高级检索

煤气化渣免烧陶粒滤料强度和孔结构的调控

Regulation on strength and pore structure of non-sintered ceramsite filter material derived from coal gasification slag

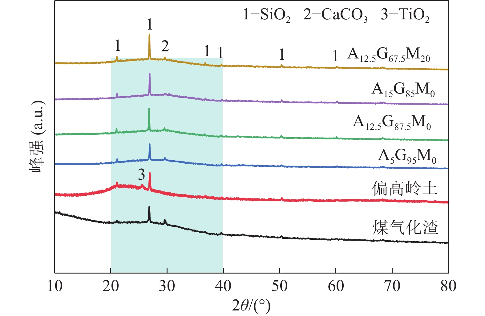
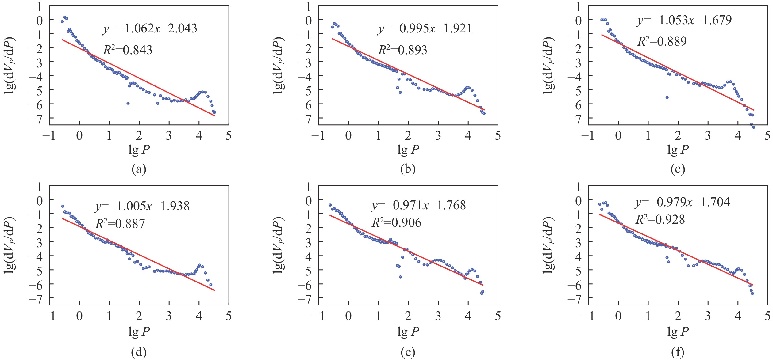
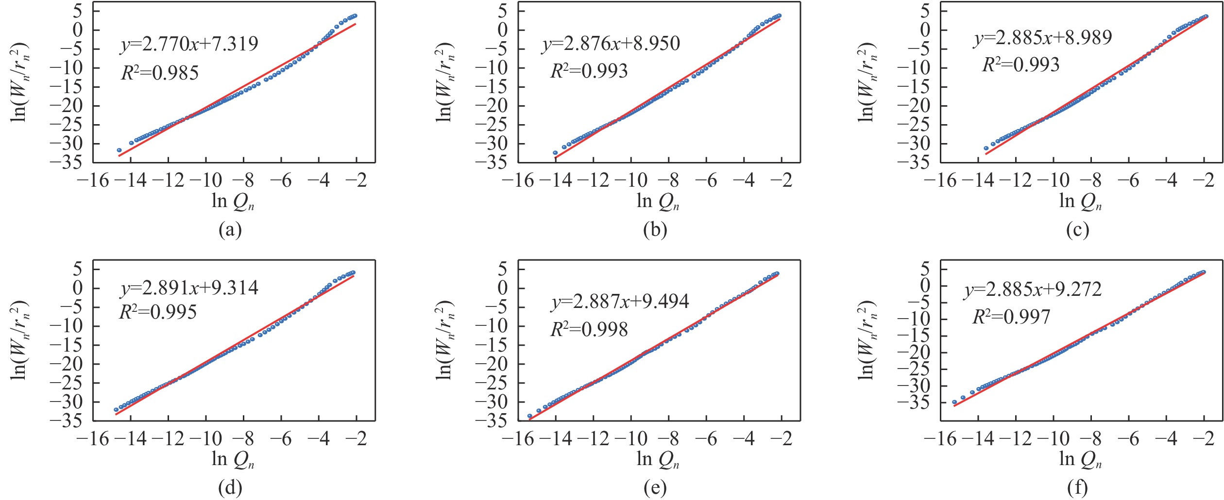
  • 摘要: 煤气化渣是制备免烧陶粒滤料的优质原材料,而强度和孔结构是决定免烧陶粒过滤性能的关键因素,因此必须明确免烧陶粒强度和孔结构之间的关系。通过优化煤气化渣、偏高岭土和固体碱激发剂等原料配比,制备了筒压强度为25.72 MPa、堆积密度为1 160 kg/m3的煤气化渣免烧陶粒滤料,综合运用X射线衍射、扫描电子显微镜和固体核磁共振硅谱等表征方法,研究了免烧陶粒滤料的强度形成机理,发现免烧陶粒的主要强度来源为水化硅铝酸钠/钙(N/C-A-S-H)凝胶,偏高岭土的加入使N/C-A-S-H凝胶中的Q4(2Al)聚体含量40.34%提升至56.05%,这使得硅铝酸盐网络交联程度更高,因此N/C-A-S-H凝胶结构更加致密,促进了免烧陶粒力学性能的提升。采用过氧化氢和十六烷基三甲基溴化铵作为造孔剂,结合压汞法测试分析,研究了造孔剂配比对免烧陶粒滤料孔隙率、强度和密度的影响。结果表明:免烧陶粒孔隙率21.33%可最高增长至50.60%,相应筒压强度和堆积密度降低至8.86 MPa和816 kg/m3。进一步采用Menger海绵和热力学分形理论分析了免烧陶粒滤料的孔结构特征,发现基于热力学关系的分形模型计算所得的分形维数与免烧陶粒滤料强度的线性相关性更高,所得分形维数范围为2.770~2.891,说明煤气化渣免烧陶粒的孔隙结构不仅受几何分形的影响还受到热力学机制的影响,且煤气化渣免烧陶粒的筒压强度均随着分形维数的增加而下降。

     

    Abstract: Gasified coal slag serves as a high-quality raw material for preparing non-sintered ceramsite filter media, where mechanical strength and pore structure are critical determinants of filtration performance. Therefore, it is imperative to elucidate the relationship between strength and pore structure in non-sintered ceramsite. By optimizing the formulation of gasified coal slag, metakaolin, and solid alkali activators to develop a non-sintered ceramsite filter material exhibiting a cylinder compressive strength of 25.72 MPa and a bulk density of 1160 kg/m3. Through comprehensive characterization techniques including X-ray diffraction (XRD), scanning electron microscopy (SEM), and solid-state nuclear magnetic resonance silicon spectroscopy (29Si NMR), the strength formation mechanism was investigated. Results revealed that sodium/calcium aluminosilicate hydrate (N/C-A-S-H) gel constitutes the primary strength-contributing phase. The incorporation of metakaolin elevated the Q4(2Al) polymer content in N/C-A-S-H gel from 40.34% to 56.05%, thereby enhancing the crosslinking degree of the aluminosilicate network and densifying the gel structure, which ultimately improved the mechanical properties. Pore-forming agents (hydrogen peroxide and cetyltrimethylammonium bromide) were employed to modulate porosity, combined with mercury intrusion porosimetry, the effect of pore forming agent ratio on the porosity, strength, and density of ceramsite was investigated. It was demonstrated that the porosity could increase from 21.33% to a maximum of 50.60%, accompanied by reductions in cylinder compressive strength (8.86 MPa) and bulk density (816 kg/m3). Further analysis of the pore structure characteristics of non-sintered ceramsite was conducted using Menger sponge and thermodynamic fractal models. It was found that the fractal dimension calculated based on the thermodynamic fractal model had a higher linear correlation with the strength of ceramsite, with fractal dimension values ranging from 2.770 to 2.891. This indicates that pore structure evolution in gasified coal slag-based ceramsite is governed by both geometric configuration and thermodynamic mechanisms, with compressive strength inversely proportional to fractal dimension.

     

/

返回文章
返回