高级检索

基于“疏导式”改造理念的煤层气水平井压裂技术适应性研究

Research on adaptability of fracturing technologies for CBM horizontal wells based on the viewpoint of “unblocking and channeling”

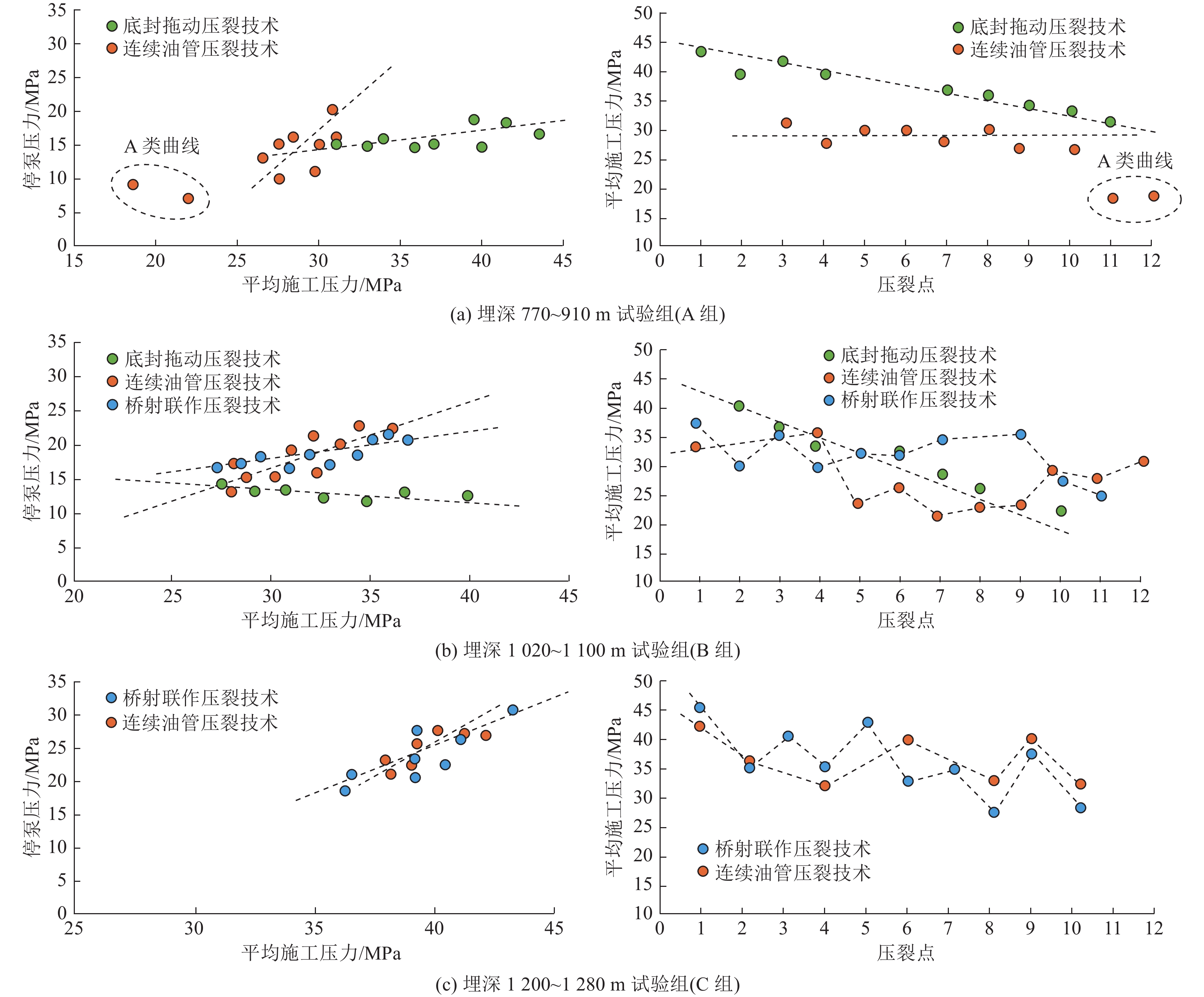
  • 摘要: 水平井压裂改造是当前非常规煤层气资源实现高效开发最为核心的技术手段,现今虽已取得较好现场成效,但目前煤层气压裂改造仍存在压裂改造目的不清晰、主体水平井压裂技术适应性不明、压裂改造效果评价手段欠缺等问题。为进一步提升压裂水平井产量和开发效益,依托已在沁水盆地南部取得显著成效,并被实践所验证的“疏导式”改造理念,立足沁水盆地南部高阶煤储层中原始天然孔−裂隙特征和煤层气“疏导式”改造理念对高阶煤储层压裂改造要求,吸收前人压裂改造评价经验,筛选出水平井各段压裂施工曲线类型和数量、平均施工压力、停泵压力、事故类型和发生率、投产后见气压力、当前流压和气量(生产1 a)和综合平均稳产气量7项关键指标,在此基础上提出基于煤层气“疏导式”改造理念的压裂改造效果评价办法,进而结合现场对比试验,开展主体水平井压裂技术适应性研究,借此落实主体压裂技术的改造能力上限和不足。结果表明:随埋深和地应力增大,煤储层改造难点由易滤失,易近井筒地带天然裂隙过度开启,难造优势主压裂裂缝,转变为优势主压裂裂缝周边的天然裂隙难以逐级规模开启,次级裂缝张开程度不够以及压裂砂携送困难,易脱砂、砂堵。底封拖动压裂技术因井筒内沿程压力损耗过大,在1 000 m以深难以满足煤储层“疏导式”压裂改造需求。连续油管压裂技术在深度超过1 200 m后,存在对压裂砂携送能力不足问题。桥射联作压裂技术不仅可满足1 250 m深度高阶煤储层“疏导式”压裂改造需求,同时还具备进一步增大压裂改造规模的潜力,可满足更深条件下煤储层“疏导式”压裂改造的施工和实现。研究可为沁水盆地南部和国内外其他煤层气区块压裂技术的合理优选和升级提供重要依据和支撑。

     

    Abstract: Horizontal well fracturing stimulation is currently the most core technical means to achieve efficient development of unconventional coalbed methane resources. Although good on-site results have been achieved, there are still some problems such as unclear the goal of fracturing stimulation, unclear the adaptability of the main horizontal well fracturing technology and lack of evaluation methods for fracturing effects. In order to further improve the production and development benefits of fractured horizontal wells, this article based on the viewpoint of “unblock and channeling”that has achieved significant results in the southern part of the Qinshui Basin and has been verified by practice, combined its requirements for fracturing on high-rank coal reservoir and the characteristics of the original natural pores and fractures in the high-rank coal reservoirs in the southern part of the Qinshui Basin, referred meanwhile to the evaluation experience of previous fracturing, selected seven key indicators: Types and quantity of fracturing operation curves for each section of the horizontal well, average operating pressure, instantaneous shut-in pressure, accident type and occurrence rate, Pressure at the moment of initial gas production, Current bottomhole flowing pressure and daily gas production (Production time is more than one year), and comprehensive average stable gas production, proposed an evaluation method for the fracturing effect. Furthermore, combined with on-site comparative experiments, a study on the adaptability of the main horizontal well fracturing technology will be conducted to determine the upper limit and shortcomings of the main fracturing technology’s stimulation capacity. The results show: With the increase of burial depth and geo-stress, the difficulty of coal reservoir stimulation has shifted from easy to filter out, prone to excessive opening of natural fractures near the wellbore, making it difficult to create dominant main fracturing fractures, to difficulty in gradually opening natural fractures around the dominant main fracturing fractures, insufficient opening of secondary fractures, and difficulty in transporting fracturing sand, making it easy for desanding and sand-block.Due to the excessive pressure loss along the wellbore, the bottom sealing drag fracturing technology is unable to meet the needs of “unblocking and channeling”fracturing stimulation at depths of more than 1 000 meters.The continuous tubing fracturing technology has the problem of insufficient carrying capacity for fracturing sand after at depths exceeding 1 200 meters.The bridge shooting combined fracturing technology can not only meet the needs of the “Unblocking and Channeling” fracturing stimulation of coal reservoirs with a depth of 1 250 meters, but also has the potential to further increase the scale of fracturing stimulation, which can meet the construction and implementation of the“unblocking and channeling”fracturing stimulation of coal reservoirs under deeper conditions. The research provides important basis and support for the rational selection and upgrading of fracturing technologies in the southern part of the Qinshui Basin and other coalbed methane blocks at home and abroad.

     

/

返回文章
返回