高级检索

贵州省煤层气井压裂改造对产气量的影响及开发建议以盘关向斜为例

Influence of fracturing reconstruction of coalbed methane wells on gas production and development suggestions in Guizhou Province: taking Panguan syncline as an example

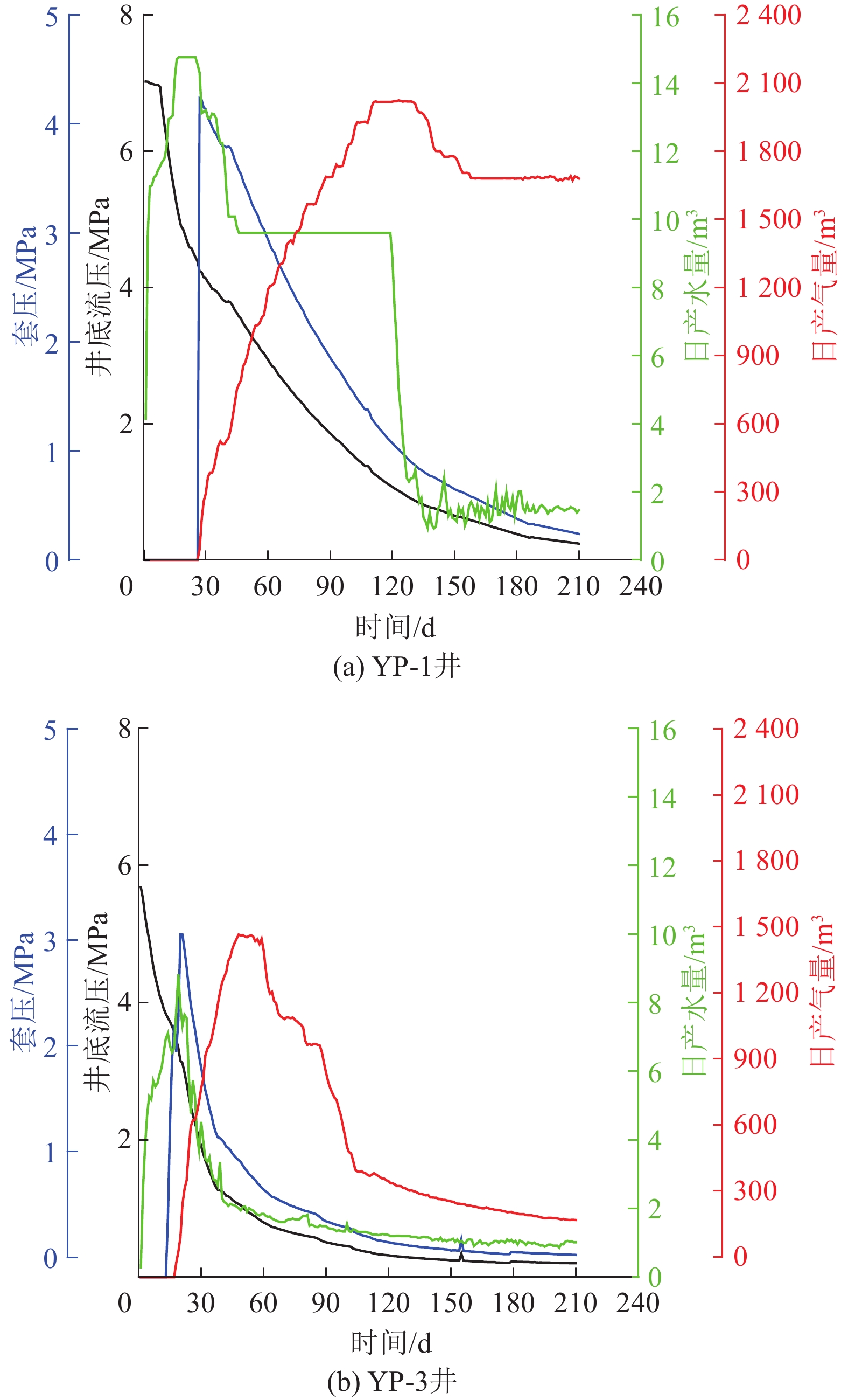
  • 摘要: 贵州省含煤构造单元多、煤层层数多、厚度薄,多为低渗储层,宜采取“分段压裂、合层排采”工艺进行煤层气开发。研究以盘关向斜煤层气井为例,在分析2口直井压裂改造规模的基础上,分析其压裂效果,进而研究了压裂改造效果对煤层气井气水产出的影响,最后总结了盘关向斜煤层气井高效改造压裂施工参数的合理阈值。结果表明:水力压裂是低渗储层增渗的有效途径,增渗倍数与压裂改造规模密切相关,盘关向斜2口井每米煤层的加砂量、加液量及单孔排量的差异,导致压裂改造后与改造前的渗透率比值为55∶1,改造后渗透率差异较大;提高每米煤层的加液量、加砂量及单孔排量,对提高煤层的改造效果及产气量有利,建议每米煤层加液量不宜低于400 m3,每米煤层加砂量不宜低于20 m3,压裂施工排量不低于8 m3/min,且单孔排量宜控制在0.2 m3/min以上;根据压裂改造后的煤层渗透率,针对改造效果好的煤层气井,可以适当快排降压,反之则应控制排采强度,降低快排降压可能引起的储层敏感性伤害。研究成果可以为该区块低渗煤层增渗增能改造提供技术参考。

     

    Abstract: In Guizhou Province, there are many coal-bearing structural units, many layers of coal, thin thickness, and most of them are low permeability reservoirs, so it is advisable to adopt the process of “staged fracturing and combined layer drainage and production” to develop coalbed methane. Taking Banguan syncline coalbed methane well as an example, this study analyzed the fracturing effect of two vertical Wells on the basis of the scale of fracturing reconstruction, and then studied the influence of fracturing reconstruction effect on the gas and water production of coalbed methane Wells, and finally summarized the reasonable threshold of efficient fracturing construction parameters of Banguan syncline coalbed methane Wells. The results show that hydraulic fracturing is an effective way to increase permeability of low permeability reservoir, and the permeability increase multiple is closely related to the scale of fracturing reconstruction. The differences of sand addition, liquid addition and single-hole displacement per meter of coal seam between the two Wells of Banguan syncline lead to the permeability ratio of 55∶1 after fracturing reconstruction, and the permeability difference after reconstruction is large. Increasing the liquid addition, sand addition and single hole displacement per meter of coal seam is beneficial to improving the transformation effect of coal seam and gas production. It is recommended that the liquid addition per meter of coal seam should not be less than 400 m3, the sand addition per meter of coal seam should not be less than 20 m3, the fracturing construction displacement should not be less than 8 m3/min, and the single hole displacement should be controlled above 0.2 m3/min. According to the permeability of the coal seam after fracturing and reconstruction, it can be appropriate to quickly discharge and depressurize the coalbed methane Wells with good reconstruction effect. Otherwise, the intensity of discharge and production should be controlled to reduce the sensitivity damage of the reservoir caused by fast discharge and depressurization. The research results can provide technical reference for the permeability and energy improvement of low permeability coal seam in this block.

     

/

返回文章
返回