高级检索

CO2−水−煤地球化学作用对淮南煤田CO2驱煤层气增产效果的影响

Impact of CO2-water-coal on enhanced coalbed methane recovery by CO2 injection in Huainan coalfield

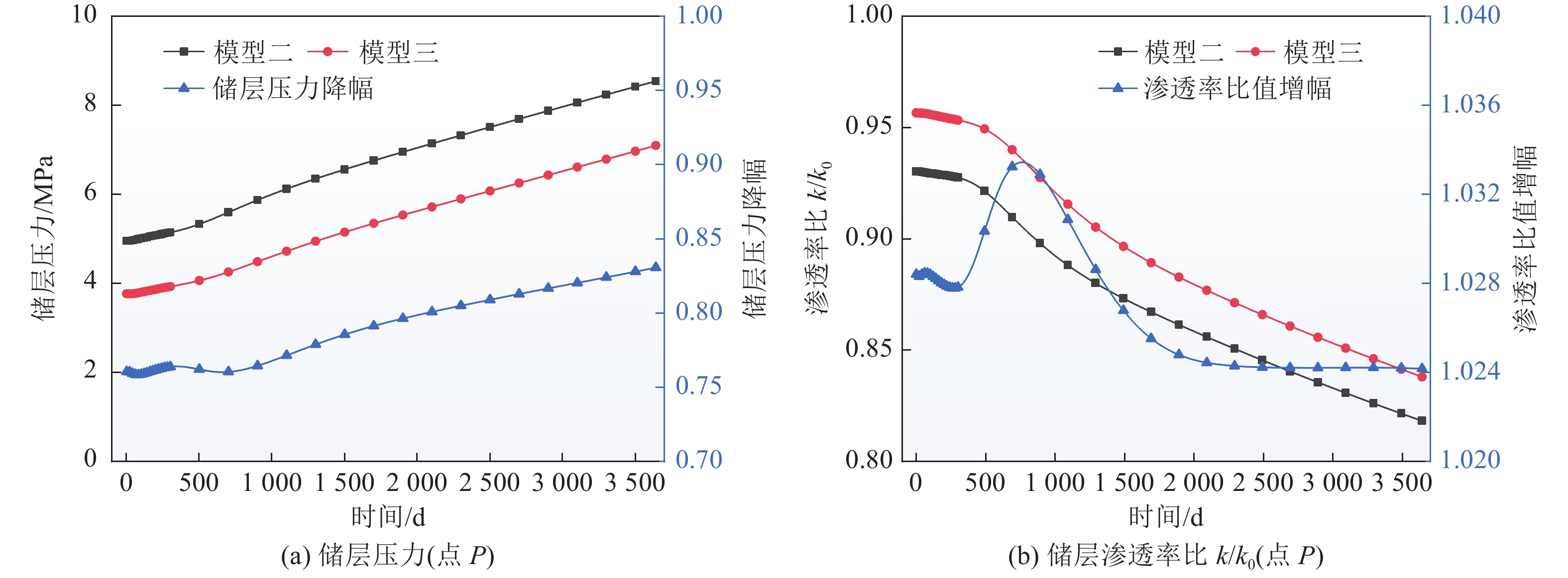
  • 摘要: CO2驱煤层气封存(CO2-ECBM)是重要的CO2地质利用与地质封存方式,有望破解以淮南煤田为代表的松软、低渗、难抽采煤层煤层气开发效果差、产量衰减快等难题,提高煤层气产量和采收率。CO2注入煤层与煤中无机矿物的地球化学作用可导致煤层孔裂隙结构和渗透性的变化,对煤层CO2封存能力和煤层气增产效果具有显著影响。为此,考虑有效应力、温度及地球化学效应影响下的CO2与CH4竞争吸附、扩散与渗流作用、CO2−水−煤地球化学作用及其影响的煤层孔隙率与渗透率动态演化特征,建立了CO2注入煤储层渗流场−应力场−温度场−化学场全耦合数学模型,开展了淮南煤田CO2-ECBM工程数值模拟研究,分析了地球化学作用条件下,CO2注入煤层增产CH4效果,以及CO2注入压力、初始渗透率和含水饱和度等对CH4增产、CO2封存的影响。结果表明:数学模型与试验结果吻合度较高,CH4、CO2混合气体体积分数及产出速率平均误差为1%~10%;相较于未考虑地球化学作用的情况,模拟周期内CH4累计产量降低11%,CO2累计封存量提升19.8%,表明忽略CO2−水−煤地球化学作用会高估CH4增产效果和低估CO2封存量;注入压力和煤储层初始渗透率越大,CH4增产效果越显著,CO2封存量越大;而高含水饱和度对CH4增产和CO2封存产生不利影响,指示了CO2驱煤层气封存应结合储层性质,优选目标层位,并通过合理设计注入工艺最大化CH4增产和CO2封存效果;CO2−水−煤地球化学作用能够缓解CO2注入导致的储层压力升高,降低裂隙中自由态CO2含量,进而抑制应力−应变效应造成的煤储层渗透率下降,促进渗透率的回升,渗透率回升幅度达2.4%~3.3%,而渗透率回升进一步促进了储层压力传导和CO2吸附、CH4解吸与扩散,从而提升CH4增产和CO2封存效果。

     

    Abstract: CO2-enhanced coalbed methane recovery (CO2-ECBM) is a key method for CO2 geological utilization and sequestration. It holds promise for addressing challenges such as soft, low-permeability coal seams with difficult gas extraction, poor development performance, rapid production decline, and low recovery rates, as exemplified by the Huainan coalfield. The geochemical interactions of CO2 injection into coal seams and inorganic minerals in coal can alter the pore-fracture structure and permeability of the coal, significantly influencing CO2 sequestration capacity and methane production enhancement. Therefore, considering the effects of effective stress, temperature, and geochemical interactions—including competitive adsorption, diffusion, seepage of CO2 and CH4, and CO2-water-coal geochemical interactions, as well as their impact on the dynamic evolution of coal seam porosity and permeability—a fully coupled Thermo-Hydro-Mechanical-Chemical mathematical model was developed for the seepage-stress-temperature-chemical interactions in CO2-injected coal reservoirs. Numerical simulation studies on CO2-ECBM were conducted for the Huainan coalfield to analyze the effect of geochemical interactions on CH4 production enhancement during CO2 injection, as well as the influence of injection pressure, initial permeability, and water saturation on CH4 production and CO2 sequestration. The results showed a high degree of consistency between the mathematical model and experimental outcomes, with the average error range for CH4 and CO2 mixture volumetric fractions and production rates falling within 1%−10%. Compared to scenarios ignoring CO2-water-coal geochemical interactions, the cumulative CH4 production decreased by 11%, while cumulative CO2 storage increased by 19.8%, indicating that neglecting geochemical interactions could lead to an overestimation of CH4 production and underestimation of CO2 storage capacity. Higher injection pressures and initial permeability of coal reservoirs resulted in more significant CH4 production enhancement and CO2 sequestration, whereas high water saturation adversely affected both processes. These findings suggest that CO2-ECBM should be tailored to reservoir properties, optimizing target layers and injection strategies to maximize CH4 production and CO2 storage. Geochemical interactions were found to alleviate the reservoir pressure increase caused by CO2 injection, reduce the free-state CO2 content in fractures. This, in turn, mitigated permeability decline due to stress-strain effects, promoting permeability recovery by 2.4%−3.3%. The permeability recovery further facilitated pressure transmission, CO2 adsorption, and CH4 desorption/diffusion, ultimately enhancing CH4 production and CO2 sequestration efficiency.

     

/

返回文章
返回