高级检索

动载下含内部裂隙类岩体力学响应与能量耗散规律

Mechanical response and energy dissipation law of rock-like mass with internal fractures under dynamic load

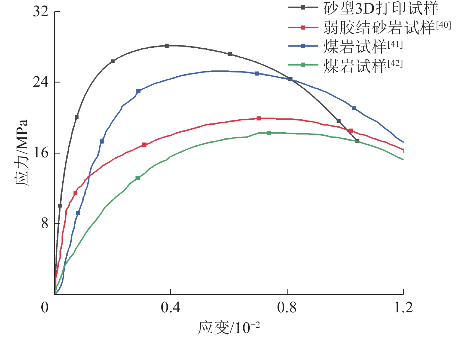
  • 摘要: 深部巷道围岩中煤、泥岩、砂岩等常见岩石强度较低、裂隙发育,在深部复杂力学环境下易发生动力灾害,研究内部裂隙特征对岩体的动力学响应及能量耗散规律对明晰动力灾害的发生具有重要意义。为研究内部裂隙倾角、裂隙分布对类岩体动态力学响应与能量耗散规律的影响,通过砂型3D打印制备含内部裂隙的类岩体试样,采用分离式霍普金森压杆(SHPB)对试样进行动态压缩试验,使用高速摄像机观察裂纹发育情况,并结合能量耗散原理和分形理论分析其动力破坏特性。研究结果表明:随着内部裂隙倾角角度增加,类岩体试样动态峰值应力和动态弹性模量先减小后增大,均在30°时最低;随着裂隙数量的增多,垂直分布裂隙对试样的动态峰值应力影响大于水平分布裂隙;试样破坏的能量耗散随裂隙倾角角度增加呈现先减小后增加的规律,裂隙倾角较小时,松散充填物的存在会加剧应力波衰减,使能量耗散增加,随裂隙倾角增加,充填物对试样的能量耗散影响逐渐减小;相同裂隙倾角下,随裂隙数量的增加,垂直分布裂隙试样能量耗散小于水平分布裂隙,与试样动态峰值应力呈正相关;随着裂隙倾角的增大,试样的分形维数先增加后减小,30°裂隙倾角时试样的破碎程度最大,试样的分形维数最大;裂隙数量的增多使试样破碎块度逐渐均匀,试样的分形维数呈现增大趋势。研究结果揭示了内部裂隙对岩体动力学特性及能量耗散的影响规律,为采用砂型3D打印技术开展复杂内部裂隙岩体动力学试验提供了重要基础,对进一步了解实际工程中深部软岩巷道围岩破裂失稳机理具有重要意义。

     

    Abstract: The strength of coal, mudstone, sandstone and other common rocks in the surrounding rock of deep roadway is low and the fractures are developed. Dynamic disasters are prone to occur in the complex mechanical environment of deep roadway. The key to clarify the occurrence of dynamic disasters is to study the dynamic response and energy dissipation law of the internal fracture characteristics to the rock mass. In order to study the influence of internal fracture dip angle and fracture distribution on the dynamic mechanical response and energy dissipation law of rock-like mass, the rock-like mass samples with internal fractures were prepared by sand powder 3D printing. The dynamic compression test of the samples was carried out by split Hopkinson pressure bar (SHPB). The high-speed camera was used to observe the crack development, and the dynamic failure characteristics were analyzed by combining the energy dissipation principle and fractal theory. The results show that with the increase of the dip angle of the internal fracture, the dynamic peak stress and the dynamic elastic modulus of the samples decrease first and then increase, both of which are the lowest at 30º. With the increase of the number of fractures, the influence of vertical distribution fractures on the dynamic peak stress of the sample is greater than that of horizontal distribution fractures. The energy dissipation of sample failure decreases first and then increases with the increase of fracture dip angle. When the fracture dip angle is small, the existence of loose filling will aggravate the attenuation of stress wave and increase the energy dissipation. With the increase of fracture dip angle, the influence of filling on the energy dissipation of sample decreases gradually. Under the same crack inclination angle, with the increase of fracture number, the energy dissipation of vertical distribution fracture samples are less than that of horizontal distribution fracture, which is positively correlated with the dynamic peak stress of sample. With the increase of fracture dip angle, the fractal dimension of the sample increases first and then decreases. When the fracture dip angle is 30°, the fracture degree of the sample is the largest, and the fractal dimension of the sample is the largest. The increase of the number of cracks makes the fragmentation of the sample gradually uniform, and the fractal dimension of the sample shows an increasing trend. The research results reveal the influence of internal fractures on the dynamic characteristics and energy dissipation of rock mass, and provide an important basis for the dynamic test of complex internal fractured rock mass by using sand powder 3D printing technology. It is of great significance to further understand the fracture and instability mechanism of surrounding rock in deep soft rock roadway in practical engineering.

     

/

返回文章
返回