高级检索

深部煤层气超临界状态下赋存特征及分配规律

Characteristics of occurrence and distribution rule of deep coalbed methane in supercritical state

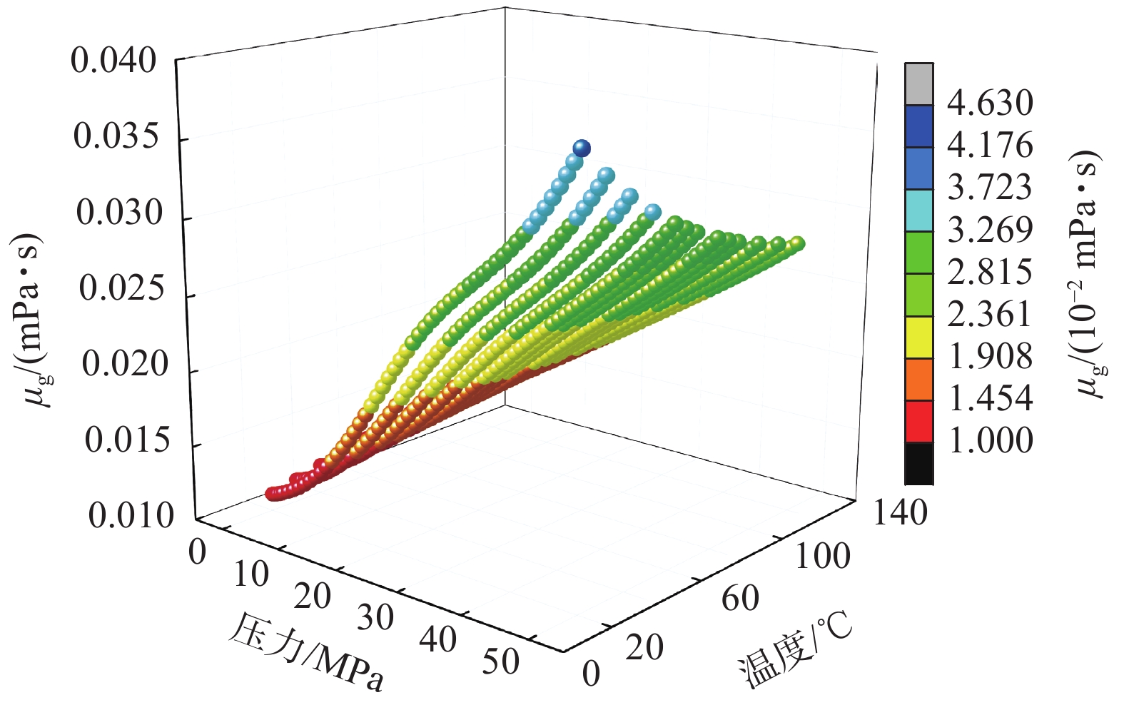
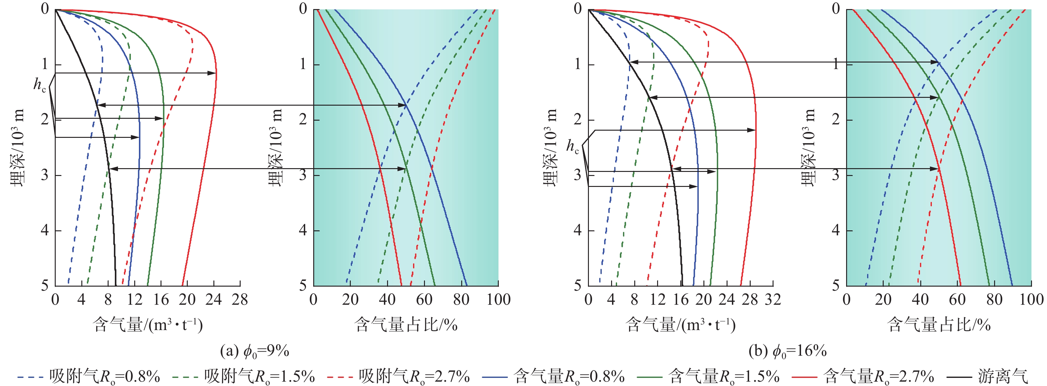
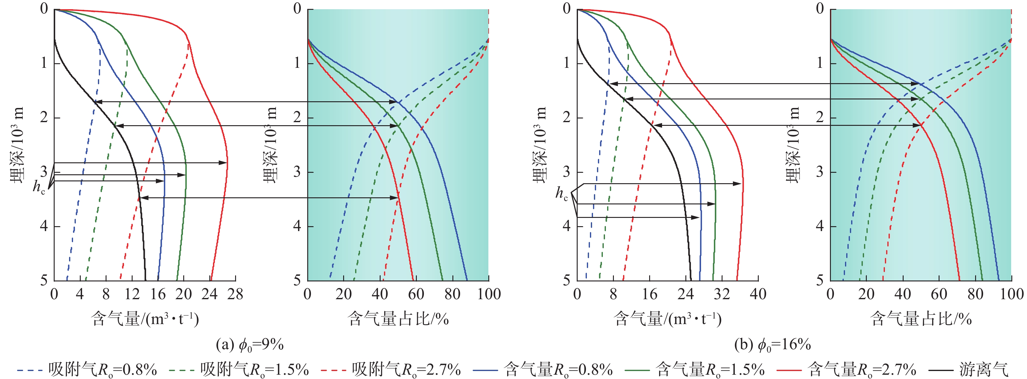
  • 摘要: 深部煤层气成为天然气增储上产的重要方向,但其吸附气、游离气原始赋存状态不清、不同条件下的赋存态分配规律不明,制约了深部煤层气储量准确评估和产出规律认识。随着埋深增加,温度和压力不断升高,甲烷进入超临界相态,其流体密度将不断增重、黏度与气态相近,表明当前现有认识低估了游离气的资源量和流体易于产出的流动能力。在深层高温高压下,甲烷超临界流体特征更为显著,不能被忽视。现在基于储层压力的含气量计算方法,未考虑煤层微孔内流体压力要高于储层压力,即“微孔超压”环境的存在,故实际含气量被低估。针对国内深部煤层埋深最深至5000 m、煤阶0.8%~3.0%范围内,基于甲烷物性随压力、温度变化规律和微孔超压理论,研究建立了考虑微孔超压和甲烷超临界流体特征的深部煤层气游离气、吸附气含量计算模型。研究表明:① 深层高温高压下,甲烷黏度、密度、压缩因子、体积系数等高压物性参数变化并非随温度、压力线性变化,基于高压物性参数与温度和压力关系,建立了各参数经验计算式,并结合分子模拟等手段,分析了深层与浅层相应参数差异;② 揭示了深部煤层气吸附气、游离气赋存状态在不同热演化程度、不同埋深、不同温压条件下的分配规律,相同深度下,随着煤阶的增加,吸附气含量越高、游离气含量越低,且游离气占比不断减小;相同热演化程度下,随着煤层深度增加,煤的吸附气含量呈现先增加后降低趋势,游离气占比逐渐增加;③ 考虑甲烷超临界流体性质对吸附作用的影响,相比忽略该特征的同等情况下,实际吸附气含量并没有现有认识那么高,吸附气占比降低6%~9%;④ 针对是否考虑Langmuir修正和含水饱和度随埋深变化等情况,建立4种模型方法,明确了不同煤阶、不同孔隙率和含水饱和度下临界转折深度、吸附气/游离气变化规律及图版;⑤ 基于“微孔超压、宏孔常压”新认识,建立了考虑“微孔超压+超临界状态”的游离气、吸附气含量计算方法,计算埋深2 000 m时高阶煤(镜质体反射率Ro=2.7)游离气占比保守可达41%,比现有认识增大了约20%,相比传统方法只考虑储层压力的计算结果更符合生产实际。研究成果可为揭示深部煤层气赋存态分配规律和储量评估等,提供科学理论依据。

     

    Abstract: Deep Coalbed methane(CBM) has become an important direction for gas storage and production, but its original occurrence state of adsorbed gas and free gas and distribution law under different geological conditions are unclear, which restricts the accurate estimation of deep CBM reserves and the understanding of production law. With the increase of burial depth, temperature and pressure, methane enters the supercritical phase, its fluid density will continue to increase, and its viscosity is similar to that of the gas phase, indicating that the current understanding has underestimated the amount of free gas resources and the flow ability of fluid easy to produce. Under high temperature and high pressure in deep coal seams, the “supercritical fluid characteristics” of methane are more significant and cannot be ignored. The current gas content calculation method based on reservoir pressure does not take into account the fact that the fluid pressure inside the coal seam micropores is higher than the reservoir pressure, that is, the existence of a “overpressure in micropores” environment, so the actual gas content is underestimated. A calculation model for the content of free gas and adsorbed gas in deep coalbed methane considering the characteristics of overpressure in micropores and methane supercritical fluid was established based on the variation of methane physical properties with pressure and temperature, as well as the theory of overpressure in micropores, targeting the deepest coal seam burial depth in China up to 5000 m and coal rank range of 0.8% to 3.0%. The results show that: ① Under high temperature and high pressure, methane viscosity, density, compression factor, volume coefficient and other high pressure physical property parameters do not change linearly with temperature and pressure. Based on the quantitative relationship between high pressure physical property parameters and temperature and pressure, empirical calculation formulas for each parameter are established. ② The distribution law of adsorbed gas and free gas occurrence states in deep CBM is revealed under different thermal evolution degrees, different burial depths and different temperature and pressure conditions. At the same depth, with the increase of coal rank, the adsorbed gas content is increasing, the free gas content is decreasing, and the proportion of free gas is decreasing. With the increase of coal seam depth, the content of adsorbed gas increases first and then decreases, but the proportion of free gas increases gradually. ③ Considering the influence of methane supercritical fluid properties on adsorption, compared to the same situation where this feature is ignored, the actual adsorbed gas content is not as high as the existing understanding, and the proportion of adsorbed gas is reduced by 6%−9%.④ Four model methods were established to clarify the critical transition depth of gas content, and the variation laws and charts of adsorbed gas/free gas at different coal ranks, porosity and water saturation. ⑤ Based on the new understanding of “overpressure in micro pores and normal reservoir pressure in macro pores” a new calculation method for free gas and adsorbed gas content considering “overpressure in micro pores +supercritical state” has been established. Compared with traditional methods that only consider reservoir pressure, the calculation results are more in line with production reality. When the burial depth of Daji Block reaches 2 000 m, the proportion of free gas in high rank coal seams can conservatively reach 41%, an increase of 20% compared to existing understanding. The research results can provide scientific theoretical basis for revealing the distribution law of deep coalbed methane occurrence and reserve evaluation.

     

/

返回文章
返回