高级检索

基于同态滤波方法的煤矿井下图像增强技术研究

Research on coal mine underground image recognition technology based on homomorphic filtering method

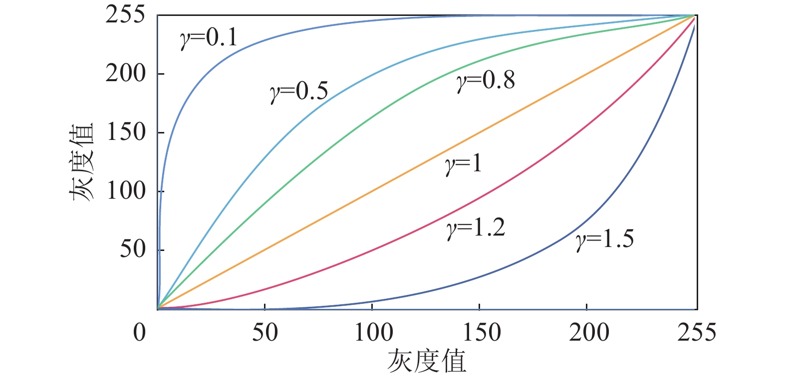
  • 摘要: 视觉同位定位与地图构建技术在井下搜救工作中运用广泛,而机器人采集图像质量的好坏直接决定构图的质量,目前受煤矿井下粉尘和光源的条件影响,收到的图像信息存在的灰度偏暗和对比度低的问题,所以井下图像的增强效果有待提高。针对这一问题,提出一种在HSV空间下结合加权分布自适应伽马校正(Adaptive Gamma Correction with Weighting Distribution, AGCWD)的同态滤波方法。首先对经典同态滤波算法中存在高亮区和阴影区的过增强问题,用AGCWD算法对HSV空间下V分量的像素概率密度进行自适应的伽马校正,非线性地映射出新的概率分布,提高同态滤波对高光区和阴影区的适用性;再使用单参数同态滤波进行处理,以缓解多参数导致的参数过难选择问题;为了保留图像的细节,对单参数同态滤波后的结果进行对比度受限的自适应直方图均衡化(Contrast Limited Histogram Equalization, CLAHE)处理;最后进行HSV逆变换得到RGB空间下的图像,完成图像的增强。结果表明,改进的同态滤波算法相较于CLAHE算法,均值、标准差、峰值信噪比(PSNR)和信息熵分别提高了65.29%、21.58%、17.03%、5.18%,相较于经典同态滤波算法分别提高了52.07%、40.73%、36.23%、8.96%。试验数据表明改进的同态滤波算法能够在增强图像的亮度和对比度、保留图像细节信息的同时还在一定程度上抑制了经典同态滤波对明暗差距大的像片的过增强现象。

     

    Abstract: Visual SLAM technology is widely used in underground search and rescue work, and the quality of image collected by robot directly determines the quality of image composition. At present, due to the influence of dust and light source con-ditions in underground coal mine, the enhancement effect of underground image needs to be improved. At present, the coal mine monitoring image enhancement effect needs to be improved due to the influence of dust and light source conditions in the coal mine.In order to solve this problem, this paper puts forward a HSV space combined with Adaptive Gamma Correcti-on with Weighting Distribution (AGCWD) homomorphic filtering method.Firstly, to solve the problem of over-enhancement of the highlight and shadow areas existing in the classical homomorphic filtering algorithm, the AGCWD algorithm is used to carry out adaptive gamma correction for the probability density of theVcomponent in HSV space, and the new probability distribution is non-linearly mapped to improve the applicability of the homomorphic filtering to the high light and shadow ar-eas.Then single-parameter homomorphic filter is used for processing to alleviate the problem of difficult parameter selection c-aused by multiple parameters.In order to preserve the detail of the image, and then the results of single parameter after the homomorphic filtering to carry on the Contrast Limited Histograme Equalization(CLAHE);Finally, HSV inverse transformation is carried out to obtain the image in RGB space, and image enhancement is completed.By the improved homomorphic filterin-g algorithm, CLAHE algorithm and classical homomorphic filtering algorithm proposed in this experiment, the result image mean, standard deviation, peak signal-to-noise ratio (PSNR), information entropy and other indicators are evaluated.Compared with the CLAHE algorithm, the improved homomorphic filtering algorithm is improved by 65.29%, 21.58%, 17.03% and 5.18% respectively, and compared with the classical homomorphic filtering algorithm, it is improved by 52.07%, 40.73%, 36.23% and 8.96% respectively.The experimental data show that the improved homomorphic filtering algorithm can enhance the b-rightness and contrast of the image and keep the detail information of the image. At the same time, the overenhancement p-henomenon of classical homomorphic filtering on the image with large gap between light and dark is suppressed to a certainn extent.

     

/

返回文章
返回