高级检索

矿用刮板输送机垂直冲击下负载电流特性研究

Study on load current characteristics of scraper conveyor under vertical impact

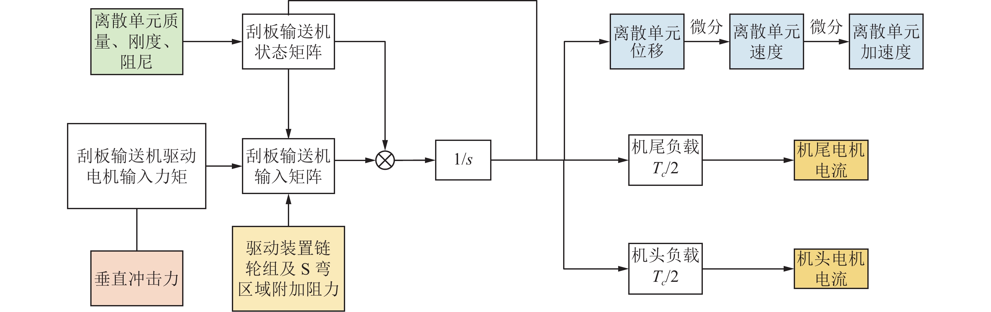
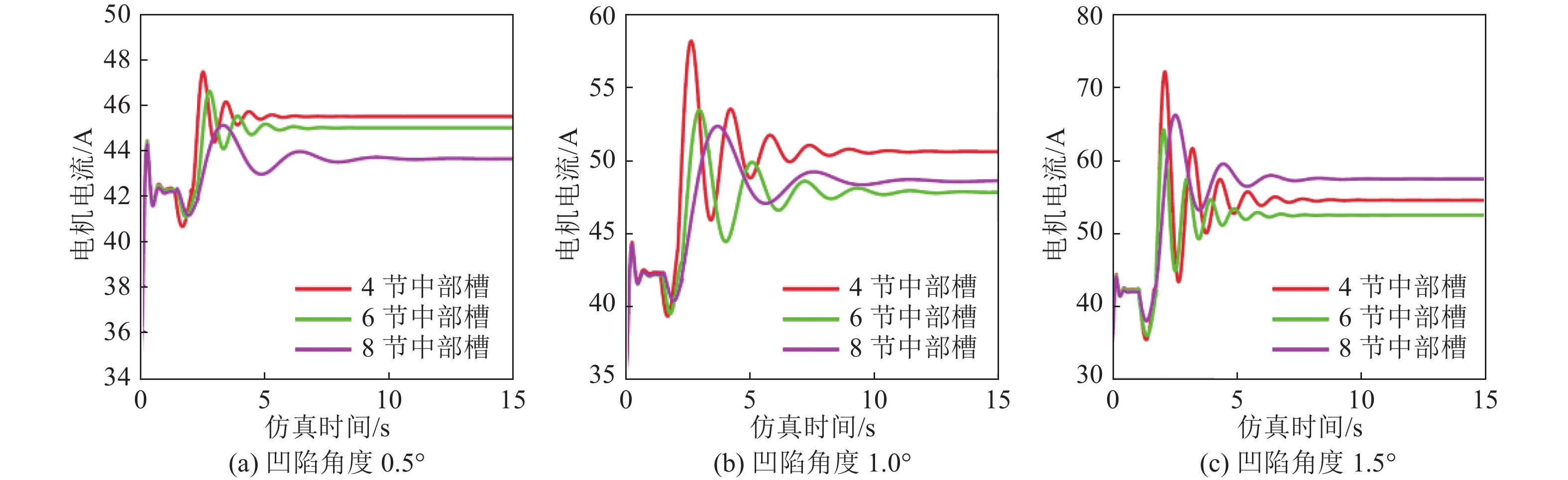
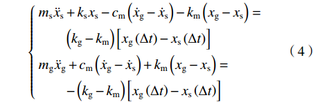
  • 摘要: 矿用刮板输送机在运行过程中易受液压支架推移不齐、采煤机截割底板不平的影响,承受着多种类型冲击,其中垂直方向的冲击作用最为明显,造成刮板输送机传动系统磨损严重、驱动电机功率不平衡等问题。笔者通过分析刮板输送机垂直冲击的形成原因,计算了不同垂直冲击作用下刮板输送机的运行阻力,建立了刮板输送机传动系统的垂直冲击仿真模型,并对刮板输送机在中部槽间隙、中部槽凸起弯曲、中部槽凹陷弯曲等工况下的冲击负载电流情况进行了仿真分析,结果表明:中部槽间隙越大,中部槽与中板发生的撞击就会越强烈,对刮板输送机传动系统的冲击越明显;垂直冲击产生的负载电流峰值与中部槽凹陷或凸起弯曲程度呈正相关;相邻中部槽最大弯曲角是决定刮板输送机冲击负载电流突变峰值及冲击稳定后负载增量的主要因素;中部槽凸起和凹陷弯曲产生的冲击对系统运行阻力的影响程度最大约为12%,是影响驱动系统电机功率不平衡的主要因素。在煤矿井下搭建了刮板输送机冲击负载监测平台,开展了不同垂直弯曲角度下的冲击负载电流监测试验,结果表明:不同程度的垂直冲击均使刮板输送机传动系统电机负载电流产生明显波动,且在短时间内,冲击电流峰值最高可达正常工作电流的1.5倍,对刮板输送机的链条、电机等零部件造成严重损害;现场采集的刮板输送机受到冲击后的电机电流曲线与仿真曲线变化趋势基本保持一致,平均绝对误差范围为0.435~1.342 A,验证了刮板输送机垂直冲击仿真模型的正确性与合理性。研究成果为提升刮板输送机的智能控制水平、保障煤矿运输装备的负载稳定和功率平衡提供了理论依据,进而降低综采工作面的运输成本,延长运输装备的使用寿命。

     

    Abstract: During the operation of the mine scraper conveyor, it is easy to be affected by the uneven movement of hydraulic support and the uneven cutting bottom of shearer, bearing various types of impact, of which the impact in the vertical direction is the most obvious. This phenomenon will lead to serious wear of the transmission system and unbalanced power of the driving motor. In this article, the formation mechanism of vertical impact of scraper conveyor is studied and the running resistance of the scraper conveyor under different vertical impact effects is calculated. The vertical impact simulation model of the scraper conveyor transmission system is established. The load conditions of scraper conveyor under different working conditions of middle slot clearance, convex and concave of middle slot are simulated and analyzed. The simulation results show that when the middle slot clearance increases, the impact between the middle groove and the middle plate will be stronger, and the impact on the drive system of the scraper conveyor will be more obvious. The peak value of load current produced by vertical impact is positively correlated with the degree of concave or convex bending of the middle groove. The maximum bending angle of adjacent middle slots is the main factor determining the sudden peak value of impact load and the load increment after impact stability of scraper conveyor. The impact caused by the convex and concave bending of the middle groove has a maximum impact on the running resistance of about 12%, which is the main factor affecting the motor power imbalance of the drive system. In the coal mining face, the impact load monitoring platform of scraper conveyor is built, and some impact load monitoring experiments under different vertical bending angles are carried out. The comparison results show that different degrees of vertical impact make the load current fluctuate obviously, and in a short time, the peak value of the impact current can reach 1.5 times of the normal working current, causing serious damage to the chain, motor and other parts of the scraper conveyor. The change trend of the motor current curve after impact is basically consistent with the simulation curve, and the average absolute error range is about 0.435A ~ 1.342A, which verifies the correctness and rationality of the vertical impact simulation model of the scraper conveyor. The research results provide a theoretical basis for improving the intelligent control level of scraper conveyor and ensuring the load stability and power balance of coal mine transportation equipment, so as to reduce the transportation cost of fully mechanized mining face and prolong the service life of transportation equipment.

     

/

返回文章
返回