高级检索

煤矸石基功能胶结体承载过程中电磁涡流感应特性

Induced eddy currents characteristics of coal gangue-based functional concrete in compression process

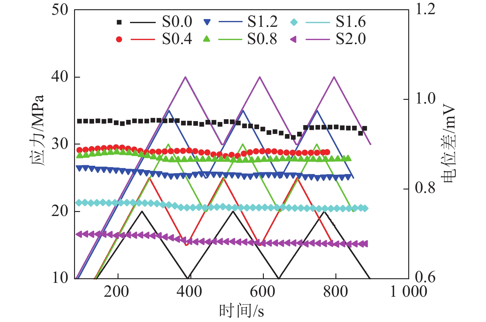
  • 摘要: 煤矸石基胶结体在地下空间中应用广泛,但受制于地下工程环境复杂、空间有限等条件,尚缺乏对其承载状态健康监测的有效手段。通过在煤矸石基胶结体中添加导电材料,提高胶结体电敏感性,并采用电磁涡流手段监测胶结体在受力状态下电学参数变化,进而推算得到胶结体的受力状态,可以克服埋入式传感器安装维护难度大的问题。设计了基于STM32处理器的电磁涡流试验平台,制备了含有钢纤维的煤矸石基功能胶结体试件,开展了力学和电磁涡流感应试验,分析了单轴、循环2种受压载荷下不同钢纤维掺量试件的电磁涡流感应信号变化特征。结果表明:电磁涡流感应信号与应力应变的阶段性变化具有较强的一致性。在单轴压缩载荷下,试件的电阻变化分数(FCR)变化可分为初始恒定阶段、快速下降阶段、缓慢下降阶段3个阶段,分别与应力—应变曲线中压密阶段、弹性阶段和峰后阶段相对应;循环压缩载荷下,钢纤维为0.8%和1.2%的试件内部呈现“钢纤维接触—导电通路增多-钢纤维分离—导电通路减少”的循环变化,电压差信号与应力值变化较为一致,继续提高钢纤维掺量无法进一步提高试件电压差对循环载荷的敏感度;随着钢纤维掺量由0.4%提高至2.0%,试件对外部载荷的敏感性呈现先增长后降低的趋势,电磁涡流感应信号的线性误差线性减小;当钢纤维掺量为0.8%时,试件在单轴、循环载荷下应力、应变敏感系数最高,感知能力最强。

     

    Abstract: Coal gangue-based cemented structures (CGCS) have been widely used in underground engineering. Due to the complex environment and limited space, there is still no effective method to monitor structural health in under-ground engineering. Adding conductive additives in coal gangue-based cemented materials, its conductive proper-ties can be enhanced. The changes of electrical parameters during loading can be detected by eddy current testing method, and then the stress state of CGCS can be calculated. This method can overcome the drawbacks about installation and maintenance induced by embedded sensor. The eddy current testing platform based on STM32 microcontroller was designed, .and the CGCS specimens containing steel fibers were prepared. The mechanical and eddy current inducting tests were conducted, and the signal changes of specimens with different steel fiber content during uniaxial compress, cyclic loading were analyzed. The results show that the change in stages of eddy current induction signal has a strong consistency with that of stress-strain curves. The fractional changes in resistivity (FCR) of specimens under uniaxial compressive loading can be divided into 3 stages, including initial constancy, rapid decline, and then slow decline. These 3 stages correspond to the compaction, elastic and after-peak stages in stress-strain curves. In cyclic loading test, the voltage difference changes of specimens with 0.8% and 1.2% steel fiber contents were consistent to the cyclic compressive loading, and the cyclic changes of “steel fibers contact – increase of conductive paths – steel fibers separation – decrease of conductive paths” were shown. Higher steel fibers content cannot further improve the sensitivity of the voltage difference to cyclic loading. With the SF content of specimens in-creasing from 0.4% to 2.0%, the gauge factor increases first and then decreases, and the linearity of eddy current induction signal decreases linearly. The CGCS specimens with 0.8% SF content have highest gangue factor during uniaxial and cyclic compressive loading test.

     

/

返回文章
返回