高级检索

关闭/废弃矿井井筒蓄热特性多物理场耦合研究

Multi-physics coupling study on thermal energy storage characteristics in closed/abandoned mine shafts

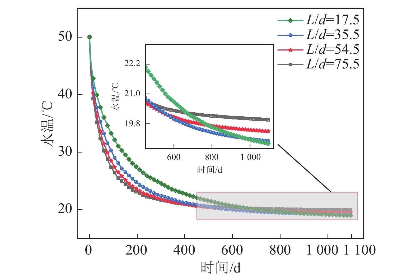
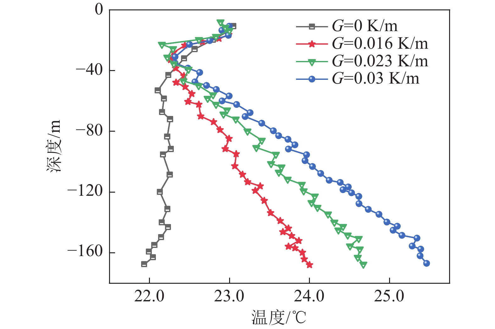
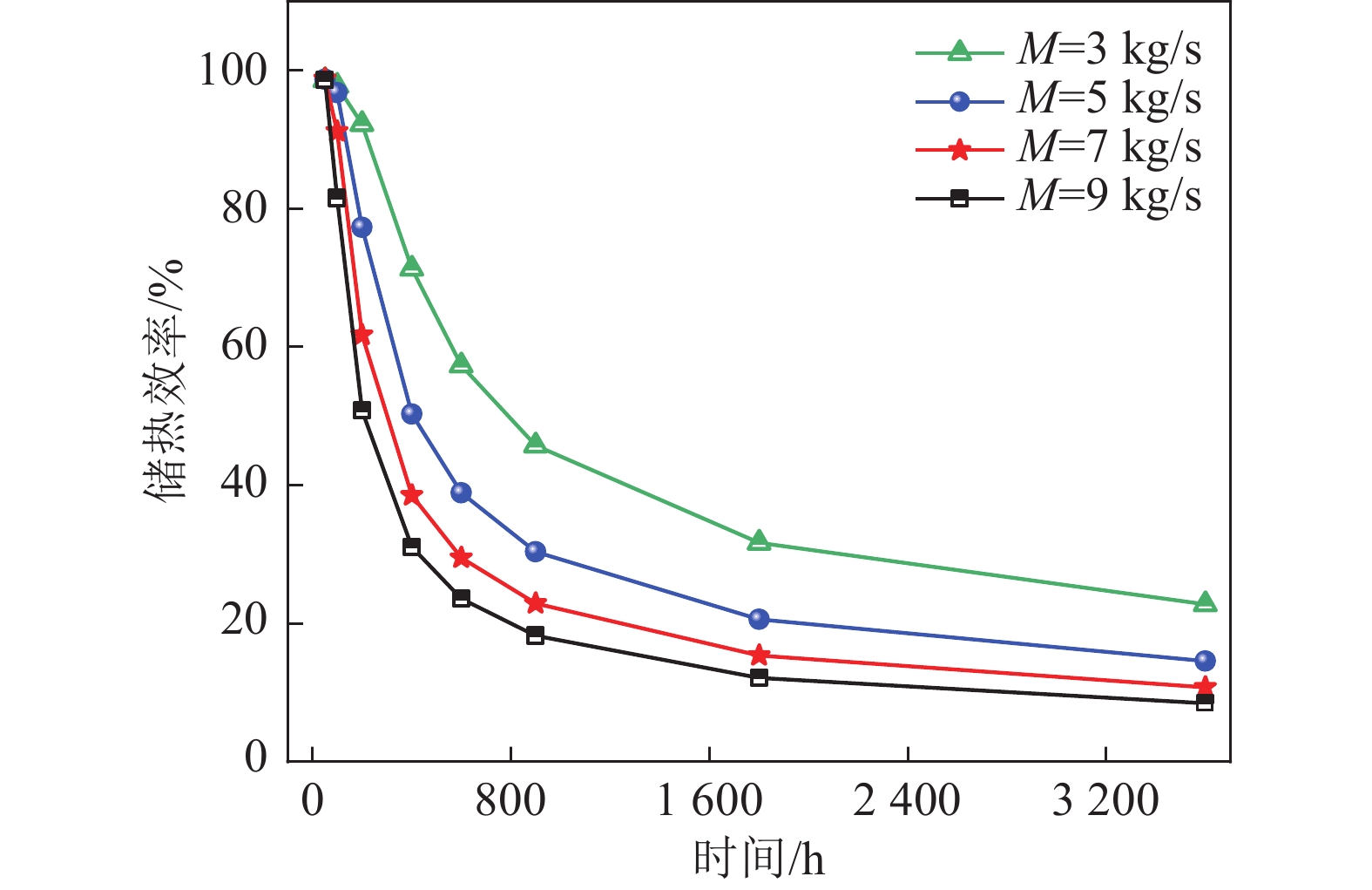
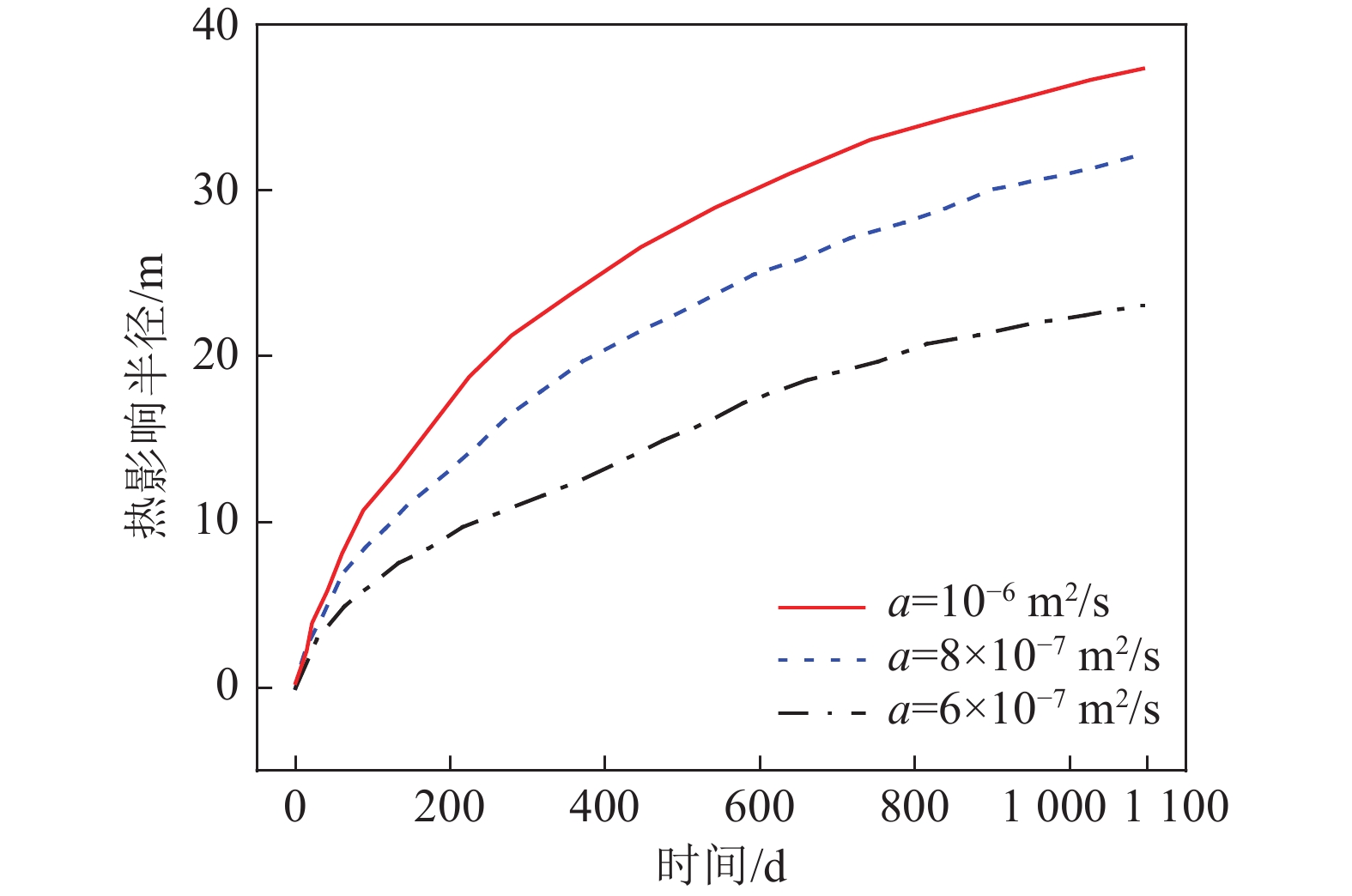
  • 摘要: 对关闭/废弃矿井遗留设施及空间进行重构改造实现矿山地质能源再生利用是实现“双碳”目标的有效方式。为探究关废矿山竖井储热的技术可行性,提出一种基于同轴套管式换热器的井筒循环蓄水储热方案。首先,构建了矿井水−岩土非稳态流固耦合传热数学模型,以徐州卧牛山煤矿副井(井深200 m)为研究对象开展井筒蓄热特性数值模拟,通过与3组试验数据对比,验证模型的适用性;其次,分别针对自然冷却工况下的矿井水保温性能和蓄热模式下的运行特性进行数值模拟,开展参数敏感性分析。结果表明:在快速蓄热后进入自然冷却阶段时,井筒矿井水的热损失呈二阶指数衰减特性,集中于蓄热后的10 d内,此期间热量损失占100 d累计热损失的29.73%;高地温梯度(≥0.03 k/m)能起到抑制自然对流换热和深层矿井水散热的作用,有利于井筒深部矿井水的保温;井筒长径比与矿井水热损失大小在短期内正相关,但长径比较大的井筒矿井水长期储存后的平均温度较高,也更利于蓄热后供暖季的地热回收利用,综合分析后建议矿井井筒储热长径比范围为30~50。蓄热模式下,提高注入流量能够在短期内迅速加热矿井水至所需温度,但破坏了矿井水温度分层结构,导致储热效率显著降低;增加上游热源温度会导致轴向水温梯度和储热效率提升、热损失降低,故蓄热性能相对更优。此外,在井壁不采取保温措施的情况下,对于太阳能跨季节井筒矿井水蓄热系统,建议蓄水容积与集热面积比Rv取2.5~3.0 m3/m2,以保证矿井水温度达到长期供暖要求。

     

    Abstract: Repurposing closed/abandoned mine spaces for renewable energy development serves as an effective approach to achieving carbon peaking and neutrality goals. To explore the technical feasibility of thermal energy storage in abandoned vertical shafts, this study proposes a cyclic water storage system based on coaxial borehole heat exchangers. A transient fluid-solid coupled heat transfer model was developed to characterize thermal interactions between mine water and geotechnical materials. Numerical simulations of thermal storage characteristics were conducted on the approximately 200 m-deep auxiliary shaft of the Xuzhou Woniushan Coal Mine, with model validation achieved through comparison with three experimental datasets from literature. Subsequently, parametric sensitivity analyses were performed to investigate the thermal insulation performance of mine water under natural cooling conditions and the operational characteristics under the thermal storage mode. The results indicate that during the natural cooling phase following rapid heat storage, the thermal loss of shaft mine water exhibits second-order exponential decay characteristics, with 29.73% of the cumulative 100-day heat loss concentrated within the initial 10-day period; higher geothermal gradients (≥0.03 k/m) suppress natural convection and reduce deep-layer heat loss, enhancing thermal preservation; shaft slenderness ratio exhibits a positive correlation with short-term heat loss, yet facilitates higher average water temperatures after long-term storage, favoring geothermal recovery during heating seasons. After comprehensive consideration, a slenderness ratio of 30−50 is recommended for thermal energy storage in mine shafts. Under thermal storage mode, increasing the injection flow rate can rapidly elevate mine water temperature to the desired level in the short term, but this disrupts thermal stratification, significantly reducing storage efficiency, Conversely, raising the upstream heat source temperature enhances the axial water temperature gradient and storage efficiency while decreasing the ratio of heat loss, thus relatively improving thermal storage performance. Moreover, in solar seasonal thermal storage systems without insulation measures on the shaft, a volume-to-collector area ratio (Rv) of 2.5 to 3.0 m3/m2 is advisable to ensure mine water temperatures meet long-term heating demands.

     

/

返回文章
返回