Abstract:
Coal gangue is the solid waste produced in the process of coal mining and coal washing, which has been occupied a large amount of land and polluted the environment. Therefore, it’s urgent for us to deal with coal gangue and comprehensive utilize it.The preparation of mineral fertilizer by microbial degradation of coal gangue is one of the most promising technologies to realize the reduction, harmless and resource recovery of coal gangue. In this paper, the phosphorus-releasing characteristics and mechanism of stenotrophomonas maltophilia (SM1) were studied, and the acid-producing energy of SM1 strain was optimized. High performance liquid chromatography (HPLC), X-ray diffraction (XRD) and X-ray fluorescence (XRF) were used to analyze the metabolites of bacteria, the phase composition of slag before and after phosphorus dissolution, and the chemical composition of raw ore, respectively, to reveal the mechanism of phosphorus dissolution of SM1 strain. The results of orthogonal experiment show that the optimal conditions of SM1 strain are as follows: coal gangue particle size 115 μm, pH=9, bacterial liquid concentration 2.85×10
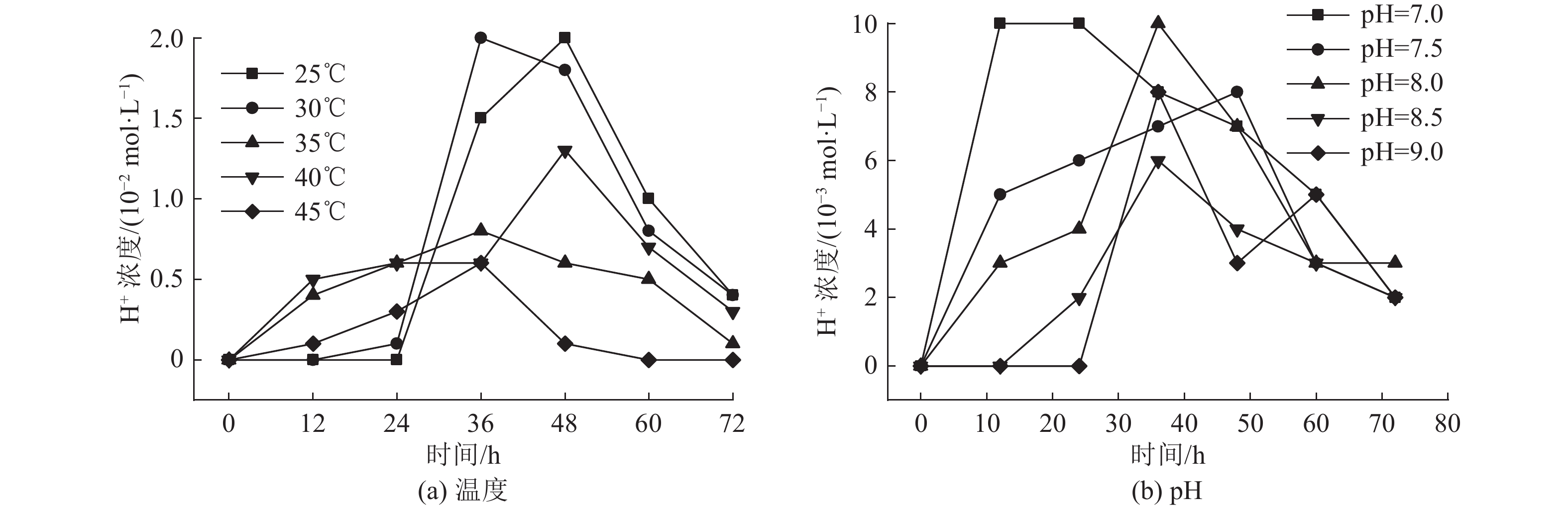
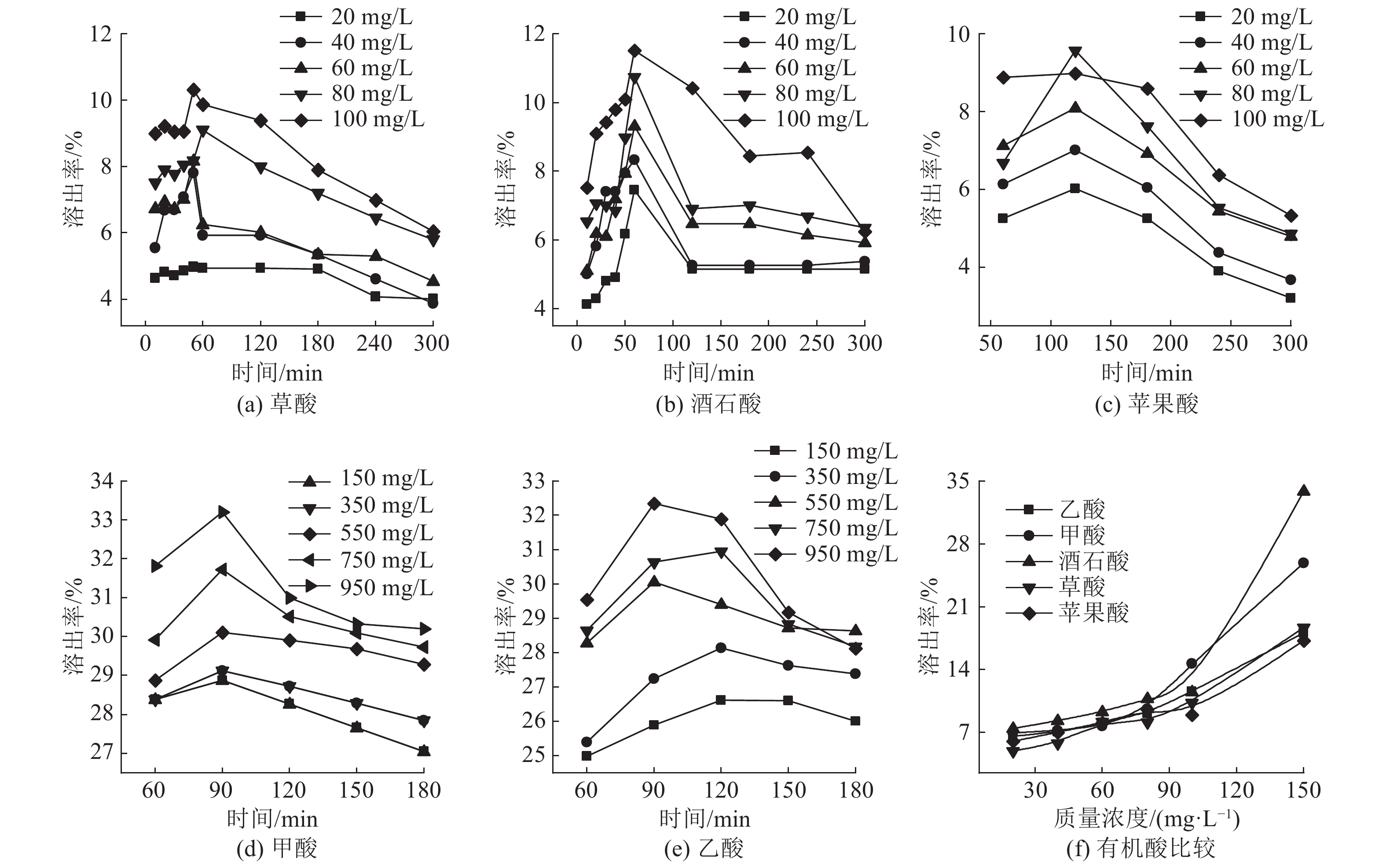
12 CFU/mL, liquid-solid ratio of 6∶1, and treatment duration 4 d. Compared with the best results of single factor experiment, the effective phosphorus dissolution of SM1 strain increases by 19% under this conditions. When the optimal acid production conditions are system temperature of 30 ℃, pH=8, 8 g/L sucrose (carbon source), 1 g/L ammonium chloride (nitrogen source), 0.3 g/L magnesium chloride and 0.3 g/L potassium dihydrogen phosphate (inorganic salt), the acid content (calculated by H+) increases by 0.014mol/L. A large amount of organic acids are metabolized by the strain by HPLC, and the XRD results of the slag before and after dissolving phosphorus-containing mineral residues show that the phosphate phase degraded by the strain is monetite, combined with the experiment of organic acid dissolving monetite, the phosphorus-solubilizing mechanism of SM1 strain is further verified by the organic acid dissolving monetite from coal gangue. The content of available phosphorus after optimized acid production is 12.7% higher than that of orthogonal experiment.