高级检索

矿用输送带钉扣机穿钉机构运动误差分析

Motion error analysis of nailing piercing mechanism of conveyor belt nailing machine

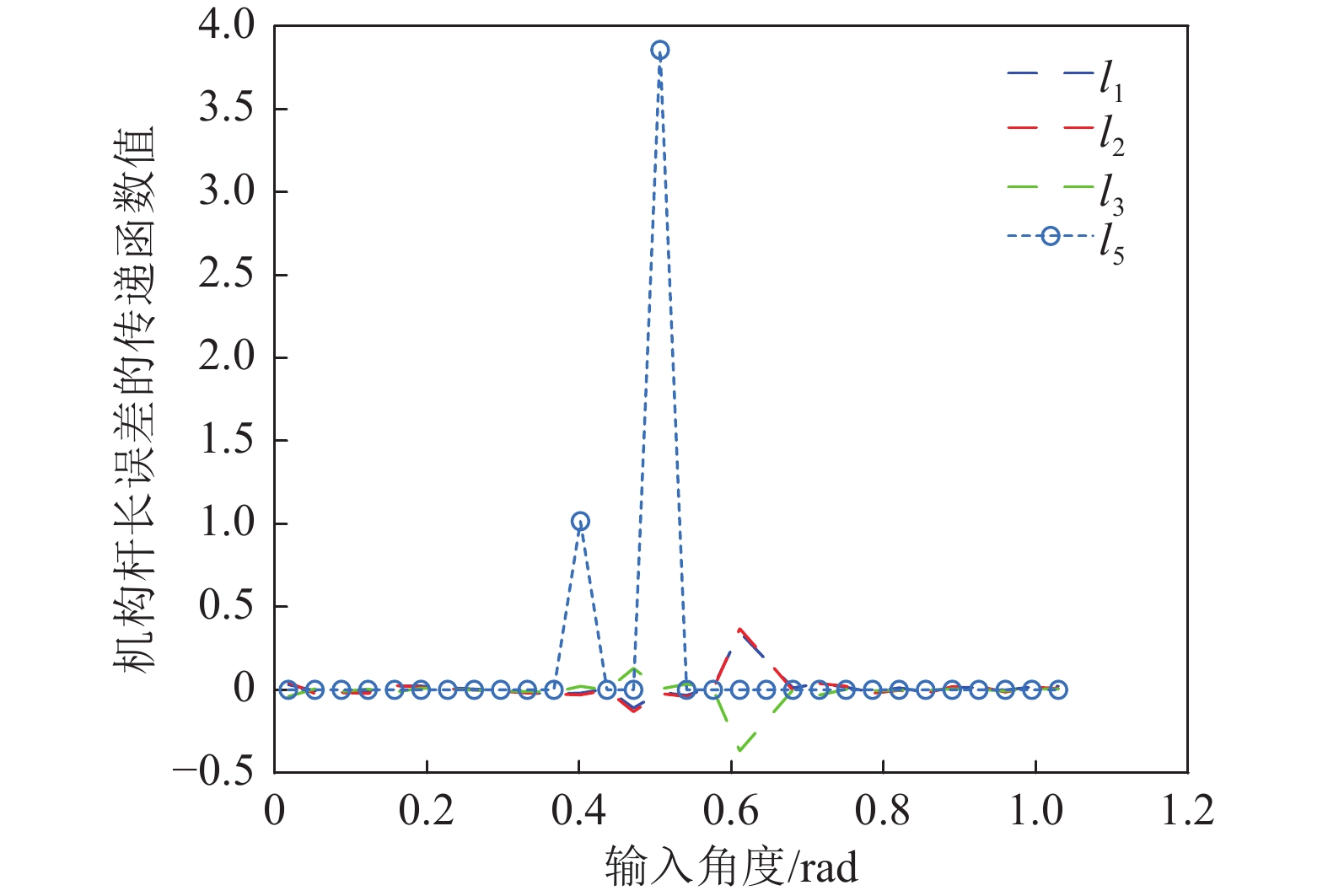
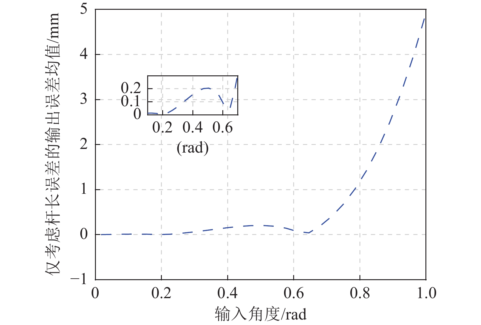
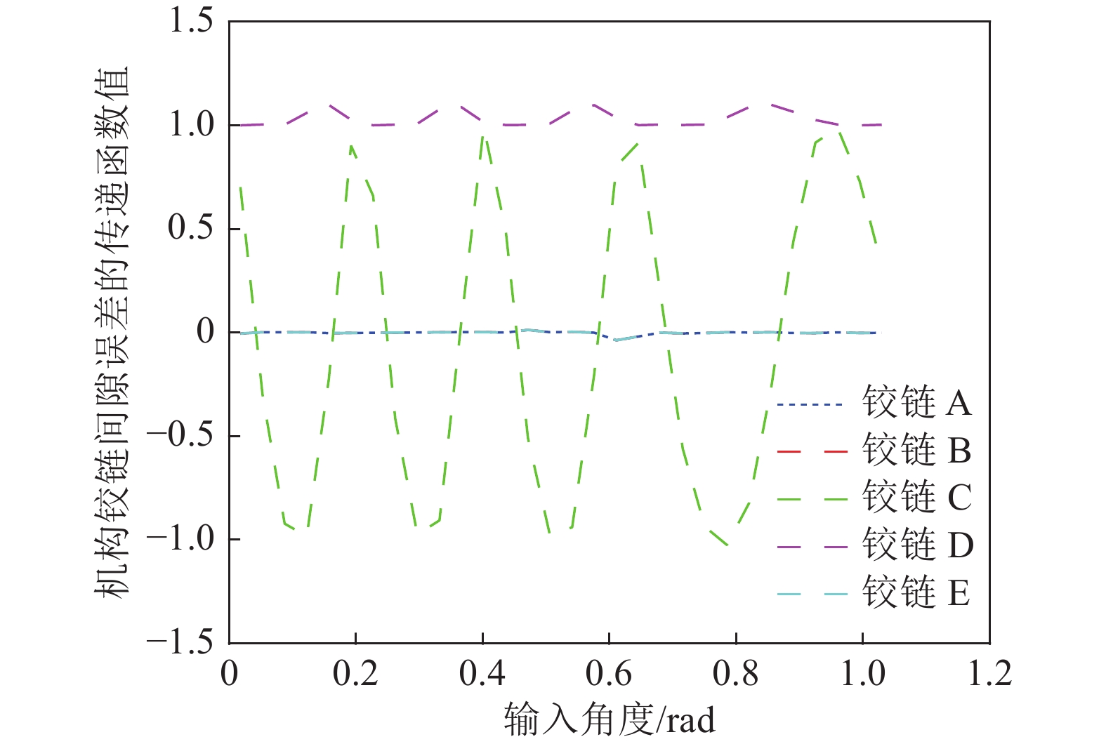
  • 摘要: 针对矿用输送带钉扣机传动机构的尺寸误差和铰链间隙误差会造成输送带压扣不紧、钉不透的问题,以钉扣机穿钉机构为研究对象,考虑了穿钉机构中尺寸误差以及铰链间隙误差对运动输出误差的影响,分析了机构的运动可靠性。首先,建立穿钉机构的运动学模型,并基于连续接触模型、有效长度理论等得到机构末端输出位置与各构件参数之间的变化规律。其次,建立了考虑尺寸误差、铰链间隙误差的误差模型,分别得到了运动输出误差的均值与方差。最后得到了各误差对输出运动精度和可靠性的影响规律。通过引入误差传递函数,分别得到了机构尺寸误差与铰链误差对运动输出的影响程度。仿真结果表明,铰链误差对运动输出误差的影响程度比杆长误差影响大,在钉扣机设计和装配阶段,应重点控制铰链C和铰链E的间隙误差,可有效提高钉扣机构运动输出精度。

     

    Abstract: Aiming at the problem that the size error and hinge clearance error of the driving mechanism of the belt nailing machine will cause the tight press button and the impenetrable belt nail, taking the nail piercing mechanism of the nailing machine as the research object, the influence of the size error and hinge clearance error on the motion output error of the nail piercing mechanism is considered, and the motion error of the mechanism is analyzed. Firstly, the kinematic model of the nail piercing mechanism is established, and the variation law between the end output position of the mechanism and the parameters of each component is obtained based on the continuous contact model and the effective length theory. Secondly, the error model considering size error and hinge clearance error is established, and the mean and variance of motion output error are obtained respectively. Finally, the influence law of each error on the accuracy and reliability of output motion is obtained. By introducing error transfer function, the influence degree of mechanism size error and hinge error on motion output is obtained. The simulation results show that the influence of hinge error on the motion output error is greater than that of rod length error. In the design and assembly stage of the buttoning machine, the clearance error between hinge C and hinge E should be controlled, which can effectively improve the motion output accuracy of the buttoning mechanism. This conclusion has a certain guiding significance for guiding the design of conveyor belt nailing machine and improving the motion accuracy of nailing machine.

     

/

返回文章
返回