高级检索

新型同步润滑高水基柱塞泵及其系统建模与特性研究

System modelling and characteristic research of novel high water-based synchronous lubrication piston pump

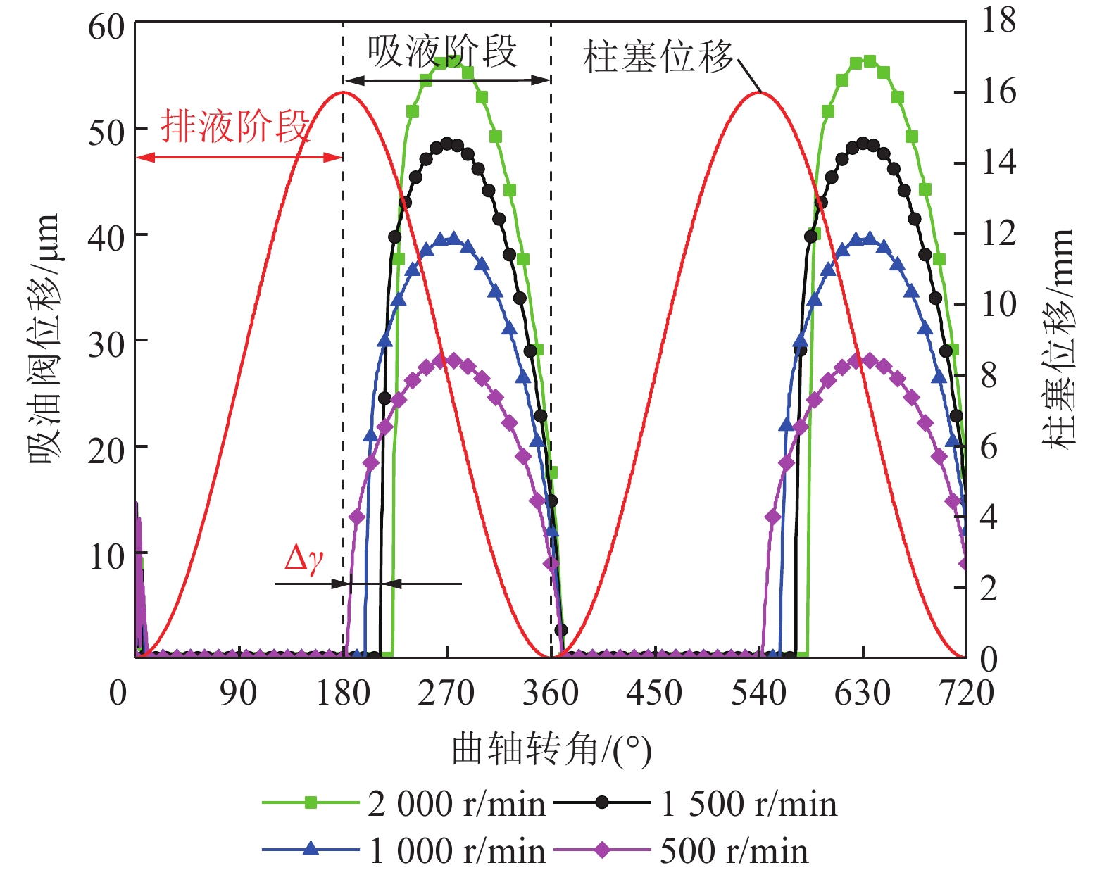
  • 摘要: 扩大高水基柱塞泵转速范围利于煤矿综采工作面供液系统的宽幅智能化调控。针对传统低压润滑条件下由关键摩擦副润滑不足导致的高水基柱塞泵转速受限问题,开发了一种基于阶梯形柱塞、满足高转速运行的高水基柱塞泵结构及其同步润滑方法。为深入了解其系统特性与摩擦副同步润滑效果,构建基于AMESim/Simulink的系统联合仿真模型,对润滑腔与工作腔压力动态耦合、阀芯启闭特性,以及反映同步润滑条件下摩擦副润滑效果的滑靴副油膜特性开展研究。进一步,讨论泵转速对其影响。最后,通过样机试验测试高水基柱塞泵在高转速工况下的流量特性。结果表明:所提出的新型同步润滑方法可使柱塞泵润滑腔在柱塞排液阶段同步产生随转速升高而压力增大的润滑油。随着泵转速的增大,滑靴副膜厚下降,但静压作用时间延长会引起泄漏量增大。在500~2 000 r/min转速范围内滑靴的油膜厚度介于8.1~17.5 μm,满足流体润滑需求;试验结果表明:当转速为500 r/min和1 500 r/min时,实测流量脉动小于数值计算结果,柱塞泵的模拟与试验平均输出流量偏差分别约为7.8%和8.1%,流量脉动随着转速增大而增大,新型高水基柱塞泵可满足高速工况运转需求;同时,相对于柱塞运动,柱塞工作腔与润滑腔压力的建立,以及吸、排液阀的启闭均会产生滞后,且随着泵转速的增加更为明显,从而影响系统容积效率与流量脉动率。研究结果验证了新型同步润滑高水基柱塞泵应用于高转速工况的可行性,同时指出了部分不足及其产生原因,为新型同步润滑柱塞泵的后续改进和优化奠定理论基础与试验依据。

     

    Abstract: Expanding the speed range of high water-based piston pump is beneficial to the wide intelligent control of liquid supply system in fully mechanized coal mine. Aiming at the speed limitation of high water-based piston pumps caused by insufficient lubrication of key friction pairs under traditional low-pressure lubrication conditions, the group developed a high water-based piston pump structure and its synchronous lubrication method based on a stepped plunger to meet the high-speed operation. In order to deeply understand the system characteristics and synchronous lubrication effect of the friction pair, a system co-simulation model based on the software AMESim/Simulink is built to study the dynamic coupling characteristics between the lubrication and the working cavity, as well as the oil film characteristics of the slipper pair, which can reflect the lubrication effect of the friction pair under synchronous lubrication conditions. Further, the influence of pump speed on it is discussed. Finally, the flow characteristics of high water-based piston pump at high speed were tested by prototype test. The results show that the proposed synchronous lubrication method can produce lubricating oil in the lubrication chamber with increasing speed. With the increase of pump speed, the thickness of slipper auxiliary film decreases, and the extension of static pressure action time causes the increase of leakage. The oil film thickness of slipper boots ranges from 8.1 to 17.5 μm at the speed range of 500 to 2 000 r/min, meeting the needs of fluid lubrication. The experimental results show that when the speed is 500 r/min and 1 500 r/min, the deviation of the simulated and experimental average output flow of the piston pump is about 7.8% and 8.1%, respectively. The flow pulsation increases with the increase of the speed, and the measured flow pulsation is smaller than the numerical calculation result. The novel high water-based piston pump meets the demands of high-speed operation. Meanwhile, the establishment of pressure in the piston working chamber and lubrication chamber, as well as the opening and closing of the suction and discharge valves will have a hysteresis relative to the plunger movement, and become manifest with the increased pump speed, thus affecting the system volumetric efficiency and flow rate of pulsation. The research results verify the feasibility of the new synchronous lubrication high water-based piston pump applied to the high-speed conditions, and the causes of existing problems are analyzed, which will lay a theoretical and experimental basis for subsequent improvement and optimization.

     

/

返回文章
返回