高级检索

煤层气异常成分的界定、分布及其成因研究进展

Review of research on definition, distribution and causes of abnormal coalbed methane composition

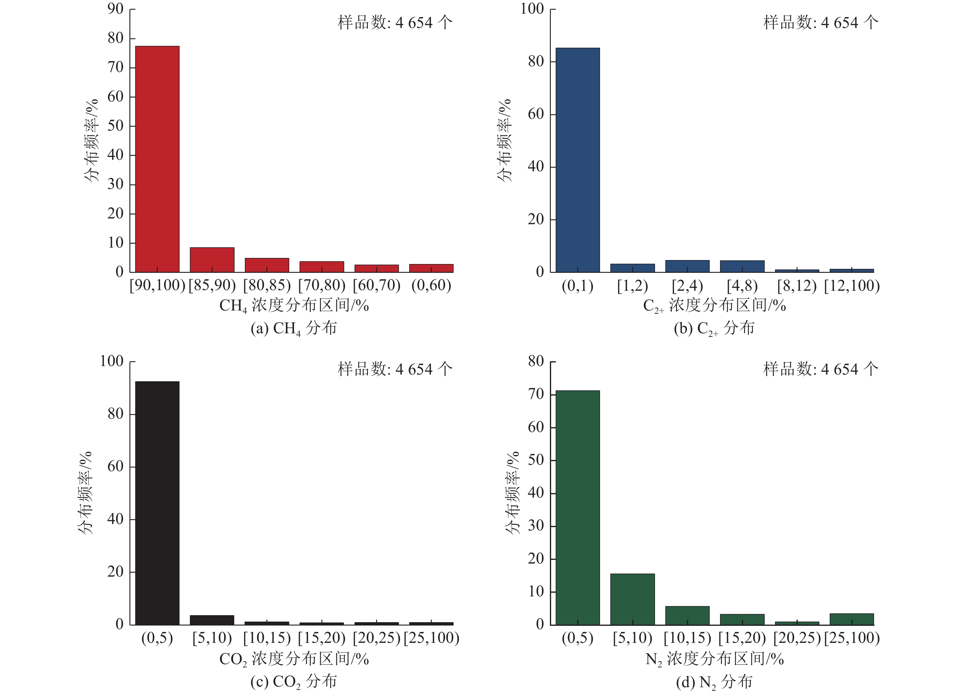
  • 摘要: 前期对不同煤层气组分异常的成因进行了大量研究,但对不同组分异常浓度的界定尚无统一标准。为了阐明我国煤层气成分的分布特征及煤层气异常成分的浓度界限,基于实测和收集各煤阶储层煤层气成分(含气量达到煤层气储量评估规范DZ/T 0216—2020下限要求的煤层气井与煤田勘探钻孔)测试数据4 654个。统计表明我国煤层气中CH4、重烃气(C2+)、CO2、N2平均浓度分别为91.82%、0.85%、2.04%、5.19%,其中CH4浓度≥90%占77.44%。将煤层气中重烃气浓度大于5%、氮气/二氧化碳浓度大于10%、有害气体浓度超过《煤矿安全规程》规定的上限标准和稀有气体超过空气组成时划分为异常气体成分。基于此划分标准,统计表明我国煤层气中重烃气浓度>5%占5.16%、CO2浓度>10%占4.00%、N2浓度>10%占13.26%,准噶尔盆地南缘煤层气中氦气最高浓度达到0.97%。在上述研究的基础上,归纳总结了煤层气中异常成分/浓度的成因主要有煤化作用的阶段性、煤岩组分的差异性、硫酸盐还原作用、古风化壳及煤系外源气体迁入等。建议在今后的煤层气勘探中测全气体成分,开展CO2、N2异常煤层的气体解吸研究,确定煤系氦源岩,探讨烃-氦同源同储规律,分析煤系有机气与无机气的相互作用,综合研究地质构造、地下水流动、微生物及岩浆活动对气组分的改造作用,揭示不同气组分在不同地区运移、富集及保存的演化机制。研究成果对煤层气的开采工艺、煤矿安全生产和煤层气的利用均具有指导意义。

     

    Abstract: Although many studies focusing on the causes of the abnormal concentration of different coalbed methane (CBM) compositions were conducted, the unified standard for defining the abnormal concentration of different components is still missed.To clarify the distribution of CBM composition in China and determine the concentration boundary of abnormal composition, based on 4654 measured and collected gas data from coalfield exploration boreholes and CBM wells, which meet the lower limit of CBM reserves estimation in the standard DZ/T 0216—2020. The statistical results showed that the average concentration of CH4, C2+, CO2, and N2 in CBM in China were 91.82%、0.85%、2.04% and 5.19%, respectively, and the proportion of CH4 concentration greater than 90% was 77.44%. It can be defined as abnormal gas composition meeting any of the following four conditions: the C2+ concentration is greater than 5%; the N2/CO2 concentration is greater than 10%; the harmful gas concentration exceeds the upper limit of coal mine safety regulations; the rare gas concentration exceeds that in air. Based on the definition, the results showed that the proportion of C2+ concentration greater than 5% is 5.16% in China and the CO2 concentration greater than 10% accounts for 4.00%. Moreover, the proportion of N2 concentration greater than 10% is 13.26%, and the maximum helium concentration in the southern Junggar Basin reaches 0.97%. Based on the above results, the causes of abnormal CBM composition/concentrations are summarized as the stages of coalification, the differences in coal petrography, sulfate reduction effect, ancient weathering crust, and the migration of gas outside the source. In the subsequent CBM exploration, it is suggested to determine the total gas composition; conduct the study focusing on the gas desorption in coal reservoirs with abnormal CO2 and N2 concentration; determine the helium source rock of coal measures and discuss the law of hydrocarbon helium source and reservoirs to analyze the interaction between organic gas and inorganic gas of coal measures; comprehensively clarify the transformation of geological structure, groundwater flow, microorganism and magmatic activity on gas components to reveal the evolution mechanism of migration, enrichment, and preservation of different gas components in different regions. The results provide a guide for CBM exploitation, coal mine safety production, and CBM utilization.

     

/

返回文章
返回