高级检索

瓦斯非均衡赋存煤层精准冲孔增透技术及应用

Precise permeability enhancement technique with hydraulic flushing for coal seams with non-uniformly distributed gas

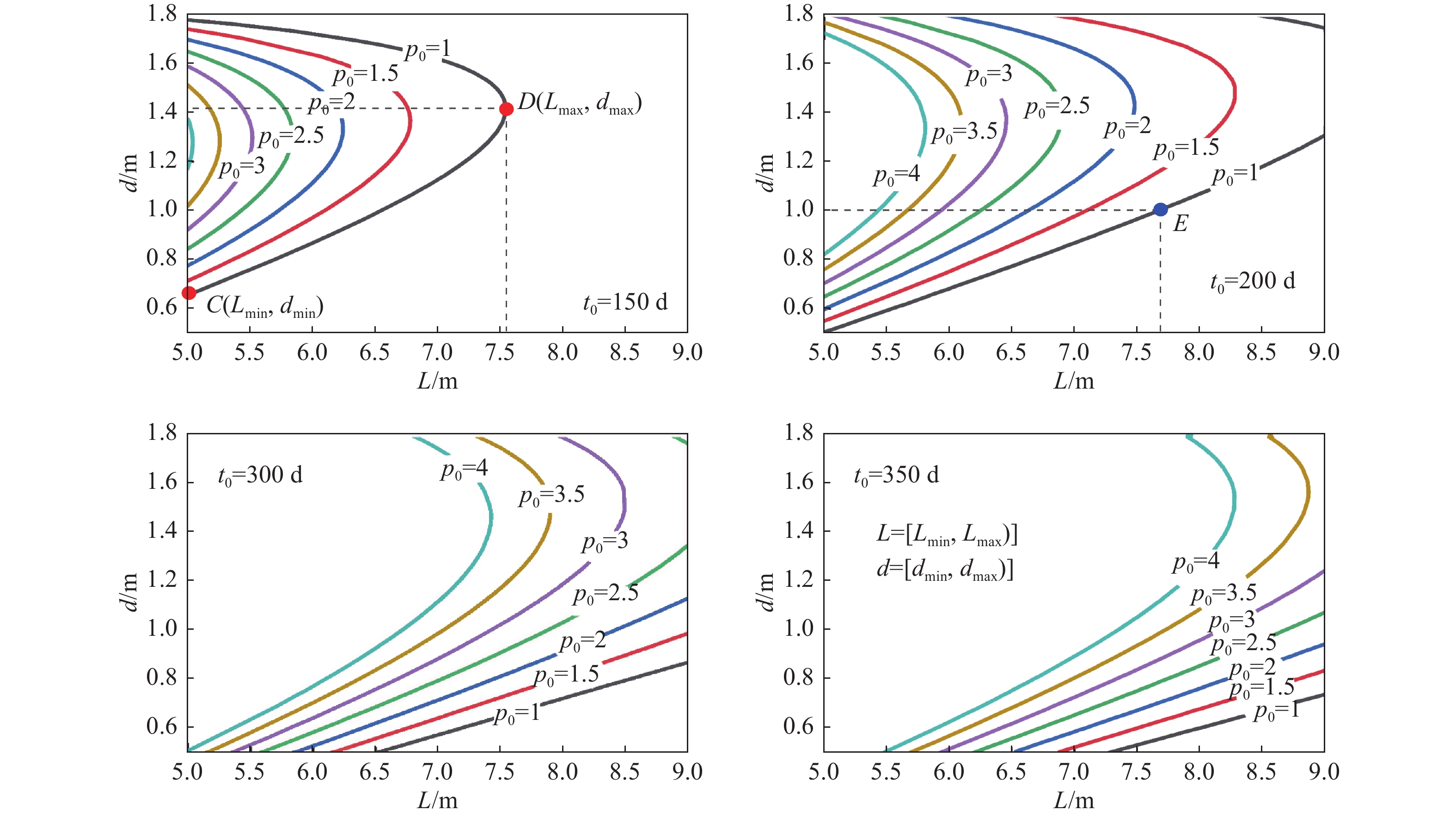
  • 摘要: 为实现瓦斯非均衡赋存煤层的精准卸压增透,基于理论建模、数值模拟和现场试验的方法研究了水力冲孔关键工艺参数的判定准则和优化方法。构建了卸压煤层多场耦合模型,分析了冲孔最优出煤量的判定指标体系,提出了冲孔最优出煤量的判定准则及方法,绘制了水力冲孔关键工艺参数优化图谱,提出了瓦斯非均衡赋存煤层梯级精准增透强化抽采技术。结果表明:①抽采时间一定时,随着冲孔出煤量的增加,煤层残余瓦斯含量逐渐降低,而由于孔间应力集中程度的升高,残余瓦斯压力先降低后升高;②冲孔最优出煤量的判定准则包括瓦斯抽采达标约束和巷道失稳风险和施工成本最小化约束,当残余瓦斯含量和压力均小于临界值时,认为抽采达标,在满足抽采达标的前提下,应尽量减小冲孔出煤量以保证煤巷稳定、降低工程成本;③冲孔最优出煤量随地应力的升高而降低,随黏聚力、瓦斯压力和钻孔间距的增大而升高。对于给定煤层,冲孔出煤量存在最大值,抽采达标时间存在最小值;④综合考虑煤层瓦斯压力、出煤量、钻孔间距及抽采达标时间之间的关联关系,绘制了冲孔关键参数的优化图谱,提出了瓦斯非均衡赋存煤层梯级精准增透强化抽采技术,融合煤层瓦斯赋存特征和冲孔关键参数的优化图谱,确定不同瓦斯赋存区域对应的冲孔工艺参数,实现瓦斯非均衡赋存煤层的精准卸压增透。

     

    Abstract: To realize the precise stress relief and permeability enhancement of the coal seam with non-uniformly distributed gas, the criterion and optimization method of key construction parameters of hydraulic flushing was studied by modeling, numerical simulation and field tests. First, the multiphysics coupling model for stress-relieved coal seam was developed and index of optimal coal discharged was analyzed. Then the criterion and determination method of optimal coal discharged was put forward. Finally, the determination map of key construction parameters of hydraulic flushing was drawn, and a precise permeability enhancement technique for coal seam with non-uniformly distributed gas was proposed. The main conclusions are shown as follows: ① for a given gas extraction time, the residual gas content decreases while the residual gas pressure reduces followed by an increase with a rise of coal discharged; ② the criterion of optimal coal discharged includes the constraints of gas extraction reaching standard and minimization of roadway instability risk and construction cost. When the residual gas content and pressure are less than the critical values, it is considered that the gas extraction reaches the standard. On the premise of meeting the standard of extraction, the coal discharged should be reduced as far as possible to ensure the stability of coal roadway and reduce the project cost; ③ The optimal coal discharged decreases with the increase of ground stress, and increases with the increase of cohesion, gas pressure and borehole spacing. For a given coal seam, there is a maximum value of coal discharged and a minimum value of extraction time reaching standard; ④ comprehensively considering the correlation between coal seam gas pressure, coal yield, borehole spacing and extraction time reaching standard, the optimization map of key parameters of hydraulic flushing is drawn. Based on the map, a precise pressure relief and permeability enhancement technology for coal seams with non-uniformly distributed gas is put forward. In this technique, the construction parameters of hydraulic flushing corresponding to various gas occurrence areas can be determined, with the combination of gas occurrence and optimization map of key parameters, realizing the precise permeability enhancement of the coal seams with non-uniformly distributed gas.

     

/

返回文章
返回