高级检索

煤基固废泡沫充填材料性能及空巷群围岩控制

Performance of coal based solid waste foam filling material and control of surrounding rock of abandoned roadways

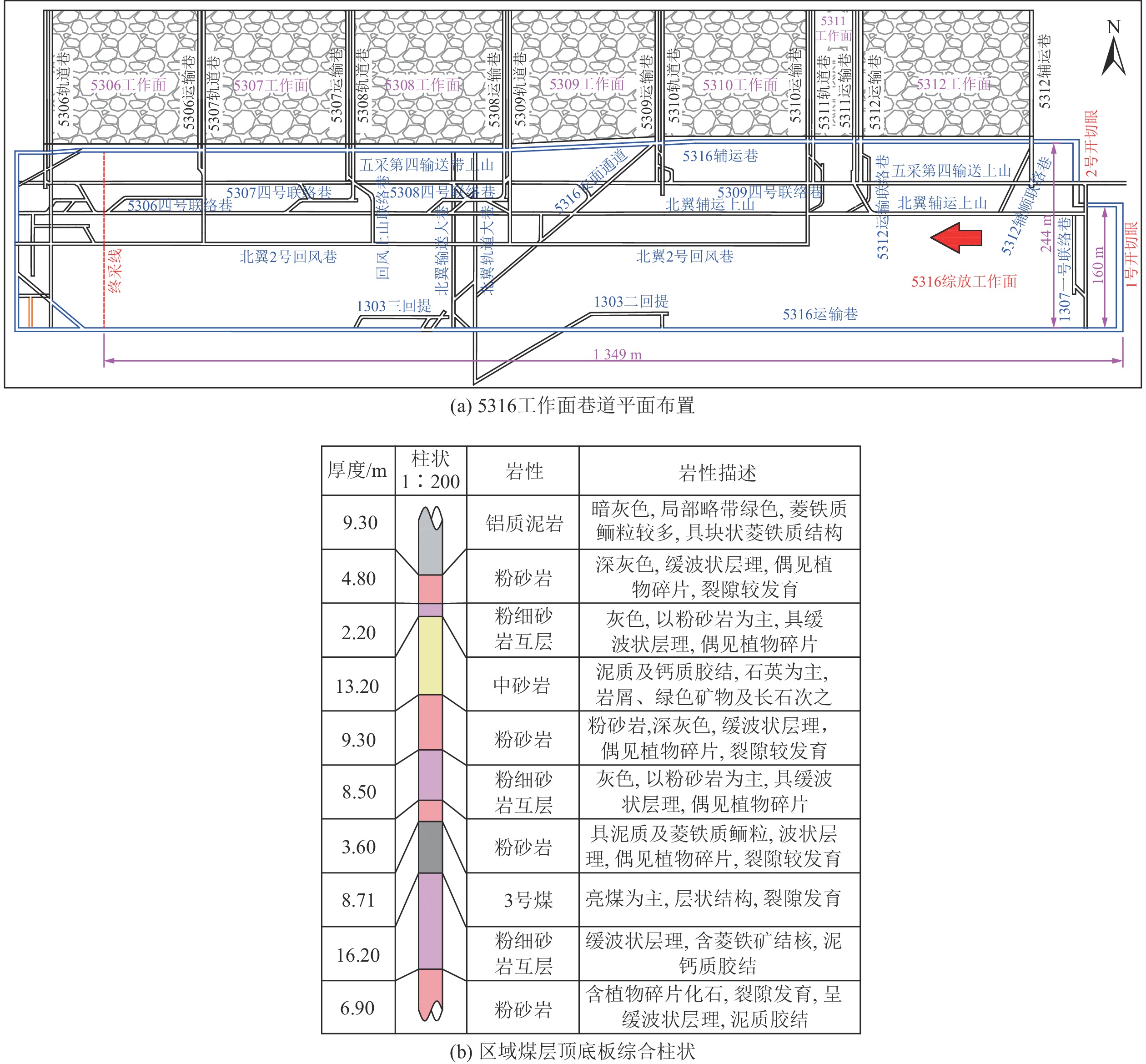
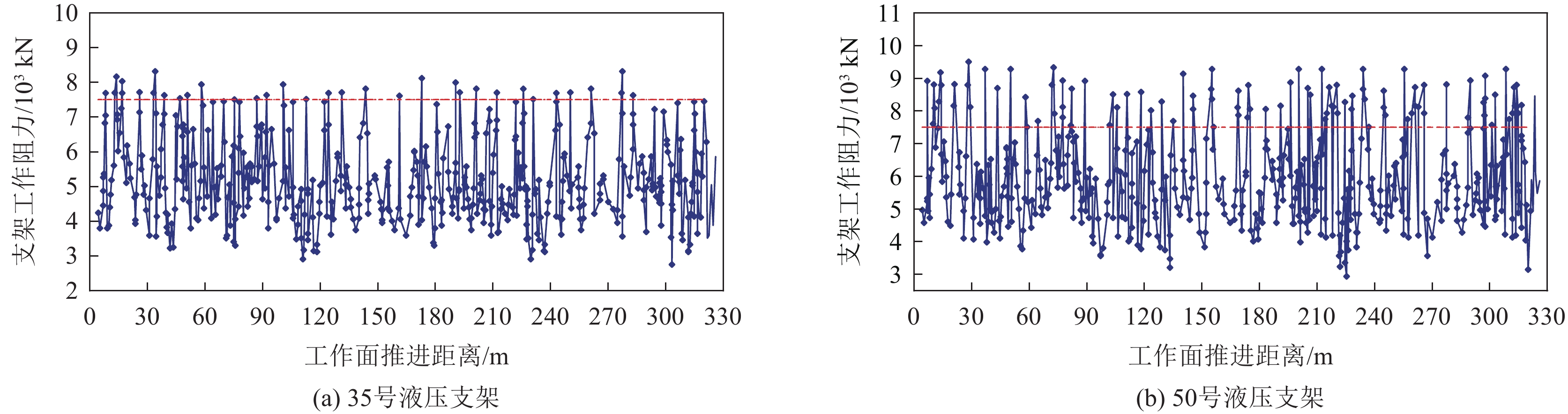
  • 摘要: 工作面过空巷是煤矿井下生产过程中普遍面临的工程问题,空巷地质条件赋存复杂且密集时,易导致围岩失稳、支架空顶作业、支架漏底等问题,影响工作面安全高效生产。以鲍店煤矿5316综放工作面过空巷群为研究背景,采用理论分析、实验室测试、物理相似模拟及现场实测等方法,研究了水泥泡沫材料、粉煤灰泡沫材料及矸石泡沫材料性能及优势配比,工作面过空巷群围岩变形规律及控制效果。结果表明:发泡剂稀释倍数20倍、水灰质量比0.5、稳泡剂掺量为1%、发泡剂掺量1.0%、石膏掺量7%时,水泥泡沫充填材料28 d试样强度可达1.72 MPa;矸石粒径0~0.3 mm、掺量30%时,矸石泡沫充填材料28 d试样强度可达1.53 MPa;粉煤灰掺量30%时,粉煤灰泡沫充填材料28 d试样强度可达1.13 MPa。提出了以煤基固废泡沫材料充填、补强锚索与U型钢梁加强支护为主的空巷群围岩控制技术方法,并给出了煤基固废泡沫材料空巷充填技术原理及加强支护主要参数设计,通过物理相似模拟试验研究了不同层位空巷群围岩应力峰值变化范围为16.9~26.5 MPa,应力集中系数变化范围为1.61~2.53,同层空巷顶板最大下沉值介于300~400 mm,下伏空巷顶板最大下沉值介于200~300 mm,且空巷交叉处易产生应力集中,变形量较大。工作面开采期间空巷群围岩表面位移、煤岩体(充填体)应力、顶板离层及锚杆(索)载荷、支架工作阻力等现场监测数据显示,整体空巷围岩变形量控制效果较好,实现了工作面安全高效生产。

     

    Abstract: A working face passing through an abandoned roadway is a common engineering problem in the underground production process of coal mines. When the geological conditions of abandoned roadways are complex and dense, they can easily lead to instability of the surrounding rock, empty top operation of supports, and bottom leakage of supports, which affect the safe and efficient production of the working face. Taking the 5316 fully mechanized top coal caving working face of the Baodian Coal Mine as the research background, the coal based solid waste foam filling material, performance and superior ratio, surrounding rock deformation law, and control effect of the working face through the abandoned roadway group were studied by means of theoretical analysis, laboratory testing, physical simulation and field measurements. The test results show that when the dilution ratio of foaming agent is 20 times, the water cement ratio is 0.5, the content of foam stabilizer is 1%, the content of foaming agent is 1.0%, and the content of gypsum is 7%, the 28 day strength of cement foam filling material sample can reach 1.72 MPa; When the particle size of gangue is 0−0.3 mm and the content is 30%, the strength of gangue foam filling material sample can reach 1.53 MPa after 28 days; When the content of fly ash is 30%, the sample strength of fly ash foam filling material can reach 1.13 MPa after 28 days. The technical method of surrounding rock control of abandoned roadway group is proposed, which is mainly filled with coal based solid waste foam material, reinforced anchor cable and U-shaped steel beam to strengthen support, and the principle of abandoned roadway filling technology with coal based solid waste foam material and the design of main parameters for strengthening support are given. Through physical similar simulation tests, the variation range of the peak stress of surrounding rock of abandoned roadway group in different layers is 16.9−26.5 MPa, the variation range of the stress concentration coefficient is 1.61−2.53, the maximum subsidence value of the roof of abandoned roadway in the same layer is between 300−400 mm, and the maximum subsidence value of the roof of the underlying abandoned roadway is between 200−300 mm, and the intersection of abandoned roadway is prone to stress concentration, with large deformation. During the mining period of the working face, on-site monitoring data such as surface displacement of the surrounding rock of the abandoned roadway group, stress of the coal rock mass (filling body), roof separation and anchor rod (cable) load, and support working resistance show that the overall deformation control effect of the abandoned roadway surrounding rock is good, achieving safe and efficient production of the working face.

     

/

返回文章
返回