高级检索

高温后砂岩真三轴加卸载力学特性演化规律

Evolution law of true triaxial unloading mechanical properties of sandstone after high temperature

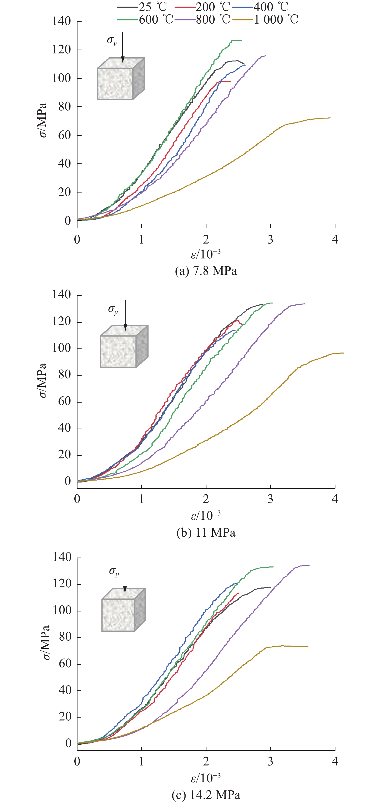
  • 摘要: 煤炭地下气化、地热能开采过程中的高温环境及应力场的变化对岩石的力学性质及强度特征均会产生影响,对高温处理后的岩石在不同三轴应力作用下的强度和力学性质变化的研究,在地下工程实际应用中有着非常重要的作用。基于真三轴应力下煤岩水力润湿范围动态监测试验系统,开展不同温度不同三轴应力条件下砂岩的加卸载试验,分析高温后砂岩的变形特征、强度特征及能量变化规律,研究温度及三轴应力对砂岩宏观强度的影响。结果表明:砂岩的破坏以脆性破坏为主,不同温度砂岩的破坏面均沿着垂直最小主应力的方向形成,破裂角随温度的升高而增大,且趋近于垂直;砂岩的承载能力随温度的升高呈现先增强后减弱的趋势,600 ℃时,承载能力达到最大,1 000 ℃时最小;温度对砂岩的弹性模量、变形模量等变形参数的影响较为明显,三轴应力对变形参数影响相对较小;砂岩变形参数与温度大致呈负相关趋势,砂岩变形参数与三轴应力大致呈正相关趋势;1 000 ℃时,砂岩的弹性模量、变形模量和峰值强度均最小,极限应变最大;砂岩加卸载过程中能量密度变化趋势与峰值强度大致相同,其中弹性能占输入能比例较高对砂岩破坏影响较大;结合砂岩的矿物成分、孔裂隙结构及孔隙率的变化情况,发现砂岩的宏观强度变化与微观的结构变化表现一致。

     

    Abstract: In the process of underground coal gasification and geothermal energy mining, the change of high temperature environment and stress field will affect the mechanical properties and strength characteristics of rocks, and the study of the change of the strength and mechanical properties of the rocks after high-temperature treatment under the action of different triaxial stresses has a very important role in the practical application of underground engineering. Based on the dynamic monitoring test system of hydraulic wetting range of coal rock under true triaxial stress, the loading and unloading tests of sandstone under different temperatures and different triaxial stress conditions were carried out. The deformation characteristics, strength characteristics and energy variation law of sandstone after high temperature were analyzed, and the effects of temperature and triaxial stress on the macroscopic strength of sandstone were studied. The failure of sandstone is dominated by brittle failure. The failure surfaces of sandstone at different temperatures are formed along the direction perpendicular to the minimum principal stress. The fracture angle increases with the increase of temperature and tends to be vertical. The bearing capacity of sandstone increases first and then decreases with the increase of temperature. The bearing capacity reaches its maximum at 600 ℃ and its minimum at 1 000 ℃. The influence of temperature on the elastic modulus, deformation modulus and other deformation parameters of sandstone is obvious, and the influence of triaxial stress on the deformation parameters is relatively small. The deformation parameters of sandstone are negatively correlated with temperature, and the deformation parameters of sandstone are positively correlated with triaxial stress. At 1 000 ℃, the elastic modulus, deformation modulus and peak strength of sandstone are the smallest, and the ultimate strain is the largest. During the loading and unloading process of sandstone, the change of energy density is roughly the same as that of peak strength, and the higher proportion of elastic energy to input energy has a greater impact on sandstone failure. Combined with the changes of mineral composition, pore fissure structure and porosity of sandstone, it is found that the macroscopic strength change of sandstone is consistent with the microscopic structure change.

     

/

返回文章
返回