高级检索

基于疏水降压法井筒渗水模拟试验与应用研究

Experimental and applied research on wellbore water seepage simulation based on hydrophobic depressurization method

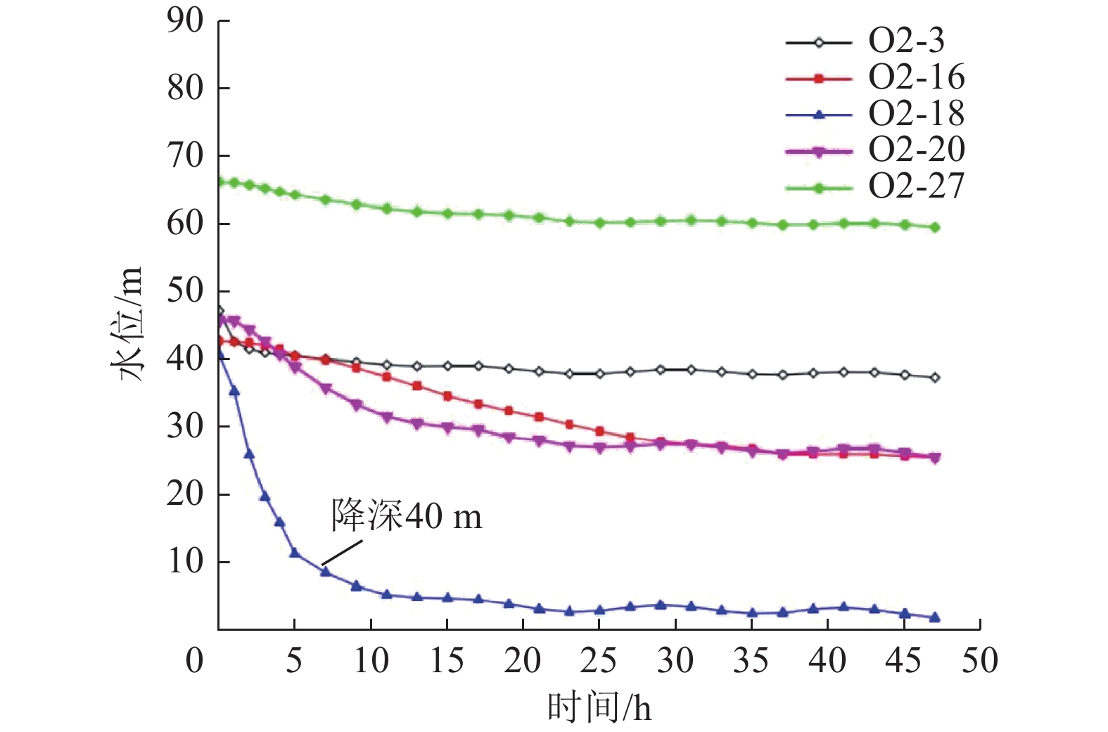
  • 摘要: 随着我国煤炭资源不断向深部开发,复杂的岩层赋存条件对井筒的建设和使用带来很大挑战。深部立井经常穿越多层含水层,顶板承压水造成的井壁渗水问题尤为严重,不仅威胁到矿井安全,还给传统的注浆治理方法带来挑战,如成本高、施工难度大和渗漏重复等问题。为此基于疏水降压理论建立了一套可视化相似模拟试验平台,模拟了不同岩层、不同放水孔数条件下的井壁水压、放水孔流量变化,分析了放水孔流速与渗流规律、地下水降落漏斗形态发育规律以及渗流水压和井壁压力变化规律,并以彬长文家坡煤矿为例开展了现场疏放水试验。结果表明:出水口流速随管道通径增大而增大;双孔涌水流量相比单孔增幅较大,三孔涌水量增幅较小;距井越近水位降深越大,降落漏斗影响范围随放水孔数增加而增大,单层放水试验降落漏斗形状与降水孔保持对称状,漏斗底端呈现锥形。放水初期水压下降快,后期趋于稳定;将模拟试验结果应用于现场,通过在文家坡煤矿主副井之间打疏放水孔,进行单孔和双孔放水试验,单孔稳定涌水量为75 m3/h、双孔稳定涌水量为175 m3/h,试验显著降低了地下水位,并形成了最大降深达40 m的降落漏斗,现场实测与相似模拟试验结果较为吻合,验证了疏水降压治理方法的科学性和实际效果。研究成果有助于推动深部顶板承压含水层影响下井筒渗水防治技术的进步。

     

    Abstract: With the continuous development of China’s coal resources to the deep end, the complex conditions of rock stratum existence bring great challenges to the construction and use of shafts. Deep vertical shafts often traverse multi-layer aquifers, and the seepage problem of the shaft wall caused by roof pressure water is particularly serious, which not only threatens the mine safety, but also brings challenges to the traditional grouting management methods, such as high cost, difficult construction and repeated seepage problems. In this regard, a set of visual similar simulation experiment platform was established based on the hydrophobic pressure reduction theory, simulated the water pressure of the well wall and the change of the flow rate of the water discharge holes under the conditions of different rock formations and different number of water discharge holes, analyzed the flow rate and seepage law of the water discharge holes, the development law of the morphology of the groundwater landing funnels, and the change law of the seepage water pressure and the pressure law of the well wall. And take Binchang Wenjiapo coal mine as an example to carry out on-site water discharge test. The results show that: the flow rate at the outlet increases with the increase of pipe diameter; the water flow rate of two holes increases more than that of a single hole, and the water flow rate of three holes increases less; the closer to the well, the deeper the water level drops, the influence range of the landing funnel increases with the increase of the number of discharge holes, the shape of the landing funnel of the single-layer water discharge experiment is kept symmetrically with the descending holes, and the bottom end of the funnel shows a conical shape. The water pressure decreases quickly in the early stage of water discharge, and tends to stabilize in the later stage; the results of the simulation experiment are applied to the field, and the single-hole and double-hole water discharge tests are carried out by drilling sparse discharge holes between the main and auxiliary wells of the Wenjiapo Mine, and the stabilized water influx in the single-hole is 75 m3/h, and the stabilized water influx in the double-hole is 175 m3/h. The test has significantly lowered the groundwater level, and formed the landing funnel with a maximum depth of 40 m. The actual measurement in the field is more in agreement with the results of the simulation experiment, which verifies the similarity with the results of the simulation experiment. Simulation test results are more consistent, verifying the scientific and practical effect of the hydrophobic bucking management method. The results of this research can help to promote the progress of wellbore water seepage control technology under the influence of deep roof pressurized aquifer.

     

/

返回文章
返回