高级检索

不同温度和吸附压力下含瓦斯煤自燃微观分形特征

Fractal characteristics of spontaneous combustion of gas-bearing coal under different temperature and adsorption pressure conditions

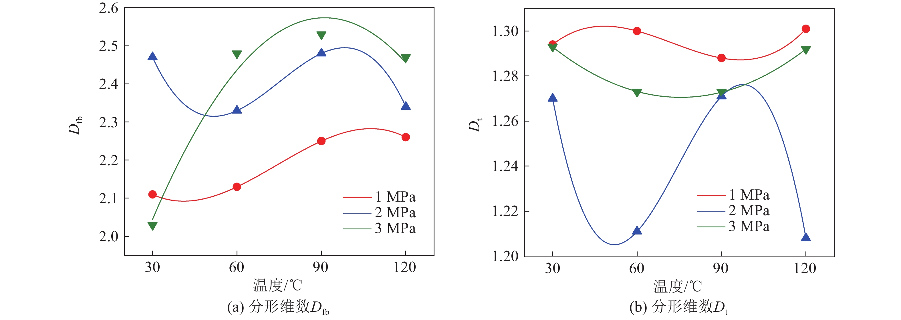
  • 摘要: 采空区瓦斯与煤自燃复合灾害日趋成为制约矿井安全生产的主要灾害模式,为研究瓦斯与煤自燃复合灾害致灾机理,通过低温液氮吸附、扫描电镜和TG-FTIR测试方法开展不同CH4吸附压力下煤低温氧化微观结构及热分析测试试验,并基于分形理论建立孔隙分形计算模型,探究吸附态CH4对煤孔隙结构和热稳定性的影响。结果表明:吸附态CH4抑制氧化对微孔的热损伤破坏,因此相较于以中、大孔为主的原煤,含瓦斯煤存在大量微孔,且孔隙形态发生变化;随着吸附压力的升高,失水脱附阶段煤样质量损失分别为4%、2.9%、3.2%和3.2%,CH4占据煤氧反应吸附位点导致参与氧化反应的化合物减少,氧化增重阶段参与氧化反应的活性物质减少,煤样氧化增重分别为0.67%、0.41%和0.31%,并且含瓦斯煤自燃各阶段的特征温度点随着吸附压力升高而滞后;构建了基于孔径分布及CH4吸附/解吸过程的分形模型,低CH4压力氧化前期煤表面形态不均一化增大,煤表面吸附气体能力升高,发生氧化反应的可能性增大,煤自燃风险增加,低瓦斯抑制煤自燃的能力较弱,且与原生孔隙的比表面积相关。研究成果探究了不同残余瓦斯含量对煤自燃特性的影响,进一步验证了不同吸附压力、温度下含瓦斯煤竞争吸附−解吸−氧化全过程连续物理模拟平台的准确性,为采空区复合灾害环境下瓦斯与火耦合灾害防治提供了基础支撑。

     

    Abstract: The composite disaster of gas and coal spontaneous combustion in the goaf is increasingly becoming the main disaster pattern that restricts the safe production of mines. To study the disaster mechanism of the composite disaster of gas and coal spontaneous combustion, the experiments of low-temperature oxidation microstructure and thermal analysis of coal under different CH4 adsorption pressures were carried out in the paper by low-temperature liquid nitrogen adsorption, scanning electron microscopy and TG-FTIR testing methods, and a pore fractal calculation model was set up based on the fractal theory to investigate the influence of adsorbed CH4 on the pore structure and thermal stability of coal. The results showed that the adsorbed CH4 inhibited the thermal damage destruction of micropores by oxidation, thus a large number of micropores existed in gas-bearing coal and the pore morphology changed compared with the raw coal which was mainly medium- and large-porous; with the increase of adsorption pressure, the mass loss of coal samples in the stage of water loss and desorption was 4%, 2.9%, 3.2% and 3.2%, respectively, and CH4 occupied the adsorption sites of the coal oxygen reaction leading to the reduction of compounds involved in the oxidation reaction, and the active substances involved in the oxidation reaction decreased in the stage of oxidative weight gain, and the oxidative weight gain of the coal samples was 0.67%, 0.41% and 0.31%, respectively, and the spontaneous combustion of the gas-bearing coal in all stages of the characteristic temperature points lagged with the increase of adsorption pressure. A fractal model based on pore size distribution and CH4 adsorption/desorption process was established. The morphological inhomogeneity of the coal surface increased during the pre-oxidation period of low CH4 pressure, the gas adsorption capacity of the coal surface was elevated, the possibility of oxidation reaction increased, the risk of coal spontaneous combustion increased, and the ability of low gas to inhibit the spontaneous combustion of coal was weaker, and was correlated with the specific surface area of the primary pores. The research results investigated the influence of different residual gas contents on the spontaneous combustion characteristics of coal, further verified the accuracy of the continuous physical simulation platform for the whole process of adsorption-desorption-oxidation of gas-bearing coal competition under different adsorption pressures and temperatures, and provided basic support for the prevention and control of gas-fire coupling disaster in the composite disaster environment of the goaf.

     

/

返回文章
返回