高级检索

基于响应面的粉煤灰湿法脱硫条件优化与机理

Optimization and mechanism of wet desulfurization with fly ash based on response surface

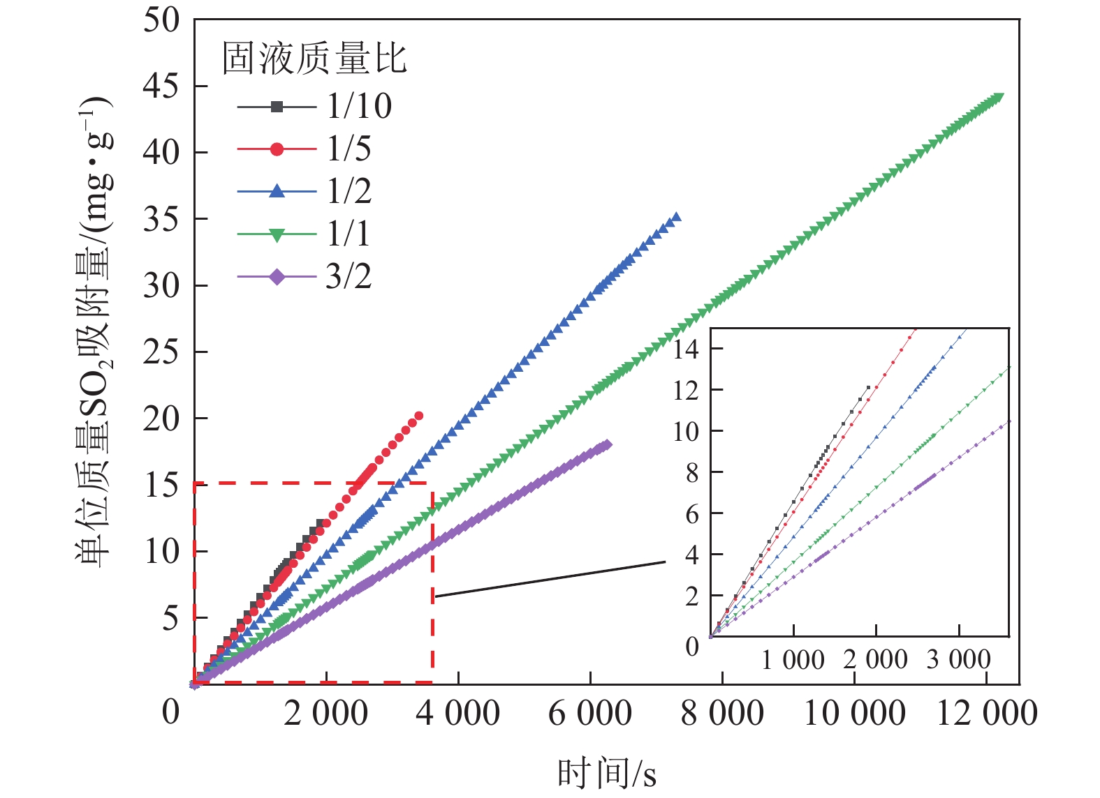
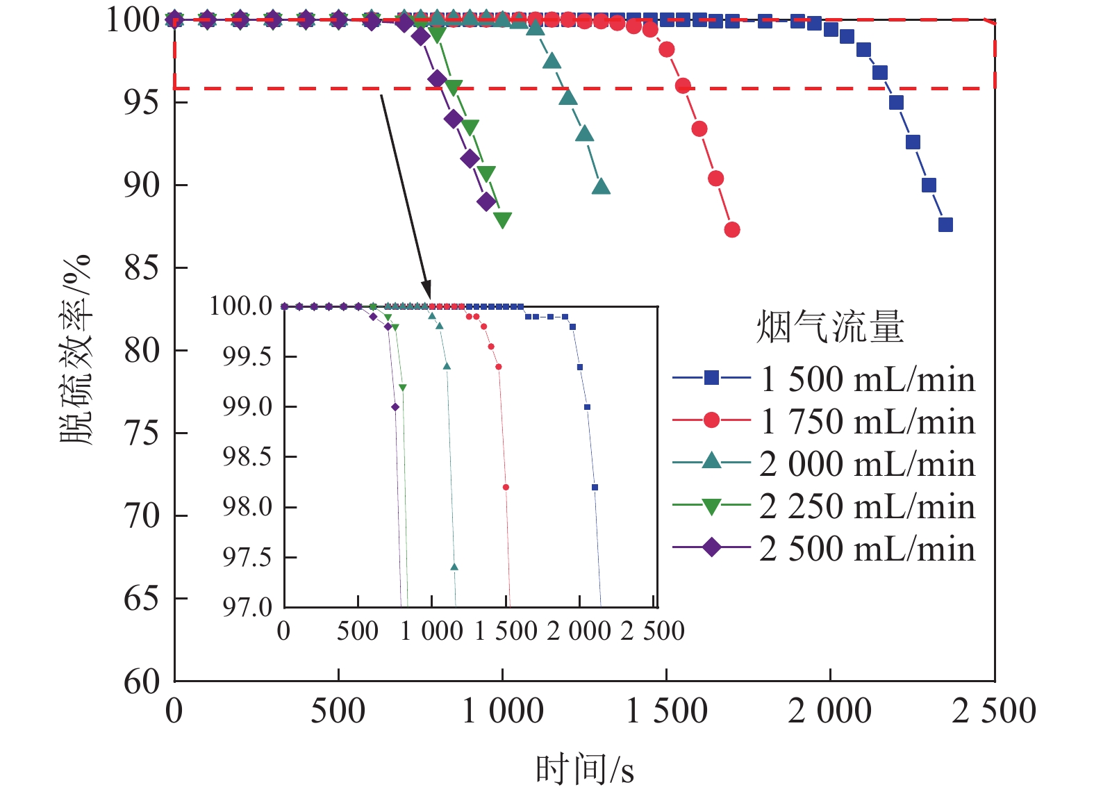
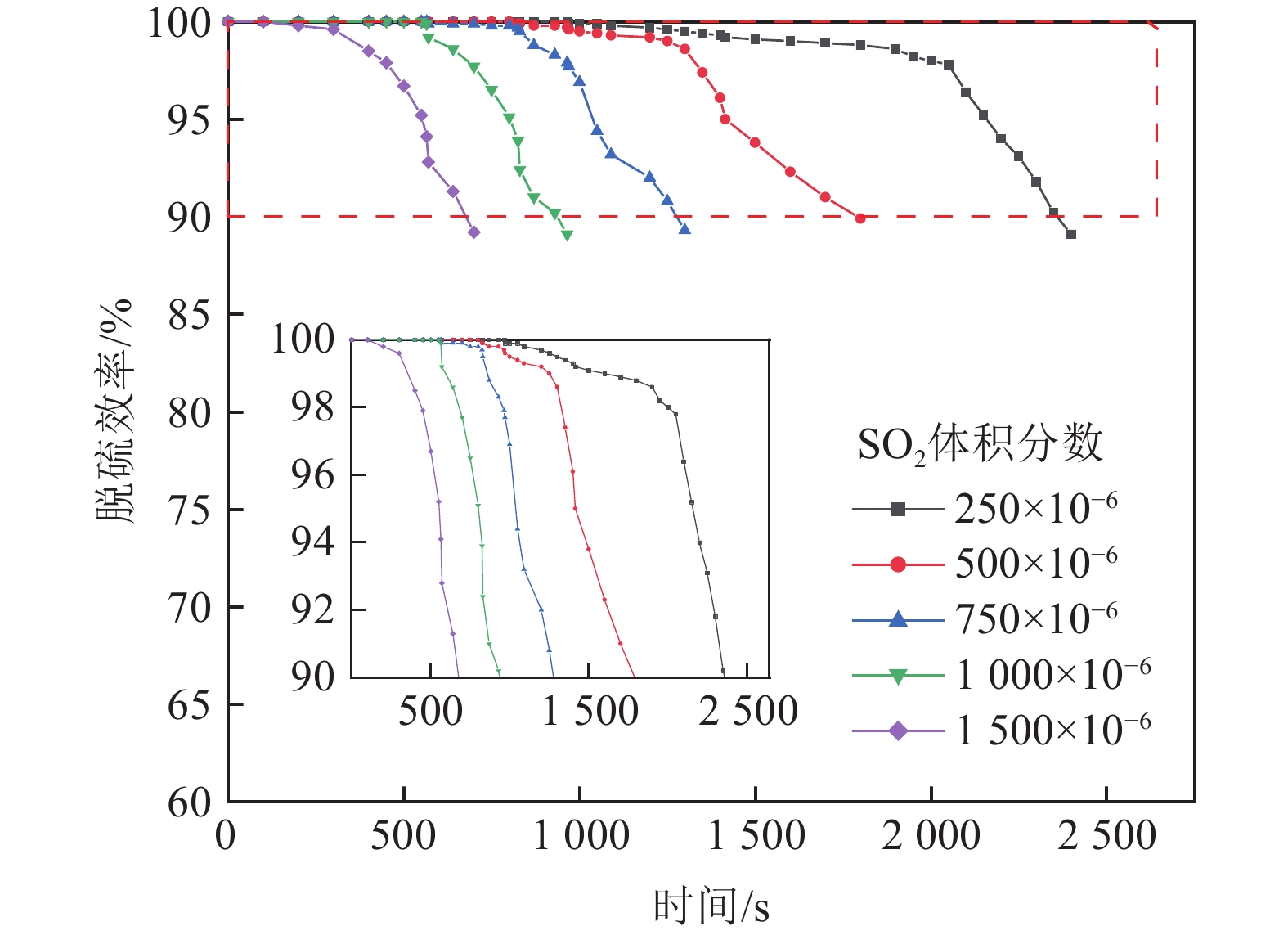
  • 摘要: 为考察粉煤灰作为脱硫剂的脱硫效果与机理,采用单因素试验与响应面法对参数粉煤灰浆液固液质量比、SO2体积分数、气体流量进行分析,并结合X射线荧光光谱、扫描电镜等手段探索粉煤灰湿法脱硫的反应机理。结果表明:在一定范围内,提高固液质量比可以通过升高pH的方式来提升穿透时间、SO2总吸附量与单位粉煤灰浆液吸附SO2量,但当固液质量比超过1∶1后会出现穿透时间与SO2吸附量下降的现象。随着SO2体积分数增加,粉煤灰浆液对SO2的吸附量呈现先升高后降低的趋势,SO2体积分数为750×10−6时取得最大吸附量64.35 mg,高SO2体积分数能显著降低穿透时间。提升气体流量,穿透时间、SO2总吸附量与单位质量粉煤灰浆液吸附SO2量均有所降低。以ABC分别表示因素固液质量比、SO2体积分数和气体流量,ABACBC分别表示其是交互项进行响应面分析,结果显示:影响穿透时间因素的主次顺序为CBABCACAB;影响SO2总吸附量因素的主次顺序为BACABBCAC;影响单位质量粉煤灰浆液吸附SO2量因素的主次顺序为ABCABACBC。最佳脱硫工艺条件为固液质量比为0.87、SO2体积分数为472×10−6、气体流量为1 500 mL/min。对脱硫前后粉煤灰的XRF和SEM分析显示:脱硫后粉煤灰硫氧化物含量显著增多,原表面板状Ca(OH)2生成了块状和针棒状物的CaSO4·2H2O和CaO·Al2O3·3CaSO4·32H2O。可能的脱硫机理为:粉煤灰在水中溶出大量Ca2+和OH。SiO2和Al2O3在强碱条件下与Ca(OH)2反应,生成水化硅酸钙、水化铝酸钙等胶凝物质(C−S−H和C−A−H凝胶)。当含硫烟气通入粉煤灰浆液中,SO2转移至液相,形成H+,\mathrmHSO_3^- 和\mathrmSO_2^2- ,H+与粉煤灰浆液反应,使粉煤灰中含有的Ca2+、Fe3+等元素浸出并催化氧化溶解于粉煤灰浆液中的SO2气体,生成H2SO4与CaSO4,CaSO4与浆液中水分子结合后以CaSO4·2H2O形式析出。

     

    Abstract: To investigate the desulfurization effect and mechanism of fly ash as a desulfurized, single factor experiment and response surface method were used to analyze the parameters of ash slurry solid-liquid mass ratio , SO2 volume fraction, and gas flow rate, and the reaction mechanism of fly ash wet desulfurization was investigated by X-ray fluorescence spectroscopy and scanning electron microscopy. The results show that within a certain range, increasing the solid-liquid ratio can increase the penetration time, the total adsorption capacity of SO2, and the adsorption capacity of SO2 per unit of fly ash slurry by increasing the pH. However, when the solid-liquid ratio exceeds 1∶1, the penetration time and adsorption capacity of SO2 will decrease. With the increase in SO2 volume fraction, the adsorption capacity of fly ash slurry to SO2 first increased and then decreased. When the SO2 volume fraction was 750×10−6, the maximum adsorption capacity was 64.35 mg, High SO2 volume fraction can significantly reduce the penetration time. With the increase of the gas flow rate, the penetration time, the total adsorption amount of SO2, and the adsorption amount of SO2 per unit mass of fly ash slurry decreased. The results of response surface analysis are shown by denoting the three factors of solid-liquid ratio, SO2 concentration and gas flow rate as A, B and C, respectively, and their interaction terms as AB, AC and BC, respectively: the primary and secondary order of the factors affecting the penetration time were C, B, A, BC, AC, and AB. The primary and secondary order of the factors affecting the total adsorption capacity of SO2 is B, A, C, AB, BC and AC. The primary and secondary order of factors affecting the adsorption of SO2 per unit mass of fly ash slurry is A, B, C, AB, AC and BC. The optimum desulphurisation process conditions are as follows: the solid/liquid ratio is 0.87, the SO2 volume fraction is 472×10−6 and the gas flow rate is 1 500 mL/min. XRF and SEM analysis of fly ash before and after desulfurization show that the sulfur oxide content of fly ash after desulfurization increases significantly, and the original surface plate Ca(OH)2 forms CaSO4·2H2O and CaO·Al2O3·3CaSO4·32H2O in bulk and rod. The possible desulfurization mechanism is that fly ash dissolves a large amount of Ca2+ and OH in water. SiO2 and Al2O3 react with Ca(OH)2 under strong alkaline conditions to form cementitious materials such as hydrated calcium silicate and hydrated calcium aluminate (C−S−H and C−A−H gels).When the sulfur-containing flue gas passes into the fly ash slurry, SO2 is transferred to the liquid phase, forming H+, \mathrmHSO_3^- and \mathrmSO_3^2- , and H+ reacts with the fly ash slurry, leaching Ca2+, Fe3+ and other elements contained in the fly ash and catalyzing oxidation of SO2 gas dissolved in the fly ash slurry to produce H2SO4 and CaSO4. After combining with water molecules in the slurry, CaSO4 was precipitated in the form of CaSO4·2H2O.

     

/

返回文章
返回