Abstract:
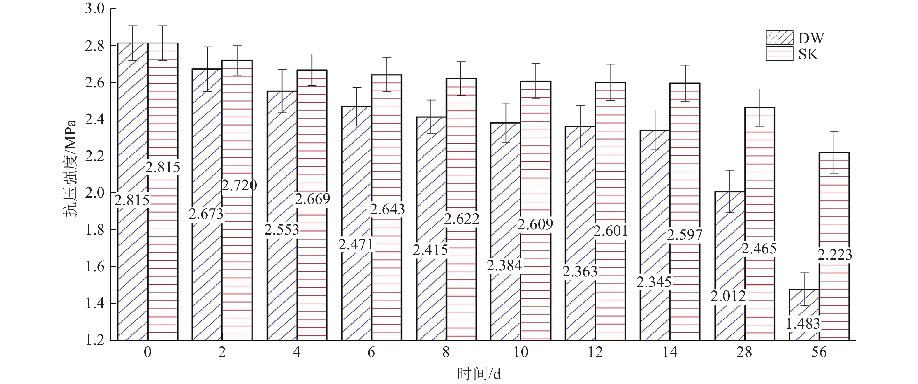
The utilization of coal-based solid waste functional materials underground is a key technological pathway to achieving green coal mining and promoting the sustainable development of the coal industry. Based on a summary of the current status of coal-based solid waste disposal and utilization, this paper follows a function-oriented classification method to divide coal-based solid waste functional materials into six major categories: mine construction type, heat extraction type, water purification type, energy storage type, negative carbon type, and load-bearing type. The paper systematically introduces the classification and properties of coal-based solid waste functional materials, deeply explores the mechanisms and methods for regulating the properties of these materials, and comprehensively looks forward to the development directions of coal-based solid waste functional materials. The research findings indicate that: through activation modification, fiber reinforcement, and gradation optimization, the mechanical properties and environmental adaptability of construction-type functional materials can be significantly enhanced; the thermal conductivity, specific heat capacity, and heat storage coefficient of heat extraction-type functional materials are 1.75, 2.12, and 1.72 times that of traditional materials, respectively, with the most significant influencing factor being the shaped phase-change materials; water purification-type functional materials effectively remove heavy metal ions from mine water through multiple reactions, including physical adsorption, ion exchange, surface complexation adsorption, and chemical precipitation; after electrical modification, energy storage-type functional materials can regulate their surface electronic structure and chemical properties, thereby improving the electrical conductivity, energy storage density, and cyclic stability of the materials; the internal mineralization and hydration products of negative carbon-type functional materials can strengthen their pore structure and further achieve long-term CO
2 sequestration; load-bearing functional materials, as the fundamental materials for controlling the stability of rock layers and goaf areas, are often enhanced in terms of self-stability, mechanical properties, and conveying performance through particle size gradation, composite optimization, and mechanical activation. In summary, significant progress has been made in the composition, preparation methods, and property regulation of coal-based solid waste functional materials, and a theoretical system for coal-based solid waste functional materials has been basically established. Future research will focus on new methods for regulating material properties, new preparation technologies, and new application scenarios. The current research status and development trends comprehensively demonstrate that coal-based solid waste functional materials can not only effectively improve the resource utilization efficiency of coal-based solid waste but also achieve large-scale disposal and value-added utilization of coal-based solid waste.