高级检索

不同单轴压缩应力条件下煤吸附CO2后颗粒破碎演化规律研究

Study on evolution law of particle breakage after coal adsorption of CO2 under different uniaxial compression stress conditions

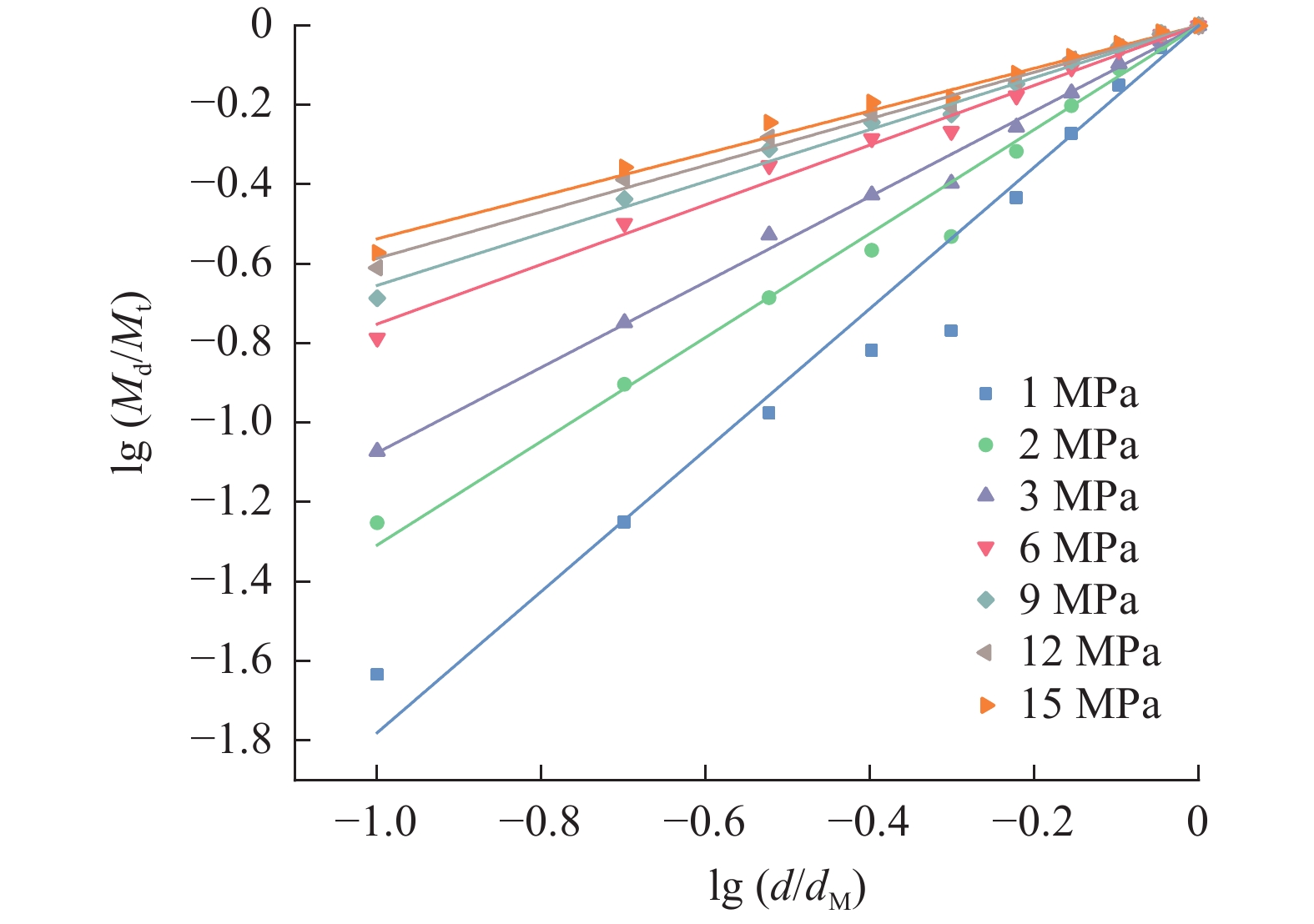
  • 摘要: 煤层开采完成后,地下形成了大量的裂隙空间,其中存在一层或多层遗煤,甚至可能包括完整的不可采煤层。这为利用煤矿采空区进行的CO2的物理封存(包括游离态和吸附态CO2)提供了新的可能。在煤矿采空区的CO2封存过程中,不同应力分布条件下煤颗粒的破碎和压实特性将发生变化,可能引起采空区储层渗透性变化和微震活动,严重的将导致CO2泄漏,危及CO2封存的安全性。通过比较吸附和未吸附CO2的煤样在不同轴向应力条件下的粒径级配特征、破碎特性和压实特性,揭示了不同应力条件对渗透性的影响。研究结果表明:吸附CO2对煤颗粒的粒度级配产生了显著影响,煤样吸附CO2后的粒度分布与Mandelbrot分形分布之间呈现良好的一致性;吸附CO2增加了煤的破碎倾向,特别是在轴向压力较小时,相对破碎率和绝对破碎率随着轴压的增大逐渐增加。对于压实过程和空隙率,CO2吸附在轴压较小时具有显著影响,但随着轴压的增大,这种影响减弱。结合实验结果和前人研究,提出了采空区煤岩体吸附CO2后渗透率的计算方法,结果表明在吸附CO2过后破碎煤体变得更加密实,吸附影响系数随着应力的增加呈现非线性的变化。研究结果为煤矿采空区CO2封存的安全性评估以及CO2注入后采空区后泄漏的防治提供了重要理论参考。

     

    Abstract: After the completion of coal seam mining, a rich fracture space is formed underground, in which there is one or more layers of residual coal, and may even include a complete unminable coal seam. This provides a new possibility for the physical storage of CO2 ( including free and adsorbed CO2 ) in coal mine goaf. In the process of CO2 storage in coal mine goaf, the crushing and compaction characteristics of coal particles will change under different stress distribution conditions, which may cause permeability changes and microseismic activities in goaf reservoirs, and seriously lead to CO2 leakage, endangering the safety of CO2 storage. The effects of different stress conditions on permeability were revealed by comparing the particle size gradation characteristics, crushing characteristics and compaction characteristics of coal samples with and without CO2 adsorption under different axial stress conditions. The results show that the adsorption of CO2 has a significant effect on the particle size distribution of coal particles, and the particle size distribution of coal samples after adsorption of CO2 is in good agreement with the Mandelbrot fractal distribution. The adsorption of CO2 increases the crushing tendency of coal, especially when the axial pressure is small, the relative crushing rate and absolute crushing rate gradually increase with the increase of axial pressure. For the compaction process and porosity, CO2 adsorption has a significant effect when the axial pressure is small, but this effect weakens with the increase of axial pressure. Combined with the experimental results and previous studies, the calculation method of permeability of coal and rock mass in goaf after CO2 adsorption is proposed. The results show that the broken coal becomes more dense after CO2 adsorption, and the adsorption influence coefficient changes nonlinearly with the increase of stress. The research results provide an important theoretical reference for the safety evaluation of CO2 storage in coal mine goaf and the prevention and control of leakage after CO2 injection in goaf.

     

/

返回文章
返回