高级检索

采煤机全位姿测量传感器系统研究与设计

Research and design of sensor system for all position and attitude measurement of shearer

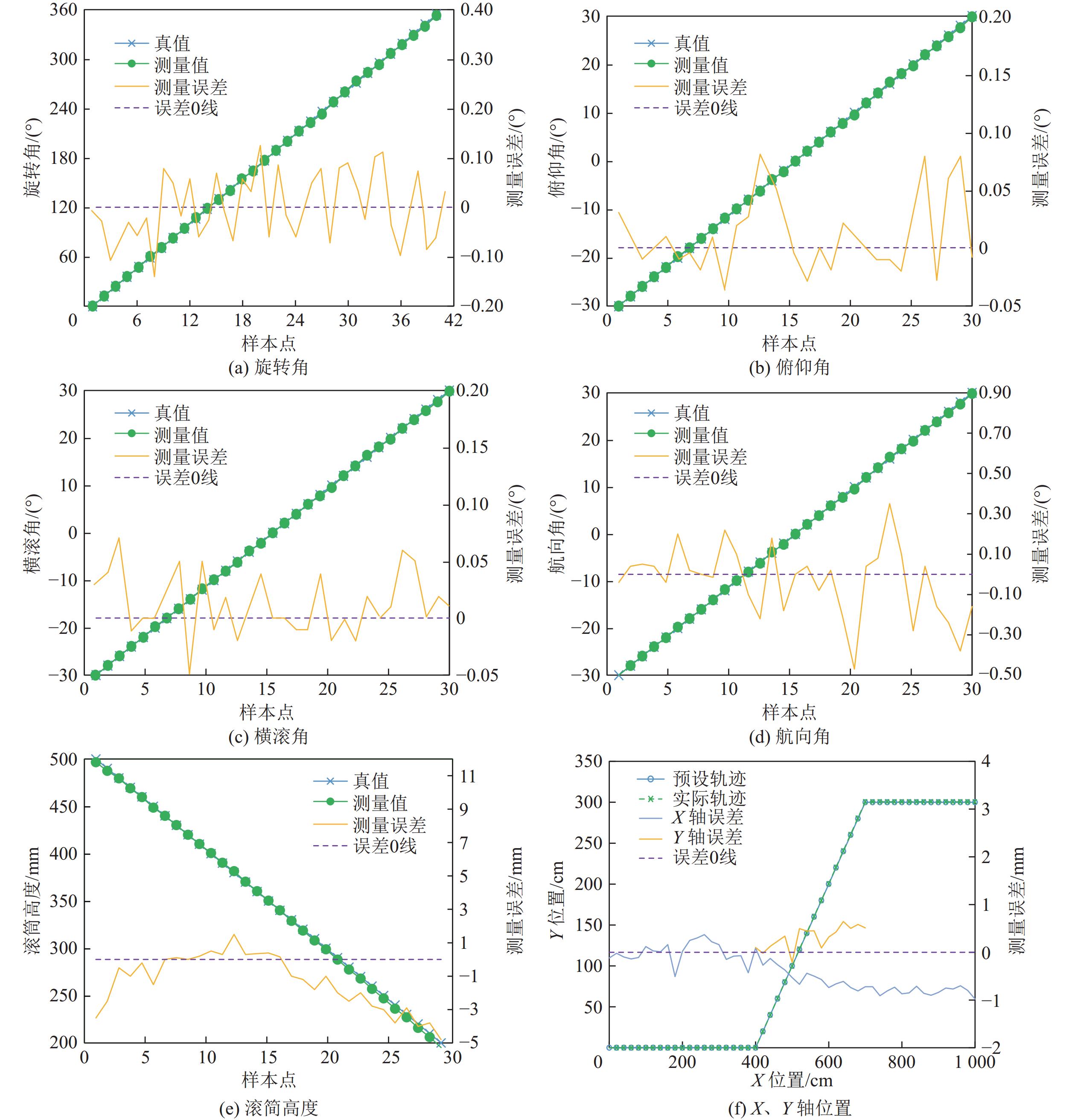
  • 摘要: 现有采煤机机身位置、姿态、滚筒高度等参数的测量中,存在方法和手段不足,测量装置一体化、集成化、智能化程度低、信息处理能力差、价格高等问题。首先,从采煤机运行实际出发,分析其运行过程中机身姿态、位置和滚筒高度变化规律及影响因素,建立机身位置解算模型和考虑机身姿态角的滚筒高度解算模型。其次,针对多参量测量,提出一种以微处理器为核心,由基于MEMS传感芯片的机身姿态传感器、里程传感器和左、右摇臂摆角传感器组成的主从式结构系统解决方案。再次,确定各参数的测量方法,设计3类传感器的硬件架构和电路—传感器以DSP-F28335为主控芯片,机身姿态主传感器由MPU6050惯导芯片为测量元件,摇臂摆角和里程传感器由TLE5012B角度芯片为测量元件。开发各传感器运行控制、数据采集与解算、通信等程序。最后,通过实验对传感器系统样机的误差进行测量,结果表明:旋转角度、横滚角、俯仰角、航向角、滚筒高度、机身X轴位置和Y轴位置的平均绝对误差分别为0.06°、0.02°、0.03°、0.15°、1.45 mm、2.64 mm、3.43 mm,平均相对误差分别为0.23%、0.16%、0.25%、1.54%、0.49%、0.53%、2.45%。

     

    Abstract: The existing shearer body position, attitude, drum height and other measurements, there are insufficient methods and means, measurement device integration, integration, low degree of intelligence, poor information processing ability, high price. Firstly, based on the actual operation of shearer, the changing rules and influencing factors of fuselage attitude, position and drum height are analyzed, and the fuselage position solving model and drum height solving model considering fuselage attitude Angle are established. Secondly, aiming at multi-parameter measurement, a master-slave structure system is proposed, which consists of the attitude sensor, mileage sensor and left and right swing Angle sensor based on MEMS sensor chip with microprocessor as the core. Thirdly, the measurement method of each parameter is determined, and the hardware architecture and circuit of the three types of sensors are designed. The sensor uses DSP-F28335 as the main control chip, the fuselage attitude main sensor uses the MPU6050 inertial navigation chip as the measuring element, and the swing Angle and mileage of the rocker arm are measured by the TLE5012B Angle chip. Develop the program of sensor operation control, data acquisition and solution, communication and so on. Finally, the error of the prototype sensor system is measured through experiments, and the results show that: The average absolute errors of rotation Angle, roll Angle, pitch Angle, heading Angle, drum height, X-axis position and Y-axis position of the body are 0.06°, 0.02°, 0.03°, 0.15°, 1.45 mm, 2.64 mm and 3.43 mm, respectively. The average relative errors are 0.23%, 0.16% and 0.25%, respectively. 1.54%, 0.49%, 0.53%, 2.45%.

     

/

返回文章
返回