高级检索

中高硫煤矸石自燃阶段划分与气体析出规律相关性分析

Correlation analysis of stage division and gas precipitation rule of middle and high sulfur gangue spontaneous combustion

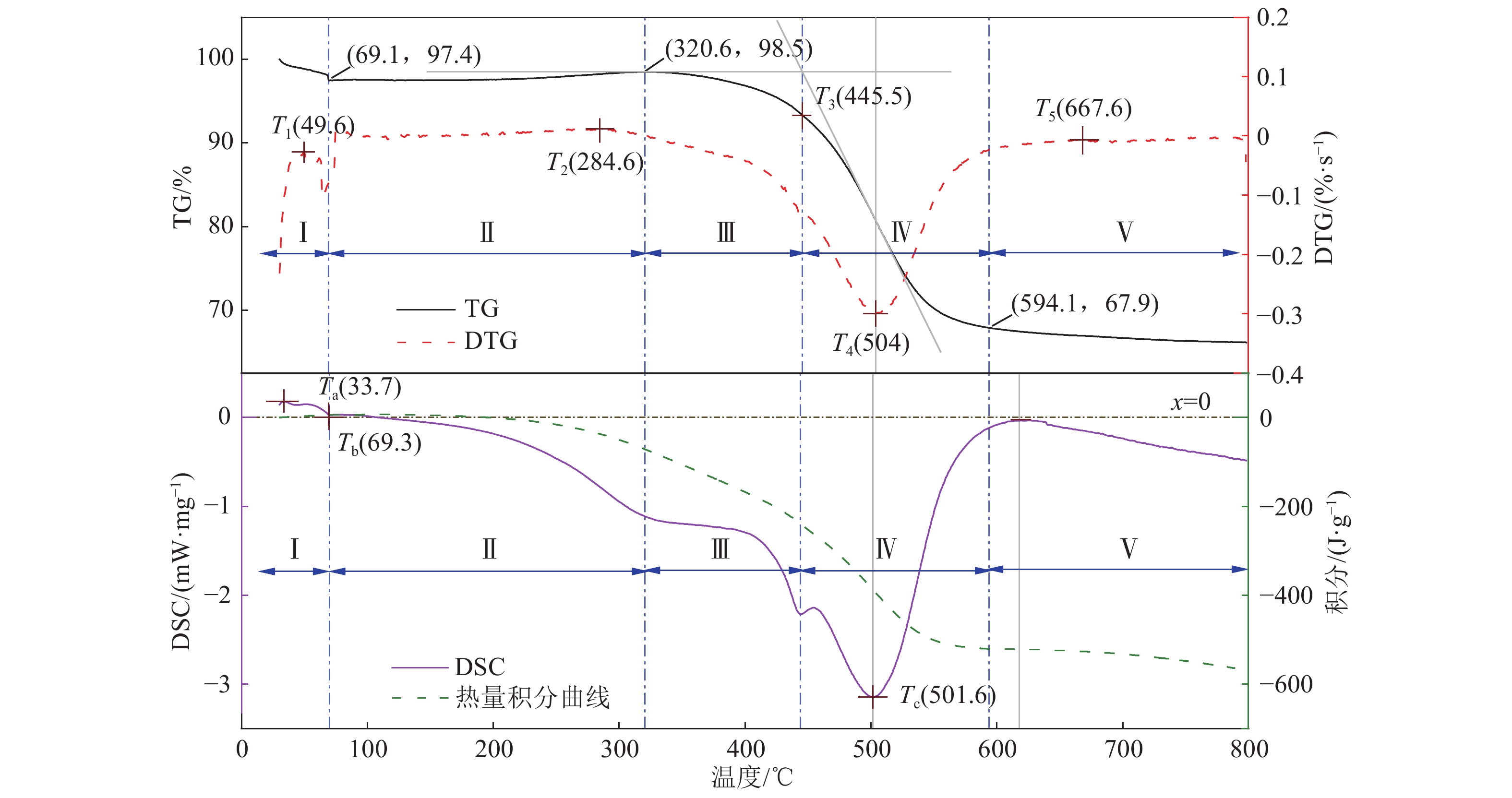
  • 摘要: 煤矸石随煤炭开采洗选加工过程产生,无处理自然倾倒形成矸石山,长期蓄热引发自燃。受煤层煤质影响,煤矸石种类繁多,其中含硫量高的洗选煤矸石排量集中、自燃倾向性大,内蒙古棋盘井镇煤矸石山多为洗矸堆积,部分已长期自燃,严重威胁周边环境及居民健康。为预警矸石山自燃,同时科学高效治理已燃矸石山,需对该区中高硫煤矸石进行自燃全过程研究,分析自燃各个阶段气体的析出规律。利用同步热分析和质谱仪联用系统(TG-MS)得到中高硫煤矸石氧化燃烧过程中质量、热量及气体析出的同步变化情况,进行关联性分析,并根据数据特点选用Spearman相关系数法进行相关性分析验证。结果表明:中高硫煤矸石中黄铁矿的存在对自燃有促进作用,依据特征温度点氧化燃烧过程可划分为I黄铁矿氧化及气体脱附阶段、II吸氧增重阶段、III挥发分析出阶段、IV燃烧阶段、V燃尽阶段等5个阶段。在各阶段H2S、CH4、CO、NO气体均有析出,呈增强趋势,而SO2、CO2、NO2气体在III、IV阶段大量析出。Spearman相关分析得出各气体析出量与质量呈高度负相关, 排序为RSO2=RCO2=RNO2>RCO>RNO>RH2S>RCH4。此外,SO2、CO2、NO2气体在III、IV阶段大量析出与质量大量减少高度负相关(相关系数为−1)。今后,可继续研究SO2、CO2、NO2气体的可监测性、灵敏性及选择性,分析其作为指标气体的可行性,为矸石山自燃预警提供新思路。

     

    Abstract: Coal gangue is produced in the washing and processing process of coal mining. Without treatment, it is dumped naturally to form a gangue mountain. Long-term heat storage leads to spontaneous combustion. Affected by coal quality of coal seam, there are many kinds of coal gangue, among which the washing gangue with high sulfur content has a large tendency of spontaneous combustion in concentrated discharge. The gangue hill of Checkerjing Town in Inner Mongolia is mostly washing gangue accumulation, and part of it has been spontaneous combustion for a long time, which seriously threatens the environment and residents’ health. In order to forewarn spontaneous combustion of gangue and treat burned gangue scientifically and efficiently, it is necessary to study the whole process of spontaneous combustion of medium-high sulfur gangue in this area and analyze the law of gas precipitation at each stage of spontaneous combustion. In this paper, synchronous thermal analysis and mass spectrometer system (TG-MS) were used to obtain the synchronous changes of mass, heat and gas precipitation in the oxidation and combustion process of medium-high sulfur coal gangue, and the correlation analysis was conducted by Spearman correlation coefficient method according to the data characteristics. The results show that the existence of pyrite in medium-high sulfur gangue can promote spontaneous combustion. According to the characteristic temperature point oxidation combustion process can be divided into five stages: I pyrite oxidation and gas desorption stage, II oxygen absorption weight gain stage, III volatilization analysis stage, IV combustion stage and V burnout stage. At each stage, H2S, CH4, CO and NO gases were precipitated, showing an increasing trend, while SO2, CO2 and NO2 gases were precipitated in large quantities at the III and IV stages. Spearman correlation analysis showed that there was a high negative correlation between the amount of gas precipitated and the change of mass, and RSO2=RCO2=RNO2>RCO>RNO>RH2S>RCH4. In addition, the mass precipitation of SO2, CO2 and NO2 gases at stage III and IV is highly negatively correlated with mass reduction (correlation coefficient is -1).In the future, we can continue to study the monitoring, sensitivity and selectivity of SO2, CO2 and NO2 gases, analyze their feasibility as indicator gases, and provide a new idea for spontaneous combustion early warning of gangue hills.

     

/

返回文章
返回