高级检索

不同探针分子测试煤微观孔隙结构特征对比

Comparative analysis of pore structure parameters of coal adsorbed by different gas probe molecules

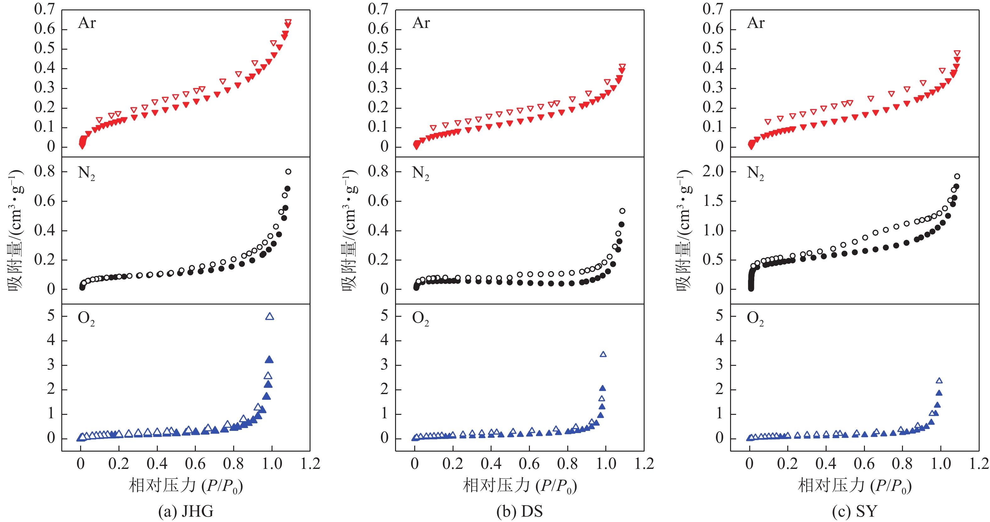
  • 摘要: 煤体微观孔隙结构的准确表征对深入了解煤的内部结构和气体吸附、解吸和扩散特性具有重要意义。在液氮(77 K)条件下,对3种变质程度的煤进行低压氩气吸附试验(LPGA-Ar)、低压氮气吸附试验(LPGA-N2)和低压氧气吸附试验(LPGA-O2),分析了煤的吸附变化规律;应用试验数据和非局部密度泛函理论(NLDFT),对煤的孔隙结构参数进行表征。结果表明:煤对Ar、N2和O2气体的吸附过程包含微孔填充、单层吸附、多层吸附以及毛细凝聚现象,其中煤对N2的吸附量略高于Ar,对O2的吸附量是N2的2~8倍。煤吸附/脱附等温线的滞后类型在不同探针分子测试试验中均属于同一类型即H3型,揭示了煤中含有大量狭缝形孔隙。在77 K测试温度下,不同探针分子测试的孔径范围不同,即Ar探针分子为0.87~12 nm;N2探针分子为1.09~250 nm;O2探针分子为0.81~50.82 nm。而煤样的孔径分布在不同探针分子测试下均呈“多峰”分布,其中在微孔范围内都表现为“单峰”特性。与N2、O2探针分子相比,Ar探针分子可以准确分析2~10 nm孔隙参数,同时Ar和O2探针分子可以进入极微孔(0.7~2 nm)。3种探针分子都很难对微孔孔容进行准确表征,尤其是N2探针分子。此外,不同探针分子测试下煤样的微孔和介孔比表面积贡献率不同,说明微孔是决定煤对N2吸附的主要因素,而煤对Ar和O2吸附则是介孔占主导。

     

    Abstract: The accurate characterization of the microscopic pore structure of coal is of great significance to the in-depth understanding of the internal structure of coal and the characteristics of gas adsorption, desorption and diffusion. Under the condition of liquid nitrogen (77 K), the low pressure argon adsorption experiment (LPGA-Ar), low pressure nitrogen adsorption experiment (LPGA-N2) and low pressure oxygen adsorption experiment (LPGA-O2) are carried out on the coal with three kinds of metamorphic degrees, and the changes of coal adsorption are analyzed. Using experimental data and non-local density functional theory (NLDFT), the pore structure parameters of coal are characterized. The results show that the adsorption processes of Ar, N2 and O2 by coal include micropore filling, single-layer adsorption, multi-layer adsorption and capillary condensation. The adsorption capacity of N2 by coal is slightly higher than that of Ar, and the adsorption amount of O2 is 2−8 times that of N2. The hysteresis types of coal adsorption/desorption isotherms are of the same type in different probe molecular tests, that is, H3 type, which reveals that coal contains a large number of slit pores. At the test temperature of 77 K, the pore size range of different probe molecules is different, that is, the Ar probe molecules are 0.87−12 nm; the N2 probe molecules are 1.09−250 nm; the O2 probe molecules are 0.81−50.82 nm. However, the pore size distribution of coal samples shows a “multi-peak” distribution under different probe molecular tests, and it shows a “single-peak” characteristic in the range of micropores. Compared with N2 and O2 probe molecules, Ar probe molecules can accurately analyze 2−10 nm pore parameters, and Ar and O2 probe molecules can enter narrow micropores (0.7−2 nm). It is difficult to accurately characterize the pore volume of the three probe molecules, especially N2 probe molecule. In addition, the contribution rates of micropores and mesoporous specific surface areas of coal samples under different probe molecular tests are different, indicating that micropores are the main factor determining the adsorption of N2 by coal, while the adsorption of Ar and O2 is dominated by mesoporous pores.

     

/

返回文章
返回