高级检索

煤岩孔裂隙结构特征对其损伤演化规律影响

Influence of pore-fracture structure characteristics of coal rock on its damage evolution law

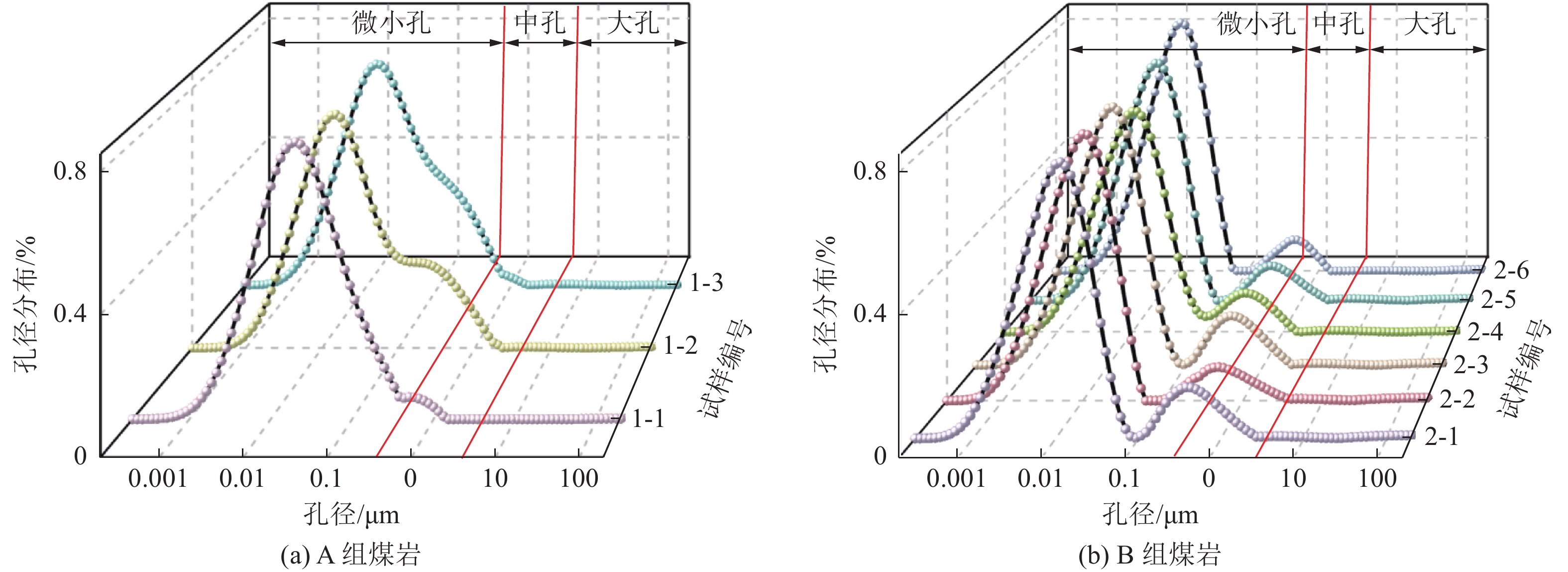
  • 摘要: 煤岩孔裂隙发育扩展是造成煤岩损伤,从而导致瓦斯突出、冲击地压、煤柱失稳等矿山灾害的主要原因,探究煤岩压裂过程中裂隙破裂演化规律及煤岩损伤演化规律是预测煤岩动力灾害的前提。裂隙倾角分布、孔隙率为影响煤岩裂隙破裂规律的重要因素,采用单轴压缩、CT电子扫描和核磁共振试验对煤岩力学性能和孔裂隙结构进行分析,通过煤岩裂隙分形维数和裂隙倾角分布特征,表征煤岩内部裂隙结构;同时结合数值模拟对不同裂隙倾角煤岩裂隙扩展和损伤演化规律进行分析。研究结果表明:① 裂隙倾角分布特征为影响煤岩力学特性的主要因素,孔隙率为影响煤岩力学性质的次要因素。② 结合室内试验和数值模拟,单一裂隙煤岩抗压强度高于复杂裂隙煤岩抗压强度;且当煤岩裂隙倾角以单一裂隙为主时,急倾煤岩抗压强度>缓倾煤岩抗压强度>倾斜煤岩抗压强度。③ 单一裂隙煤岩相较于复杂裂隙煤岩,复杂程度较低,煤岩初始损伤较低,在裂纹加速扩展阶段,储存的应变能急速剧烈释放,宏观表现为破碎程度较高的剪切破坏。 ④ 基于裂隙发育数量建立包含峰后阶段的煤岩损伤变量,煤岩损伤演化过程呈指数型增长,分为近似无损、初始损伤、损伤稳定发展阶段、损伤加速发育阶段、残余损伤阶段,该损伤规律可为矿山灾害预测提供理论支撑。

     

    Abstract: The development and expansion of fractures in coal rocks are the primary causes of mining disasters, such as gas outbursts, rock bursts, and instability of coal pillars. Investigating the fracture evolution process and damage evolution law in coal rocks is crucial for predicting dynamic hazards in coal mines. Fracture inclination angle and porosity are significant factors influencing the propagation behavior of fractures in coal rocks. In this study, we conducted uniaxial compression tests, CT electron scanning, and nuclear magnetic resonance experiments to analyze the mechanical properties and pore-fracture structure of coal rocks. We characterized the fractal dimension of internal fractures in coal rocks by analyzing their distribution characteristics along with fracture inclination angles. Additionally, numerical simulations were employed to analyze the propagation and damage evolution laws of fractures with different inclination angles in coal rocks. The research findings demonstrate that: ① The degree and distribution characteristics of fracture inclination angles significantly impact the complexity and fracturing behavior of coal rock; when a single dominant fracture exists, steeply inclined coal rock exhibits higher compressive strength compared to gently inclined or nearly vertical ones; compressive strength is higher for single-fractured coals than complex-fractured ones. ② Porosity is the primary factor influencing the compressive strength of coal rock of the same type. As porosity increases, the compressive strength of coal rock decreases and exhibits a direct correlation with the presence of large pores. ③ Single-fracture coal and rock exhibit a lower level of complexity compared to complex fractured ones. This results in reduced stress concentration during compression, leading to less initial damage. However, during accelerated crack propagation, there is a rapid release of stored strain energy, resulting in higher levels of shear failure. ④ By establishing a variable for coal and rock damage based on the number of developed fractures, it can be observed that the evolution process follows an exponential growth pattern. This process can be divided into stages including approximate intactness, initial damage, stable development of damage, accelerated development of damage, and residual damage. Such observations provide theoretical support for predicting mining disasters.

     

/

返回文章
返回