Abstract:
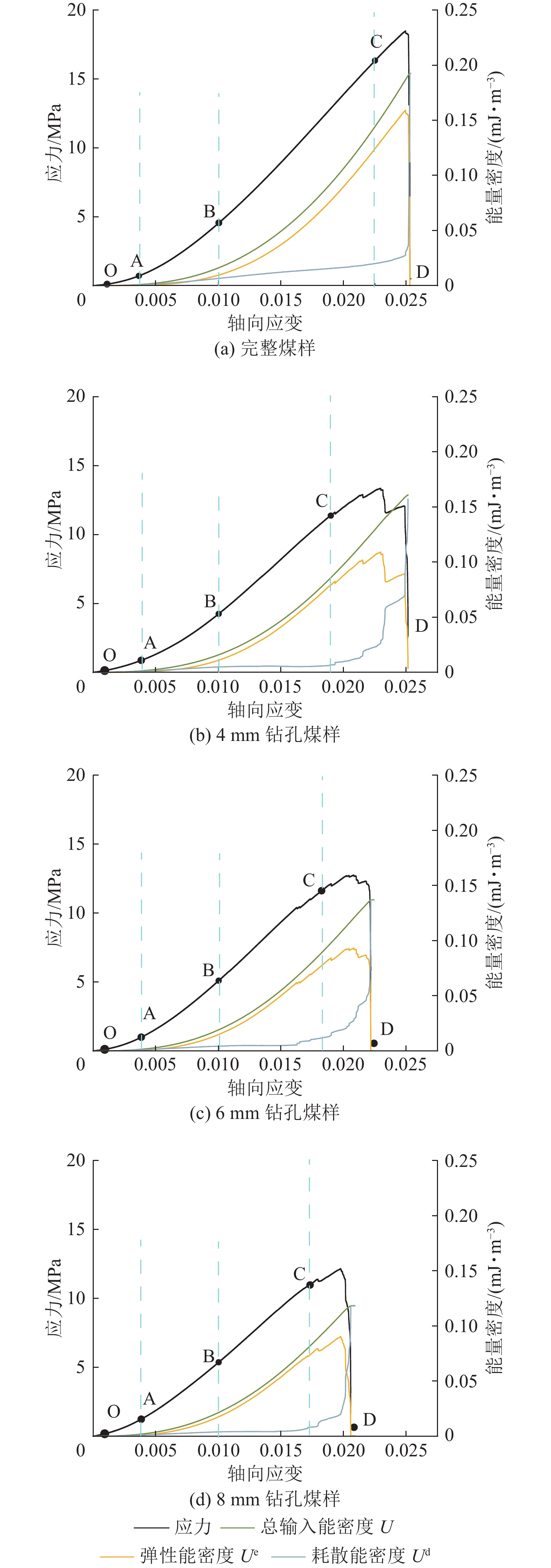
Coal seam drilling unloading is the most widely used impact ground pressure prevention and control technology in the field, in order to explore the influence of hole defects on the mechanical properties, energy accumulation and release, and damage mode of the coal body, the uniaxial loading test, combined with particle discrete element simulation, respectively, from the macro and fine viewpoint to study the stress-strain curve, energy evolution, crack expansion and damage characteristics of the coal samples with different hole diameters. The results show that the mechanical parameters of the hole-containing coal samples are significantly lower than those of the intact coal samples, and the peak strength, peak strain and modulus of elasticity of the hole-containing coal samples show a tendency of attenuation with the increase of the diameter of the drill hole. During the loading process, the hole-containing coal samples showed a sudden drop in stress before the peak stress, which was more obvious in the numerical simulation, indicating that the presence of the drill holes damaged the original structure of the coal samples and weakened their bearing capacity. The energy evolution laws of intact and hole-containing coal samples are basically the same, with elastic energy accumulation dominating before the peak strength is reached, and dissipated energy increasing sharply after the peak strength. Compared with other mechanical parameters, the elastic energy index decreased more. The larger the drilling diameter, the smaller the strain corresponding to the sharp increase in the energy dissipation ratio, and thus the less likely to accumulate energy for impact damage. Comparing the stress field distribution before and after the damage of coal samples through numerical simulation, it can be seen that the value and distribution range of tensile stress increase with the increase of the borehole diameter, and the borehole diameter has a significant effect on the expansion of the tensile stress region and the magnitude of the tensile stress. From the analysis of stress tensor evolution, it is found that both the magnitude and direction of stress have a guiding effect on the emergence and development of the fissure, and there will be an obvious stress deflection phenomenon around the drill hole.