高级检索

烷基化法降低煤焦油沥青中毒性多环芳烃含量的研究进展

张文硕, 申峻, 王玉高, 刘刚, 李瑞丰, 徐青柏

张文硕,申 峻,王玉高,等. 烷基化法降低煤焦油沥青中毒性多环芳烃含量的研究进展[J]. 煤炭科学技术,2023,51(3):271−280

. DOI: 10.13199/j.cnki.cst.2021-0681
引用本文:

张文硕,申 峻,王玉高,等. 烷基化法降低煤焦油沥青中毒性多环芳烃含量的研究进展[J]. 煤炭科学技术,2023,51(3):271−280

. DOI: 10.13199/j.cnki.cst.2021-0681

ZHANG Wenshuo,SHEN Jun,WANG Yugao,et al. Progress of decreasing toxic polycyclic aromatic hydrocarbons content in coal-tar pitch by alkylation method[J]. Coal Science and Technology,2023,51(3):271−280

. DOI: 10.13199/j.cnki.cst.2021-0681
Citation:

ZHANG Wenshuo,SHEN Jun,WANG Yugao,et al. Progress of decreasing toxic polycyclic aromatic hydrocarbons content in coal-tar pitch by alkylation method[J]. Coal Science and Technology,2023,51(3):271−280

. DOI: 10.13199/j.cnki.cst.2021-0681

烷基化法降低煤焦油沥青中毒性多环芳烃含量的研究进展

基金项目: 

国家自然科学基金资助项目(U1610223,21706172);山西省科技攻关资助项目(201903D321061)

详细信息
    作者简介:

    张文硕: (1997—),内蒙古包头人,硕士研究生。E-mail: 2039518343@qq.com

    通讯作者:

    申峻: (1971—),山西交城人,教授,博士。E-mail: shenjun1971@sina.com

  • 中图分类号: TQ53

Progress of decreasing toxic polycyclic aromatic hydrocarbons content in coal-tar pitch by alkylation method

Funds: 

National Natural Science Foundation of China (U1610223, 21706172); Shanxi Province Science and Technology Research Project (201903D321061)

  • 摘要:

    煤焦油沥青(简称“煤沥青”)是高温煤焦油常减压蒸馏后的残余物,尽管煤沥青在中国产量很大,但由于其具有较高毒性,因此限制了它的广泛应用。通过固体13C NMR和气相色谱/质谱联用等技术发现煤沥青的毒性来源于其含有大量的毒性多环芳烃(PAHs),包括美国环保署(EPA)优先监控的16种PAHs,如荧蒽、芘和苯并[a]芘等。介绍了煤沥青的各种抑毒改性方法,包括化学交联法和物理化学法,现有的研究主要集中在化学交联法;通过对比煤沥青与石油沥青的分子结构,发现石油沥青中具有较高的脂肪族烃类,提出通过长链烯烃烷基化的方法,在PAHs上加上烷基侧链,生成无毒的长链烷基取代PAHs,以抑制煤沥青的毒性。因此重点阐述了烷基化交联改性方法,详细总结该方法的反应原理、所使用的催化剂,并对国内外有关改性试验结果和理论研究工作进行了综合分析,首先使用高斯模拟16种PAHs与烯烃的烷基化反应,得出其反应的一般规律;其次选取模型化合物进行烷基化反应,探讨在煤沥青改性过程中相关PAHs可能发生的反应及反应机理;最后将模型化合物烷基化实验所得到的反应条件应用到真实煤沥青体系,并分析改性前后煤沥青中美国环保署优先监控16种PAHs的降低情况,以及煤沥青抑毒改性后的沥青烟释放物和水可溶物变化情况等内容,同时对该方法的下一步研究应用热点和发展进行了展望,希望为国内外煤沥青的环境友好利用提供参考。

    Abstract:

    Coal-tar pitch (CTP) is a substance produced by ambient and/or vacuum distillation of high-temperature coal tar, although CTP has a large yield in China, however its wide application is limited due to its high toxicity. It was found that the toxicity of CTP was derived from its large amount of toxic Polycyclic Aromatic Hydrocarbons(PAHs) by 13C NMR and gas chromatography/mass spectrometer, including 16 PAHs monitored by the United States Environmental Protection Agency(EPA), such as fluoranthene、pyrene and benzo[a]pyrene. Various anti-toxic modification methods of CTP are introduced in the article, including chemical crosslinking method and physical chemistry method. The existing research mainly focuses on the former; by comparing the molecular structure of CTP and petroleum pitch, it is found that petroleum pitch has higher aliphatic hydrocarbons,it is proposed to add alkyl side chains to PAHs by alkylation of long-chain olefins to generate non-toxic long-chain alkyl substituted PAHs and inhibit the toxicity of CTP. Thus the method of alkylation cross-linking modification is focused on. The principle of the method and the catalysts used were summarized, the domestic and foreign related modification experiment results and theoretical research work were analyzed; Firstly, the alkylation of 16 kinds of PAHs with olefins was simulated by Gaussian, and the general rules of the reaction were obtained; Secondly, model compounds were selected for alkylation reaction, the possible reaction and its reaction mechanism of PAHs in the process of CTP modification were discussed; Finaly, the reaction conditions obtained from alkylation experiments of model compounds were applied to real CTP system, including 16 U.S. Environmental Protection Agency priority monitoring PAHs reduction in the modified coal tar pitch, as well as the changes of asphalt fume emissions and water soluble matter after modification in CTP, meanwhile the future research and application hot-spots and development of this method were prospected, it is hoped to provide reference for the environmental friendly utilization of CTP at home and abroad.

  • 煤焦油沥青(简称“煤沥青”)是煤焦油经过蒸馏提取馏分后的残余物,占高温煤焦油总量的50%~60%,中国每年有600万t以上的产量,以煤沥青为原料可生产黏结剂、活性炭、针状焦、中间相炭微球、泡沫炭、炭纤维、电极、碳-碳复合材料等新型炭材料,但是产量较低[-]。随着国内公路交通运输行业的快速发展,对铺路沥青的需求量和质量要求也不断提高,传统的道路铺设工艺多采用石油沥青,但国内石油资源的不足及国际石油价格的波动导致铺路石油沥青价格较高,在石油沥青中掺杂煤沥青是其中一种改性方式,然而煤沥青的主要组成为2~6环的多环芳烃(PAHs),其中包含了美国环保署(EPA)优先监控的16种PAHs,它们具有致癌性、致突变性、致畸性,会危害人体的健康,热加工过程中所释放的沥青烟和和长期使用过程中产生的水浸出物也会对生物体产生副作用,对环境生态的破坏也不容忽视[-],尤其是煤沥青中所含的苯并芘(Bap)是标准的环境致癌物;在国内外,人们很早就注意到CTP的毒害,尤其是在其作为筑路沥青时加热过程中所产生的沥青烟气,其中包含大量的挥发性有机化合物、PAHs、颗粒物、一氧化碳、硫氧化物和氮氧化物,它们会对施工人员的器官及呼吸系统造成损伤,国际癌症机构(IARC)发现从事道路建设的相关人员癌症病发率较高;因此采取了一系列的防治措施,主要是通过施工人员的自身防护、现场排风、烟气净化或减少煤沥青的用量来实现致癌性的PAHs与人体直接接触的物理方法,这些方法都是从“终端”层次上进行防治,但要想实现CTP的绿色应用,需要从源头上消除CTP中的毒性PAHs,所以在应用之前如何脱除或转化煤沥青中毒性PAHs以消除或降低其对人体和环境的危害成为亟须解决的问题。煤沥青的价格一般比石油沥青低2000元/t左右,如果把煤沥青抑毒的成本控制在2000元/t之内,对于弥补石油沥青的不足将具有很强的经济价值。根据现有文献,CTP改性方法包括化学交联法和物理化学改性法,其中化学改性法最为有效,因此研究的也比较广泛,但改性剂价格昂贵,降低了CTP应用的成本;本文提出的烷基化法所用的改性剂为长链烯烃,从分子结构上看,长链烯烃易与毒性PAHs发生烷基化反应,生成无毒无害的长链烷基取代物,在价格上烯烃较其他改性剂便宜,同时烯烃本身也没有毒性,在应用过程中不会造成二次危害。

    目前从已有文献可以看出,煤沥青改性原料主要是中温煤沥青,因为高温煤沥青中的毒性PAHs含量较多,处理难度增大;低温煤沥青不饱和成分高,这会导致改性后的煤沥青稳定性及抗老化性能差,不适合用做道路沥青;而中温煤沥青在物化性能方面,更接近于道路沥青的性能 []。已研究过的煤沥青抑毒改性方法主要包括聚合物法、氧化法、紫外线照射法、溶剂萃取法、真空蒸馏法。笔者对其总结概括见表1

    表  1  煤沥青改性方法概述[-]
    Table  1.  Overview of CTP modification methods[-]
    方法原理缺点改性剂/萃取剂
    聚合物法聚合物裂解出的自由基碎片占据PAHs活性位点,使毒性PAHs失活聚合物改性剂种类多且价格昂贵,降低了煤沥青的性价比聚酯树脂类、热塑性树脂类、橡胶类
    氧化法添加氧化剂来改变煤沥青结构以实现抑毒对煤沥青的结构产生了影响,会使煤沥青提前老化,影响其筑路性能氧气、臭氧、高锰酸钾、二氧化氯等
    紫外线照射法通过紫外光照射使PAHs活化,与煤沥青中其他分子反应,改变沥青结构改性效果不佳且易受外界环境影响紫外光、微波等
    溶剂萃取法将PAHs通过萃取手段分离而达到无毒效果方法技术发展不成熟且工艺设备昂贵甲醇、正己烷、甲苯等
    真空蒸馏法在闪速蒸馏塔中经过短时处理使沥青性能改善的方法设备成本高昂、能耗大、所制得的改性煤沥青路用性能变差
    下载: 导出CSV 
    | 显示表格

    上述方法虽然都在一定程度上降低了煤沥青中毒性PAHs的含量,但存在设备成本高、改性剂价格昂贵、引入杂环原子改变了煤沥青性能等问题,导致未能工业化。本文介绍的烷基化法改性剂是采用烯烃、醇类、醛类等烷基化剂,将煤沥青中的PAHs通过烷基化方法加上脂肪烃侧链,使煤沥青结构与石油沥青结构相似,降低煤沥青毒性,同时也极大降低了设备的成本。该方法是基于石油沥青具有脂肪族烃类和脂肪侧链含量较高、芳香度低的特点,其所含PAHs少、毒性小,如图1所示。而且1-2环芳烃长链烷基取代已经工业化,用作表面活性剂、高级润滑油、液晶高聚物、油水分离剂等有效成分[-]。已有的部分研究表明烷基化取代后PAHs的毒性明显降低,并且可以改善煤沥青在一些轻质有机溶液中的溶解度,极大拓宽煤沥青的应用范围。

    图 1 石油沥青与煤沥青分子结构差异示意[17]
    图  1  石油沥青与煤沥青分子结构差异示意[]
    Figure  1.  Schematic diagram of molecular structure difference between petroleum pitch and coal tar pitch[]

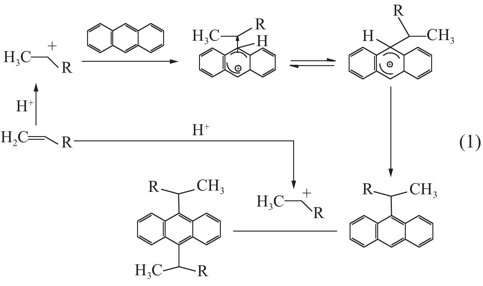
    Friedel-Crafts烷基化反应是一种典型的酸催化条件下的C-烷基化反应,烯烃在酸性催化剂的作用下生成稳定碳正离子,碳正离子作为亲电试剂进攻芳环形成中间体络合物,随后脱掉H+生成烷基化产物;由于烷基的给电子效应,芳环易被烯烃二次取代发生二烷基化反应。以蒽为例,其与烯烃的Friedel-Crafts烷基化反应机理[]如下:

    ZIELIŃSKI[]研究发现,PAHs与聚酯树脂或聚乙二醇之间发生的反应可能是O-烷基化反应。该反应机理还需要试验进一步验证,本文提供该反应机理的一种可能。以蒽和醇类为例,由于醇羟基中的氧电负性高于氢,电子云向氧偏移使氢带部分正电荷,受到亲核试剂的进攻,氧氢键发生断裂,发生亲核加成反应。

    路易斯酸和质子酸作为烷基化反应传统的催化剂,催化效果良好,但存在因腐蚀性造成环境污染以及不能重复利用等问题,应用受到限制,因此环境友好型催化剂成为研究的重点。目前主要有固体酸催化剂和离子液体催化剂两类[]

    固体酸催化剂中研究较多的有分子筛、金属氧化物固体超强酸、杂多酸等。固体酸催化剂虽然改善了传统催化剂所具有的腐蚀性、毒性及不可重复使用等问题,但催化反应温度较高,烯烃在高温下易发生异构化和聚合等副反应导致产物选择性降低,同时也会降低催化剂的使用寿命。

    作为一种新型的绿色固体酸催化剂,分子筛表面具有较强的酸性中心,具有很好的氢转移能力[]。其最基本的骨架结构是SiO4和AlO4的四面体结构,通过共用的氧原子形成三维网状结构,使其具有均匀的孔道结构。分子筛催化剂催化效率高、环境友好且易分离与再生,同时改性分子筛用于芳烃烷基化反应的研究也较多,可通过添加不同金属元素及负载量以改变分子筛的酸性位点及孔道结构,从而影响其催化性能。

    赵阳坤[]研究了菲和乙醇的Friedel-Crafts烷基化反应,使用多种不同种类的分子筛为催化剂,并考察其对菲烷基化产物分布的影响,其中以USY型分子筛为催化剂所得到烷基化产物的收率最高,随后用浸渍法制备改性USY型分子筛,并与母体分子筛的催化活性进行对比,致力于寻找最佳的负载金属和负载量。

    部分金属氧化物在一定条件下可形成具有极大比表面积的多孔结构,因此可借助酸性物质负载后的金属氧化物用作烷基化反应的催化剂[]

    王知彩等[]研究了苯与1-十二烯在SO4 2−/ZrO2-TiO2固体酸催化剂下的烷基化反应,并对固体酸催化剂进行表征。结果表明:SO4 2−/ZrO2-TiO2催化剂具有良好的催化性能,在SO4 2−/ZrO2-TiO2催化作用下1-十二烯的转化率达到99.5%,产物为十二烷基苯和2-十二烷基苯,选择性分别为92.2%和89.3%。在后续试验[]中又研究了SO4 2−/ZrO2催化剂的催化和失活,发现2-LAB的选择性随酸强度的升高而升高,使用苯或四氢呋喃萃取的方式可一定程度上恢复已失活催化剂的活性。

    杂多酸的酸性普遍高于无机酸且结构稳定,所以杂多酸作为催化剂有着良好的催化性能。杂多酸是由氧桥将过渡金属原子和杂原子连接而成,催化性能良好且无污染。杂多酸可分为Keggin型、Dawson型、Silverton型、Waugh型和Anderson型,其中Keggin型杂多酸被广泛应用于芳烃烷基化反应中。但杂多酸比表面积较小,所以杂多酸作为催化剂需要寻找合适的载体以提高其催化活性,因此负载型杂多酸是应用于催化领域的关键[-]

    在芳烃烷基化领域中常用酸强度排序为:磷钨酸>硅钨酸>磷钼酸>硅钼酸>HCl、HNO3等无机酸,故在芳烃烷基化反应中最常用的杂多酸是磷钨酸[]。DOUKEH等[]合成了介孔二氧化硅负载磷钨型杂多酸(HPW/SBA-15)催化剂,研究了1-葵烯与间甲酚烷基化反应,并探究反应时间、催化剂用量等工艺参数对间甲酚转化率和烷基苯产率的影响。结果表明:在反应条件(温度160 ℃,时间150 min,25%的HPW/SBA-15)下,间甲酚转化率达到93.8%,且使用该催化剂没有主要副反应发生,如烯烃的自聚或多烷基化反应。

    用于合成负载型杂多酸的载体种类较多,载体的选择对负载型杂多酸的催化性能影响较大,选用相同的杂多酸作为活性组分,但不同的载体所形成的负载型杂多酸性能也会有差异,最常用的载体是MCM-41和ZSM-12分子筛、活性炭、SiO2、TiO2、Al2O3等;其中SiO2具有比表面积高、孔径大的特点,在酸性条件下具有良好的稳定性,并且综合经济价格等因素来分析,SiO2是一种理想的载体[]

    离子液体是由有机阳离子和有机或无机阴离子构成的,室温下呈液态。离子液体在溶剂、催化剂、电化学等方面被广泛应用[],尤其在近十年来,离子液体作为芳烃烷基化反应的催化剂得到飞速发展,与传统催化剂相比,离子液体催化剂具有如下特点[]:①离子液体化学稳定性良好;②不易挥发,避免了污染环境等问题;③对大量有机和无机溶剂有着很好的溶解性,具有溶剂和催化剂的双重作用;④离子液体会随着阴阳离子的变化而发生变化,所以可以根据实验的需要合成出相应特性的离子液体;⑤离子液体催化剂易与原料分离,可以反复使用、循环再生。离子液体催化烷基化反应具有条件简单、效率高、选择性强、产物易提纯等优点[],但是离子液体的制作成本高、易失活,难以工业应用。

    CHEN等[]用路易斯酸性离子液体催化剂([Emim]Cl-AlCl3、[Emim]Cl-FeCl3、[Emim]Cl-ZnCl2、[Bmim]Cl-AlCl3和[Omim]Cl-AlCl3)催化蒽和2-氯丙烷制备2-异丙基蒽的反应,发现[Emim]Cl-AlCl3的催化效果最好,随后研究了[Emim]Cl-AlCl3与蒽摩尔比和2-氯丙烷与蒽摩尔比对产物收率和选择性的影响,结果表明当n([Emim]Cl-AlCl3)∶n(蒽)=4∶1时,产物的收率和选择性达到74.5%和82.9%,之后随着摩尔比的增加收率和选择性降低,可能是由于大量的[Emim]Cl-AlCl3存在下导致产物发生二烷基化甚至是多烷基化反应;当n(2-氯丙烷)∶n(蒽)=1.5∶1时收率和选择性达到最大,之后也随摩尔比的增加而减小,是由于多余的烷基化试剂所引起的副反应导致。离子液体除了可直接用作烷基化反应的催化剂外,也有科研人员利用离子液体改性催化剂,也具有良好的催化效果,如BORONOEV等[]合成了一种以介孔苯酚-甲醛聚合物(MPF)作为有机载体的催化剂,并用IMHSO4离子液体改性,研究了芳香化合物和1-辛烯的烷基化反应,结果表明:在反应条件下(温度120 ℃,反应2 h,n(苯酚)∶n(1-辛烯)=5∶1, 5%MPF-IMHSO4),1-辛烯的转化率为46%,且烷基化产物主要为C-烷基化产物。

    1996年,波兰ZIELIHSKI等[]将煤沥青与用不同分子量的聚酯树脂或聚乙二醇进行复合,发现BaP的含量降低了90%以上,文中指出取代BaP的致癌活性显著降低,且BaP含量减少应该与BaP和树脂的某些端基(例如羟基)之间的相互作用有关,而不是与树脂之间发生交联反应;通过红外光谱和核磁共振等发现该反应可能是O-烷基化过程。大连理工大学张秋民等[]通过添加对聚苯乙烯-丁二烯-苯乙烯、古马隆-茚树脂和聚乙二醇发现对煤沥青中BaP脱除效果较好,并推测其机理为烷基化反应。太原科技大学薛永兵等[]也对降低煤沥青中BaP含量进行了研究,以氯化钴为催化剂,将煤沥青粉碎后加入改性剂(苯甲酸、聚乙二醇、古马隆树脂(L,s)),在优化条件下添加液体古马隆树脂为15%(相对于煤沥青用量)脱除效果最好,达到73%,反应机理如图2所示。

    图 2 BaP亲电取代反应机理
    图  2  BaP亲电取代反应机理
    Figure  2.  Mechanism of electrophilic substitution reaction of BaP

    申峻采用烷基化法对降低煤沥青中毒性PAHs含量展开研究,内容包括制备改性煤沥青以及煤沥青改性后的环境毒性测试(沥青烟、水可溶物、生物毒性)和物化性能测试(软化点、针入度、延度),并取得了阶段性成果,为国内煤沥青改性提供了一种新的研究方向。

    1)机理研究:根据密度泛函理论,运用Gaussian09程序包,研究PAHs与改性剂的反应机理,为筛选改性剂和烷基化剂提供理论指导,以提高PAHs的脱除率。模拟了16种PAHs与烯烃的反应规律,发现PAH与烯烃的烷基化反应活性大小与稠环芳烃的排列方式有关,特别是某些“港湾或边角区域”的活性较大,因为这些区域有利于电子云密集,更容易发生烷基化反应。为考察PAHs烷基化反应机理,以蒽在HF催化下和乙烯烷基化反应为例,发现可能有两种反应历程,第一种是乙烯分子被HF活化,进攻芳环形成烷基化产物;第二种是HF吸附蒽和乙烯,形成一种吸附态中间体,最后乙烯进攻芳环形成烷基化产物;2种反应历程中,HF分子H+会活化乙烯分子形成碳正离子,F起到帮助芳环氢解离的作用,因此在筛选催化剂时应协同考虑这两种作用。为考察烯烃碳链长度和双键位置对脱除率的影响,以苯并芘和乙烯烷基化反应来说明,在形成过渡态时发现以双键在末端的直链烯烃空间位阻最小,最容易形成,故烯烃的同分异构体中,双键在碳链末端的烯烃越易与苯并芘发生烷基化反应;且随着碳链的增长,烯烃与苯并芘烷基化反应的活化能逐渐减小,说明碳链越长的烯烃越易与PAHs发生烷基化反应[]

    2)模型化合物烷基化反应研究:选择了三-六环PAHs (蒽、荧蒽、芘、苯并[g,h,i]苝)模型化合物在对甲苯磺酸催化下,研究与对苯二甲醛/对苯二甲醇的化学反应,通过浓度变化验证PAHs反应活性规律。结果发现PAHs的反应活性与环数成正比关系,可能是由于PAHs与改性剂之间发生亲电取代反应,PAHs发挥供电子作用,随着PAHs环数增加,电子在某些点位上会更集中,反应活性就较高。随后通过GC、FT-IR及TGA对改性前后模型化合物与改性剂之间的反应进行研究,推断PAHs与对苯二甲醛/对苯二甲醇之间发生了亲电取代反应[]

    3)煤沥青烷基化反应研究:冯永辉[]选取对苯二甲醇在对甲苯磺酸的催化下对煤沥青进行化学改性,添加对苯二甲醇为6%(相对于煤沥青质量,下同),对苯甲磺酸为12%,在50 ℃下反应2 h,煤沥青中EPA优先控制的16种PAHs含量降低率达到74.14%,其中苯并芘含量降低率为78.38%。由于苯并芘在代谢过程中形成的四氢二羟基环氧结构极不稳定,会解离生成碳正离子与DNA结合从而引发癌变[],故使用对苯二甲醇为改性剂的改性机理是通过亲电取代反应占据苯并芘的10号位点,使苯并芘无法形成具有致癌活性的环氧结构,从而起到抑毒目的。图3为苯并芘的致癌机理和对苯二甲醇的抑毒机理。

    图 3 苯并芘的致癌机理和对苯二甲醇的抑毒机理
    图  3  苯并芘的致癌机理和对苯二甲醇的抑毒机理
    Figure  3.  The carcinogenic mechanism of benzopyrene and the anti-toxic mechanism of 1, 4-benzenedimethanol

    为了进一步降低煤沥青中PAHs的含量,冯永辉[]以10-十一烯醛为改性剂,硫酸氢钾(KHSO4)为催化剂,降低煤沥青中的PAHs含量。最优反应条件为:添加10-十一烯醛为8%,添加硫酸氢钾为5%,反应温度50 ℃,反应时间4 h,16种毒性PAHs总含量降低率达到91.27%,苯并芘含量降低率达到93.31%。由于环己烷的溶剂效应,使改性剂、催化剂与PAHs之间具有良好的反应体系,很好地解决了反应过程中反应温度过高和催化剂用量过多的问题。

    为了缩短反应时间,提高煤沥青中毒性PAHs的脱除率,王伟[]在冯永辉的研究基础上,优化改进了实验方法,在改性剂和催化剂不变的基础上,采用微波紫外辅助对16种PAHs进行脱除,结果表明:在采用微波紫外辅助下改性的效果比没有微波紫外辅助的效果好;微波功率为200 W,同时用功率250 W、波长365 nm的紫外光照射,反应60~90 min,PAHs的脱除率达到91.59%,反应时间缩短了2.5~3.0 h。且改性后煤沥青释放烟气中16种PAHs的苯并芘等效值(BaPeq)都远小于原煤沥青,但由于结合力相对较弱,在温度达到140 ℃时PAHs仍会释放;但是改性后煤沥青水溶物中PAHs的含量增加,可能是10-十一烯醛增加了水溶性芳烃的含量。

    周常行等[]研究了蒽烷基化反应,考察了以HY分子筛为催化剂,5种烷基化剂对蒽转化率的影响,选出性价比较高的烷基化剂,如图4所示,图中所示10-十一烯醛比1-十六烯烃更容易与蒽发生烷基化反应,然而前者的市场售价远高于后者,故选用1-十六烯烃为试验所用烷基化剂,对6种催化剂进行了筛选,寻找催化性能优良的催化剂,结果如图5所示,图中表明磷钨酸催化效果最好。最后,他们将筛选出的烷基化剂和催化剂以及最佳反应条件应用到煤沥青改性的试验中,结果发现当m (1-十六烯)∶m (环己烷) = 4 ∶1时,煤沥青中16种PAHs含量降低了37.88%,用Wiles当量因子计算煤沥青毒性下降了45.97%;通过红外光谱分析发现,如图6所示:在2980~2700 cm−1处的脂肪氢—CH2—伸缩振动峰和1480~1370 cm−1处的脂肪链上C—H弯曲振动峰变化明显[-],而3050~1600 cm−1处的芳烃C—H和C=C吸收峰强度降低[],煤沥青在改性后有脂肪烃特征峰出现,说明有多烷基取代产物生成。

    图 4 烷基化剂对蒽转化率的影响
    图  4  烷基化剂对蒽转化率的影响
    Figure  4.  Influence of alkylating agent on conversion rate of anthracene
    图 5 催化剂对蒽转化率的影响
    图  5  催化剂对蒽转化率的影响
    Figure  5.  Effect of catalyst on anthracene conversion rate

    4)改性煤沥青环境毒性测试:针对煤沥青改性后的环境毒性测试试验主要包括煤沥青烟气分析和水可溶物分析。煤沥青在施工过程中加热搅拌会释放大量含有毒性PAHs的烟气,对施工人员健康和周围环境造成危害,故本试验用管式加热炉加热煤沥青和改性煤沥青并收集烟气,通过GC-MS分析其中PAHs的含量,并综合GB3095—1996《环保空气质量标准》的相关规定,评价改性后煤沥青对人体和环境的影响。道路沥青在使用过程中,由于雨水(尤其是酸雨)的冲刷产生的水浸出物也会对人体和环境造成危害,故本试验模拟煤沥青和改性煤沥青在酸雨作用下产生的水浸出物,通过GC-MS检测PAHs的含量,并与GB3095—1996《危险废物鉴别标准 浸出毒性鉴别》中标准相比较,评价改性后煤沥青对人体和环境的影响。值得注意的是,烷基化反应后催化剂的残留对煤沥青性能的影响主要在水可溶物中PAHs含量比未改性的沥青增多了,而且杂原子化合物也有所增加,但对沥青烟的排放以及物理性能如软化点等影响不大,所以在后续对煤沥青改性试验中应考虑去除烷基化反应后滞留在改性煤沥青中的酸性催化剂,以降低改性煤沥青水可溶物中PAHs含量[]

    烷基化法改性煤沥青试验结果见表2

    表  2  烷基化法改性煤沥青结果
    Table  2.  Summary of alkylation modified CTP
    烷基化剂催化剂反应温度/℃反应时间/hPAHs降低率/%参考文献
    对苯二甲醇对甲苯磺酸50274.14[]
    10-十一烯醛硫酸氢钾50491.27[]
    10-十一烯醛硫酸氢钾+微 波紫外辅助1~1.591.59[]
    1-十六烯磷钨酸170237.88[]
    石油沥青硫酸氢钾50273.97[]
    石油沥青对甲苯磺酸50270.49[]
    下载: 导出CSV 
    | 显示表格
    图 6 煤沥青改性前后红外光谱
    图  6  煤沥青改性前后红外光谱
    Figure  6.  Infrared spectra of coal tar pitch before and after modification

    我国是世界上最大的焦炭生产和消费国,煤沥青年产量超过600万t,相比于石油沥青的供不应求,煤沥青价格相对低廉,用煤沥青代替部分石油沥青作为筑路沥青不仅能降低筑路行业的建设成本,还能解决我国煤沥青产能过剩的问题,提高煤沥青的附加值。而煤沥青中所含毒性PAHs成为制约煤沥青应用的关键问题,为此提出以下研究热点和发展方向:

    1)现有的煤沥青改性方法以化学交联改性为主,都是通过化学反应改变煤沥青中PAHs结构或使PAHs互相交联形成大分子多环芳烃树脂来降低煤沥青的毒性,所以筛选合适的催化剂成为关键问题,目前烷基化反应的催化剂有L酸和B酸,由于不同研究者在实验中所用的催化剂不同,而催化效果好的催化剂改性煤沥青的效果就越好,所以在筛选催化剂时可将L酸位点和B酸位点结合,考察L酸和B酸在催化过程中分别起到什么作用,或是否具有B/L酸协同催化效果。

    2) EPA优先监控的16种PAHs环数分布为2~6环,众所周知,PAHs的环数越多,电子云密度就越大,所以亲电试剂就越容易进攻环数较大的PAHs,但在实际试验中3环及3环以上的PAHs是否存在传质受阻或空间位阻的问题,导致环数越大的PAHs反应性越差,可通过高斯计算与试验相结合的手段去验证此猜想。

    3)煤沥青相比于石油沥青具有价格低廉的优点,开发价廉的烷基化剂才能保持这一优势;在长链烯烃与煤沥青中PAHs反应时,是否存在烯烃自聚现象,使烷基化率降低,所以可考虑向体系中加入阻聚剂以阻止烷基化剂发生自聚合反应,提高PAHs烷基化率。

    4)在加热过程中产生的沥青烟气也是评价沥青改性好坏中重要的一环,沥青烟是一系列物理现象和复杂化学反应的结果,在施工过程中不同加热温度和搅拌时间产生的烟气成分和毒性各不相同,因此有必要对改性前后沥青烟气的释放规律进行研究,控制沥青路面施工阶段产生的烟气量达到最小。 5)煤沥青作为筑路材料时会受到雨水的侵蚀,PAHs会随着水体进入土壤,对生态系统造成破坏,但针对煤沥青水可溶物的研究却鲜有报道,因此很有必要在实验室中研究煤沥青和改性煤沥青的水可溶物,同时也可评价煤沥青的改性效果。

  • 图  1   石油沥青与煤沥青分子结构差异示意[17]

    Figure  1.   Schematic diagram of molecular structure difference between petroleum pitch and coal tar pitch[17]

    图  2   BaP亲电取代反应机理

    Figure  2.   Mechanism of electrophilic substitution reaction of BaP

    图  3   苯并芘的致癌机理和对苯二甲醇的抑毒机理

    Figure  3.   The carcinogenic mechanism of benzopyrene and the anti-toxic mechanism of 1, 4-benzenedimethanol

    图  4   烷基化剂对蒽转化率的影响

    Figure  4.   Influence of alkylating agent on conversion rate of anthracene

    图  5   催化剂对蒽转化率的影响

    Figure  5.   Effect of catalyst on anthracene conversion rate

    图  6   煤沥青改性前后红外光谱

    Figure  6.   Infrared spectra of coal tar pitch before and after modification

    表  1   煤沥青改性方法概述[7-12]

    Table  1   Overview of CTP modification methods[7-12]

    方法原理缺点改性剂/萃取剂
    聚合物法聚合物裂解出的自由基碎片占据PAHs活性位点,使毒性PAHs失活聚合物改性剂种类多且价格昂贵,降低了煤沥青的性价比聚酯树脂类、热塑性树脂类、橡胶类
    氧化法添加氧化剂来改变煤沥青结构以实现抑毒对煤沥青的结构产生了影响,会使煤沥青提前老化,影响其筑路性能氧气、臭氧、高锰酸钾、二氧化氯等
    紫外线照射法通过紫外光照射使PAHs活化,与煤沥青中其他分子反应,改变沥青结构改性效果不佳且易受外界环境影响紫外光、微波等
    溶剂萃取法将PAHs通过萃取手段分离而达到无毒效果方法技术发展不成熟且工艺设备昂贵甲醇、正己烷、甲苯等
    真空蒸馏法在闪速蒸馏塔中经过短时处理使沥青性能改善的方法设备成本高昂、能耗大、所制得的改性煤沥青路用性能变差
    下载: 导出CSV

    表  2   烷基化法改性煤沥青结果

    Table  2   Summary of alkylation modified CTP

    烷基化剂催化剂反应温度/℃反应时间/hPAHs降低率/%参考文献
    对苯二甲醇对甲苯磺酸50274.14[41]
    10-十一烯醛硫酸氢钾50491.27[43]
    10-十一烯醛硫酸氢钾+微 波紫外辅助1~1.591.59[44]
    1-十六烯磷钨酸170237.88[45]
    石油沥青硫酸氢钾50273.97[49]
    石油沥青对甲苯磺酸50270.49[50]
    下载: 导出CSV
  • [1]

    PEREZ M,GRANDA M,SANTAMARIA R,et al. A thermoanalytical study of the co-pyrolysis of coal-tar pitch and petroleum pitch[J]. Fuel,2004,83(9):1257−1265. doi: 10.1016/j.fuel.2003.11.012

    [2] 赵亚楠. 初探煤沥青及其应用[J]. 炭素,2019,180(3):31−35.

    ZHAO Yanan. Preliminary exploration of coal bitumen and its application[J]. Carbon,2019,180(3):31−35.

    [3] 胡 适,伍 林,秦 悦,等. 煤焦油沥青中多环芳烃的研究进展[J]. 炭素技术,2014,33(3):45−48.

    HU Shi,WU Lin,QIN Yue,et al. Research progress of polyaromatic hydrocarbons in coal tar pitch[J]. Carbon Techniques,2014,33(3):45−48.

    [4]

    MASTRAL A M,CALLEN M S. Review an polycyclic aromatic hydrocarbon emissions from energy generation[J]. Environment Science and Technology,2000,34:3051−3057. doi: 10.1021/es001028d

    [5] 王 伟,冯永辉,申 峻,等. 微波和紫外改性煤沥青脱除毒性多环芳烃[J]. 煤炭科学技术,2021,49(4):237−243.

    Wang Wei,Feng Yonghui,Shen Jun,et al.Microwave and ultraviolet modified coal tar pitch to remove toxic polycyclic aromatic hydrocarbons[J]. Coal Science and Technology,2021,49(4):237−243.

    [6] 杜雄伟,申 峻,王玉高,等. 路用煤沥青改性技术的分析与评述[J]. 现代化工,2019,39(8):16−22. doi: 10.16606/j.cnki.issn0253-4320.2019.08.004

    DU Xiongwei,SHEN Jun,WANG Yugao,et al. Review and evaluation on modification technologies of coal tar-based pitch for road paving[J]. Modern Chemical Industry,2019,39(8):16−22. doi: 10.16606/j.cnki.issn0253-4320.2019.08.004

    [7]

    ZIELINSKI J. The physical chemistry and thermodynamics of semi-colloidal polymer bitumen systems. Part II. Polymers as coal tar pitch modifies[J]. Polimery,1998,43:17−23. doi: 10.14314/polimery.1998.017

    [8]

    ZIELINSKI J,CIESINSKA W,POLACZEK J,et al. Modification of the hemorheological properties of coal tar pitch by adding selected poly-(ethylene terephthalate) process waste product[J]. Polish Journal of Applied Chemistry,2000,44:161−171.

    [9]

    WANG W,LIU G,SHEN J,et al. Reducing polycyclic aromatic hydrocarbons content in coal tar pitch by potassium permanganate oxidation and solvent extraction[J]. Journal of Environmental Chemical Engineering,2015,3(3):1513−1521. doi: 10.1016/j.jece.2015.05.024

    [10]

    PATRICIA A,MARCOS G,JUAN S,et al. Preparation of low toxicity pitches by thermal oxidative condensation of anthracene oil[J]. Environment Science and Technology,2009,43:8126−8132. doi: 10.1021/es901861j

    [11] 李 婷,陈 冰,马 虹. UV-Fenton催化氧化法对采油废水中多环芳烃的处理效果[J]. 环境工程学报,2012,6(10):3475−3480.

    LI Ting,CHEN Bing,MA Hong. Catalytic oxidation of polycyclic aromatic hydrocarbons in oil field wastewater by UV-Fenton[J]. Chinese Journal of Environmental Engineering,2012,6(10):3475−3480.

    [12] 陈 曦. 煤沥青中毒性多环芳烃含量的分析检测[D]. 太原: 太原理工大学, 2016.

    CHEN Xi. Analysis and detection of polycyclic aromatic hydrocarbons in coal tar pitch[D]. Taiyuan: Taiyuan University of Technology, 2016.

    [13] 汪廷贵,张乐涛,蔡国星,等. 一种烷基萘基础油的合成及润滑油[J]. 石油炼制与化工,2003,44(11):96−99.

    WANG Tinggui,ZANG Letao,CAI Guoxing,et al. Study on synthesis of alkyl naphthalene base oils and their lubricating properties[J]. Petroleum Processing and Petrochemicals,2003,44(11):96−99.

    [14] 简 敏. 烷基萘的应用于制备工艺研究[J]. 化工生产与技术,2003,10(2):14−18. doi: 10.3969/j.issn.1006-6829.2003.02.006

    JIAN Min. Study on the preparation process of alkyl naphthalene[J]. Chemical Production and Technology,2003,10(2):14−18. doi: 10.3969/j.issn.1006-6829.2003.02.006

    [15]

    IGARASHI J,LUSZTYK J,INGOLD K U. Autoxidation of alkylnaphthalenes part I: self-inhibition during the autoxidation of 1- and 2-methylnaphthalenes puts a limit on the maximun possible kinetic chain length[J]. Journal of America Chemistry Society,1992,114:7719−7726. doi: 10.1021/ja00046a018

    [16] 李海峰,杨希志. 长链烷基蒽油磺酸盐的合成及界面性能[J]. 精细与专用化学品,2015,23(11):30−33. doi: 10.3969/j.issn.1008-1100.2015.11.009

    LI Haifeng,YANG Xizhi. Synthesis of alkyl anthracene sulfonates and study of its interfacial activity[J]. Fine and Specialty Chemicals,2015,23(11):30−33. doi: 10.3969/j.issn.1008-1100.2015.11.009

    [17] 庞伟伟. 3种煤沥青的微观结构研究[J]. 材料导报:纳米与新材料专辑,2014,28(1):322−324.

    PANG Weiwei. Investigation of microstructure for three kinds of coal-tar pitch[J]. Materials reports:Nano and New Materials Album,2014,28(1):322−324.

    [18] 周常行. 长链烯烃烷基化降低煤沥青中毒性多环芳烃含量的研究[D]. 太原: 太原理工大学, 2018: 38−40.

    ZHOU Changxing. Alkylation of long chain olefins on reducing toxic polycyclic aromatic hydrocarbons content in coal-tar pitch[D]. Taiyuan : Taiyuan University of Technology, 2018: 38−40.

    [19]

    ZIELINSKI J,OSOWIECKA B,LISZYNSKA B,et al. Benzo[a]-pyrene in coal tar pitch: chemical conversion in situ by alkylation[J]. Fuel,1996,75(13):1543−1548. doi: 10.1016/0016-2361(96)00115-9

    [20] 徐 威,张连红,蒋林时,等. 芳烃烷基化催化剂的研究进展[J]. 应用化工,2019,48(10):2485−2489. doi: 10.3969/j.issn.1671-3206.2019.10.048

    XU Wei,ZHANG Lianhong,JIANG linshi,et al. Study progress of catalysts for alkylation reactions of aromatics[J]. Applied Chemical Industry,2019,48(10):2485−2489. doi: 10.3969/j.issn.1671-3206.2019.10.048

    [21]

    ROSENBACH N,MOTA C. Isobutane/2-butene alkylation with zeolite Y without Bronsted acidity[J]. Journal of the Brazilian Chemical Society,2005,16(4):691−694. doi: 10.1590/S0103-50532005000500002

    [22] 赵阳坤. 分子筛催化菲烷基化反应研究[D]. 西安: 西北大学, 2020.

    ZHAO Yangkun. Study on alkylation of phenanthreneover molecular sieve[D]. Xi’ an: Northwest University, 2020.

    [23] 张海山. Et3HNCl-xAlCl3离子液体催化苯与1-十二烯烷基化反应[D]. 大连: 大连海事大学, 2017.

    ZHANG Haishan. Alkylation of Benzene with 1-Dodecene catalyzed by Ionic Liquid: Et3HNCl-xAlCl3[D]. Dalian: Dalian Maritime University, 2017.

    [24] 王知彩,张红玲. SO42-/ZrO2-TiO2固体酸催化剂的制备条件对苯与1-十二烯烷基化反应的影响[J]. 石油化工,2006(5):483−487. doi: 10.3321/j.issn:1000-8144.2006.05.017

    WANG Zhicai,ZHANG Hongling. Preparation of SO42-/ZrO2-TiO2 Catalyst and Its Performance in Alkylation[J]. Petrochemical Technology,2006(5):483−487. doi: 10.3321/j.issn:1000-8144.2006.05.017

    [25]

    WANG Zhicai,SHUI Hengfu,SUN Kang. Catalysis and deactivation of SO42−/ZrO2 solid acid on the alkylation of benzene with 1-dodecene[J]. Kinetics and Catalysis,2009,50(3):435−443. doi: 10.1134/S002315840903015X

    [26] 栾庆洁. 杂多酸类固体酸的合成及在酸催化反应中的应用[D]. 聊城: 聊城大学, 2018.

    LUAN Qingjie. Synthesis and application of solid acid catalysts of heteropoly acid in reaction of acid catalyzed[D]. Liaocheng : Liaocheng University, 2018.

    [27] 王丹君,郑化安,张生军,等. 固体酸催化剂在酯化反应中的研究进展[J]. 山东化工,2016,45(3):41−42, 46. doi: 10.3969/j.issn.1008-021X.2016.03.018

    WANG Danjun,ZHENG Huaan,ZHANG Shengjun,et al. Research progress on esterification catalyzed by solid acids[J]. Shan dong chemical industry,2016,45(3):41−42, 46. doi: 10.3969/j.issn.1008-021X.2016.03.018

    [28] 张海燕,代跃利,蔡 蕾. 杂多酸催化剂催化氧化脱硫研究进展[J]. 化工进展,2013,32(4):809−815.

    ZHANG Haiyan,DAI Yueli,CAI Lei. Research progress of heteropoly acid catalyzed oxidative desulfurization[J]. Chemical Industry and Engineering Progress,2013,32(4):809−815.

    [29] 刘 键,刘恒源,谭 斌,等. 芳烃长链烷基化催化工艺研究进展[J]. 化工进展,2020,39(5):1744−1755. doi: 10.16085/j.issn.1000-6613.2019-1282

    LIU Jina,LIU Hengyuan,TAN Bin,et al. Research progress in long chain catalytic alkylation of aromatic hydrocarbons[J]. Chemical Industry and Engineering Progress,2020,39(5):1744−1755. doi: 10.16085/j.issn.1000-6613.2019-1282

    [30]

    RAMI DOUKEH, DANIELA POPOVICI, ANCUTA TRIFOI, et al. A study on the alkylation of m-cresol with 1-decene over mesoporous silica supported tungstophosphoric acid (HPW)[J]. Reaction Kinetics, Mechanisms and Catalysis, 2020 (prepublish).

    [31] 武 钏. 固载型硅钨杂多酸催化剂的制备及性能的研究[D]. 太原: 山西大学, 2006.

    WU Chuan. Preparation and performance of supported H4SiW12O40 catalysts[D]. Taiyuan: Shanxi University, 2006.

    [32] 宋红兵. 碱性离子液体的合成、表征及其在催化反应中的应用研究[D]. 广州: 华南理工大学, 2012.

    SONG Hongbing. The study of basic Ionic Liquids: synthesis , characterization and application in the catalytic reactions[D]. Guangzhu: South China University of Technology, 2012.

    [33] 王桂茹. 催化剂与催化作用[M]. 大连: 大连理工大学出版社, 2014.

    WANG Guiru. Catalyst and catalysis[M]. Da lian: Dalian University of Technology Press, 2014.

    [34] 沈康文,曾丹林,张 崎,等. 离子液体在催化中的应用研究进展[J]. 材料导报,2016,30(5):57−62.

    SHEN Kangwen,ZENG Danlin,ZHANG Qi,et al. The applications of ionic liquids in catalytic processes[J]. Materials Reports,2016,30(5):57−62.

    [35]

    CHEN Min,LUO Ying,LI Guofang,et al. Alkylation of anthracene to 2-isopropylanthracene catalyzed by Lewis acid ionic liquids[J]. Korean Journal of Chemical Engineering,2009,26:1563−1567.

    [36]

    BORONOEV M P, GUOJUN M A, TALANOVA M, et al. Erratum to: alkylation of aromatic compounds in the presence of catalysts based on mesoporous phenol–formaldehyde polymers[J]. Petroleum Chemistry, 2020, 60: 1329.

    [37] 张秋民,黄大军,赵树昌. 用聚合物试剂减少煤沥青中3, 4-苯并芘的研究[J]. 煤化工,2007,128(1):58−60. doi: 10.3969/j.issn.1005-9598.2007.01.017

    ZHANG Qiumin,HUANG Dajun,ZHAO Shuchang. Decr ease of Benzo [a] pyrene in coal tar pitch by polymer[J]. Coal ChemicalIndustry,2007,128(1):58−60. doi: 10.3969/j.issn.1005-9598.2007.01.017

    [38] 薛永兵,何 敏,高成云,等. 化学法改性煤沥青脱除苯并芘的研究[J]. 燃料化学学报,2019,47(6):668−674. doi: 10.3969/j.issn.0253-2409.2019.06.004

    XUE Yongbing,HE Min,GAO Chengyun,et al. Removal of benzopyrene from coal tar asphalt by chemical method[J]. Journal of Fuel Chemistry and Technology,2019,47(6):668−674. doi: 10.3969/j.issn.0253-2409.2019.06.004

    [39] 代金波,刘 刚,申 峻,等. 煤沥青中16种多环芳烃烷基化反应的量子化学研究[J]. 太原理工大学学报,2017,48(4):530−538. doi: 10.16355/j.cnki.issn1007-9432tyut.2017.04.004

    DAI Jinbo,LIU Gang,SHEN Jun,et al. Quantum chemistry study on alkylation reaction of 16 polycyclic aromatic hydrocarbons in coal tar pitch[J]. Journal of Taiyuan University of Technology,2017,48(4):530−538. doi: 10.16355/j.cnki.issn1007-9432tyut.2017.04.004

    [40] 张蔺峰. 化学交联改性降低煤沥青中毒性多环芳烃含量的研究[D]. 太原: 太原理工大学, 2016.

    ZHANG Linfeng. Modifying coal tar pitch through chemical cross-linking method to reduce toxic PAHs content[D]. Taiyuan: Taiyuan University of Technology, 2016.

    [41] 冯永辉,张蔺峰,刘 刚,等. 对苯二甲醇改性煤沥青降低毒性多环芳烃含量[J]. 太原理工大学学报,2018,49(1):48−54. doi: 10.16355/j.cnki.issn1007-9432tyut.2018.01.008

    FENG Yonghui,ZHANG Linfeng,LIU Gang,et al. Study on reducing toxic pahs content in coal tar pitch by 1, 4-benzenedimethanol modification[J]. Journal of Taiyuan University of Technology,2018,49(1):48−54. doi: 10.16355/j.cnki.issn1007-9432tyut.2018.01.008

    [42]

    VIJAYALAKSHMI K P,SURESH C H. Theoretical studies on the carcinogenic activity of polycyclic aromatic hydrocarbons[J]. Organic & Biomolecular Chemistry,2008,6(23):4384−4390.

    [43] 冯永辉. 10-十一烯醛改性煤沥青降低毒性多环芳烃含量的研究[D]. 太原: 太原理工大学, 2017.

    FENG Yonghui. Study on modification of coal tar pitch by 10-Undecenal to reduce toxic polycyclic aromatic hydrocarbons content[D]. Taiyuan : Taiyuan University of Technology, 2017.

    [44] 王 伟. 微波紫外辅助10-十一烯醛改性煤沥青脱除毒性多环芳烃的研究[D]. 太原: 太原理工大学, 2019.

    WANG Wei. Modifying coal tar pitch by 10-undecenal assisted by microwave and/or ultraviolet light to decrease the toxic polycyclic aromatic hydrocarbons content[D]. Taiyuan: Taiyuan University of Technology, 2019.

    [45] 周常行,刘 刚,王玉高,等. 1-十六烯烷基化降低煤沥青中毒性多环芳烃含量的研究[J]. 煤炭转化,2018,41(4):67−72. doi: 10.3969/j.issn.1004-4248.2018.04.011

    ZHOU Changxing,LIU Gang,WANG Yugao,et al. Alkylation of 1-hexadecene on reducing toxic polycyclic aromatic hydrocarbons content in coal-tar pitch[J]. Coal Conversion,2018,41(4):67−72. doi: 10.3969/j.issn.1004-4248.2018.04.011

    [46]

    GARGIULO U,APICELLA B,ALFE M,et al. structural Characterization of large Polycyclic Aromatic Hydrocarbons (Part 1): The Case of Coal Tar Pitch and Naphthalene-derived pitch[J]. Energy and Fuels,2015,29(9):5714−5722. doi: 10.1021/acs.energyfuels.5b01327

    [47]

    GARGIULO U,APICELLA B,STANZIONE F,et al. structural. Characterization of large Polycyclic Aromatic Hydrocarbons (Part 2): Solvent-separated Fractions of Coal Tar Pitch and Naphthalene-derived pitch[J]. Energy and Fuels,2016,30(4):2574−2583. doi: 10.1021/acs.energyfuels.5b02576

    [48]

    WANG Xionglei,SHEN Jun,NIU Yanxia,et al. Solvent extracting coal gasification tar residue and the extracts characterization[J]. Journal of Cleaner Production,2016,133:965−970. doi: 10.1016/j.jclepro.2016.06.060

    [49] 曹嘉慧,申 峻,王玉高,等. 石油沥青与煤焦油沥青混溶反应前后可析出多环芳烃含量的变化[J]. 石油化工,2019,48(7):702−708. doi: 10.3969/j.issn.1000-8144.2019.07.008

    CAO Jiahui,SHEN Jun,WANG Yugao,et al. Changes in leachable content of polycyclic aromatic hydrocarbons before and after mixing petroleum pitch with coal tar pitch[J]. Petrochemical Industry,2019,48(7):702−708. doi: 10.3969/j.issn.1000-8144.2019.07.008

    [50] 曹嘉慧. 石油沥青与煤沥青混溶过程多环芳烃含量变化的研究[D]. 太原: 太原理工大学, 2019.

    CAO Jiahui. Research on the content change of polycyclic aromatic hydrocarbons during the mixing process of petroleum pitch and coal tar pitch[D]. Taiyuan: Taiyuan University of Technology, 2019.

  • 期刊类型引用(1)

    1. 张晓欠,黄勇,兰伟伟,康徐伟,陈林. 萃取剂对油煤共炼残渣中多环芳烃富集的影响. 煤化工. 2025(02): 12-15 . 百度学术

    其他类型引用(1)

图(8)  /  表(2)
计量
  • 文章访问数:  127
  • HTML全文浏览量:  20
  • PDF下载量:  25
  • 被引次数: 2
出版历程
  • 收稿日期:  2021-06-30
  • 网络出版日期:  2023-04-26
  • 刊出日期:  2023-03-14

目录

XU Qingbai

  1. On this Site
  2. On Google Scholar
  3. On PubMed

/

返回文章
返回