高级检索

近距离煤层群多分支水平井井孔对接控压抽采技术

Multi-branch horizontal well hole docking pressure control extraction technology for close distance coal seam group

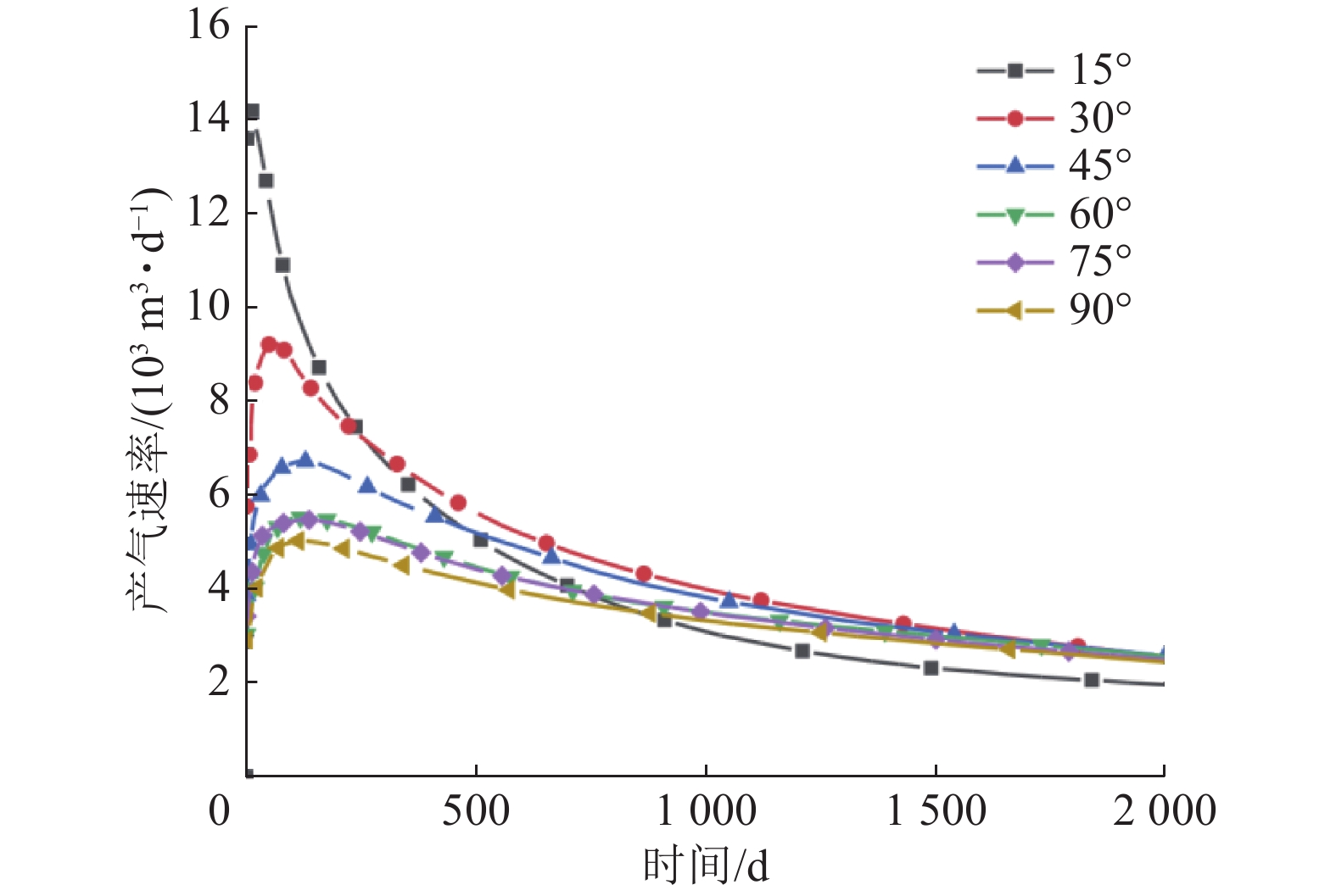
  • 摘要: 为解决近距离煤层群准备区地面井抽采时间长、井下钻孔难以衔接导致矿井抽‒掘‒采整体失衡、产能受限的问题,以山西吕梁沙曲井田为例,通过理论分析、数据统计得出井田地质构造、水动力条件对煤层气成藏的影响,煤层气储层特征及含气性分布。基于不同条件下多分支水平井抽采效果数值模拟分析确定了分支形态、长度、间距、数量及角度的合理参数;建立了多分支水平井与井下钻孔对接的三维数学模型,给出二者相对距离及角度的解析解,并根据钻井测斜、综合录井保障井身轨迹控制和精准钻进,结合井下深孔固孔工艺及装置,确立了井孔高效对接的整套流程,进而提出先正压后负压的控压抽采工艺,且研发了孔口高压缓冲罐、多级气渣分离罐成套装置,并阐明其关键参数及工作原理。同时,构建了该技术应用转化效果的综合评价函数,确立由准备区转向生产区过程的安全、效益及转化三维动态评价指标及临界值。研究结果表明:①确定羽状、混合型分支井分别适用于准备区和生产区,分支长度300~400 m,分支数量为4~8个、分支与主支夹角30°为宜;对接抽采前期正压为0.5 MPa,后期抽采负压为20 kPa;②五采区试验区内井孔对接抽采的单井日产量达到1.3万m3/d,是常规井的3.3倍;区内安全指标均降至临界值以下,3+4号与5号煤层同步消突;吨煤钻孔量较原来降低55%,准备区πz和生产区转化率πs分别为93%、90%,整体转化率为83.7%,煤层气产能提高了465万m3/a,解放优质煤量50万t。

     

    Abstract: In order to solve the problems of long extraction time of surface wells in the preparation area of close distance coal seam group and difficult connection of underground boreholes, which lead to the overall imbalance of mine extraction-excavation-mining and limited production capacity. Taking Shaqu well field in Lyuliang city, Shanxi province as an example, through theoretical analysis and data statistics, the geological structure of coalbed methane accumulation in the well field, the influence of hydrodynamic conditions, coalbed methane reservoir characteristics and gas-bearing distribution are obtained. Based on the numerical simulation analysis of the extraction effect of multi-branch horizontal wells under different conditions, the reasonable parameters of branch shape, length, spacing, number and angle are determined. A three-dimensional mathematical model for the docking of multi-branch horizontal wells and downhole boreholes was established, and the analytical solutions of the relative distance and angle between the two were given. According to the drilling inclinometer, comprehensive mud logging to ensure wellbore trajectory control and precise drilling, combined with the downhole deep hole cementing process and device, the whole process of efficient docking of boreholes was established, and then the pressure-controlled extraction process of positive pressure first and negative pressure second was proposed. The complete set of device for high-pressure buffer tank and multi-stage gas-slag separation tank was developed, and its key parameters and working principle were clarified. At the same time, the comprehensive evaluation function of the application and transformation effect of the technology is constructed, and the three-dimensional dynamic evaluation index and critical value of safety, benefit and transformation from the preparation area to the production area are established. The results show that: ①It is determined that the mixed pinnate and mixed branch wells are suitable for the preparation area and the production area respectively, the branch length is 300~400 m, the number of branches is 4~8, and the angle between the branch and the main branch is 30°. The positive pressure in the early stage of docking extraction is 0.5 MPa, and the negative pressure in the later stage is 20 kPa; ②The daily output of single well in the test area of the fifth mining area reached 13 000 m3/d, which was 3.3 times that of conventional wells. The safety indexes in the area are reduced to below the critical value, and the No. 3+4 and No.5 coal seams are synchronously eliminated. The drilling volume per ton of coal was reduced by 55 % compared with the original, the πz in the preparation area and the conversion rate πs in the production area were 93% and 90%, respectively. The overall conversion rate was 83.7%, the production capacity of coalbed methane is increased by 4.65 million m3/a, and 0.5 million tons of high-quality coal are liberated simultaneously.

     

/

返回文章
返回