含量高,脆性矿物丰富,微裂缝分布密集;泥页岩的弹性模量随浸泡环境的不同及浸泡时间的增加而改变,与油基钻井液浸泡条件下的岩样相比,水基钻井液浸泡对其强度、弹性模量的削弱作用更加明显;通过拟合不同钻井液弱化作用下泥页岩的力学参数变化趋势,分别得出了水基钻井液和油基钻井液浸泡后岩样的弹性模量关于浸泡时间的预测模型;针对钻井液弱化作用下的泥页岩,引入了考虑孔隙压缩阶段影响的单轴加载岩石损伤本构模型,该模型较好地表征了在钻井液弱化和单轴加载耦合作用下岩样的损伤演化规律,揭示了泥页岩在不同钻井液浸泡下的弱化损伤机理。

     

    Abstract: In the process of shale oil and gas drilling, the long-term erosion and weakening of drilling fluids promotes the extension and expansion of micro-fractures on mud shale, which leads to the reduction of rock mass strength and seriously threatens the stability of borehole wall. In order to explore the mechanical properties and damage evolution rules of mud shale under different drilling fluids immersion, Firstly, the mineral composition and structure of shale were analyzed by X-ray diffraction and environmental scanning electron microscopy. Then, uniaxial compression tests were carried out under different immersion systems and different immersion times, and the variation mechanism of mechanical parameters such as peak strength, elastic modulus and Poisson's ratio of shale under the weakening of drilling fluids were studied. Finally, based on the strain equivalence principle and Weibull statistical distribution theory, the damage constitutive model of rock under drilling fluids immersion and uniaxial loading was established. The results showed that the main body of mud shale has high content of clay minerals, abundant brittle minerals and dense distribution of micro-fractures. the elastic modulus of shale varied with the immersion environment and the increase of immersion time. Compared with the rock samples immersed in oil-based drilling fluid, the weakening effect of water-based drilling fluid soaking on its strength and elastic modulus is more obvious; by fitting the change trend of the mechanical parameters of shale under the weakening effect of different drilling fluids, the prediction model of elastic modulus of rock samples soaked in water-based drilling fluid and oil-based drilling fluid with respect to soaking time was proposed; For the mud shale under the weakening of drilling fluid, a uniaxial loading rock damage constitutive model considering the effect of pore compression stage is introduced. The evolution rules revealed the weakening damage mechanism of shale under different drilling fluids immersion.

     

/

返回文章
返回