高级检索

氨基酸体系下水合物法提纯低浓度瓦斯实验研究

Experimental study on purification of low concentration coalbed methane by hydrate method under amino acid system

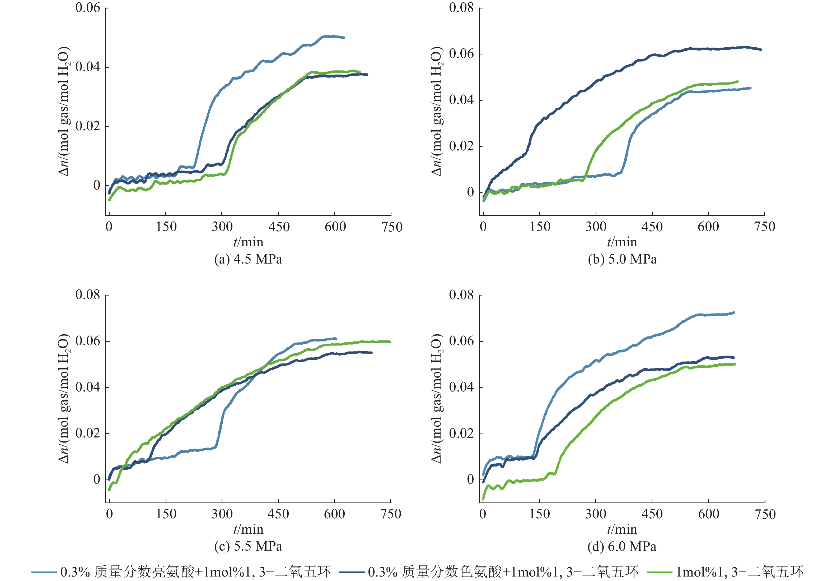
  • 摘要: 开发利用低浓度瓦斯资源,对于缓解能源紧缺、消费结构不合理等问题具有重要意义。亮氨酸、色氨酸是促进水合物生成的高效绿色动力学促进剂,为了促进水合物快速生成,选择亮氨酸、色氨酸及来研究其对甲烷水合物生成的促进效果。然而,其与1,3−二氧五环协同作用下对水合物法分离瓦斯的影响尚不清楚。氨基酸是一种促进水合物生成的高效绿色动力学促进剂,可用于气体储存与运输技术。为了研究氨基酸与热力学促进剂1,3−二氧五环两者协同作用下对水合物分离低浓度瓦斯的影响,以亮氨酸、色氨酸和1,3−二氧五环为添加剂,研究了不同体积分数添加剂体系下30% CH4+70% N2混合气体的水合物生成动力学过程和气体分离效率,分析了在氨基酸协同作用下的水合物形貌、诱导时间、气体消耗速率、气体消耗量、气体分离效率。实验结果表明:水合物分解而出的气体中的CH4体积分数相比于原料气体有了极大提高,分解气体中的CH4体积分数范围为43.92%~57.41%,CH4回收率为42.11%~62.20%,所有体系都能有效分离30%CH4+70%N2混合气中的CH4气体。其中当压力为6 MPa时,0.3%质量分数亮氨酸+1 mol% 1,3−二氧五环复配体系中CH4+N2的分离提纯效果最好,CH4体积分数为56.46%,回收率为64.2%。相比单一的 1,3−二氧五环体系,加入亮氨酸、色氨酸之后的复配体系进一步增强了分离提纯30%CH4+70%N2效果,具有良好的应用前景,同时为低浓度瓦斯的开发利用提供了理论基础。

     

    Abstract: The development and utilization of low-concentration gas resources is of great significance to alleviate the problems of energy shortage and unreasonable consumption structure. Leucine and tryptophan are highly effective green kinetic promoters to promote hydrate formation, in order to promote the rapid formation of hydrates, leucine and tryptophan were selected to study their methane hydrate formation promotion effects. However, their effects on coalbed methane separation by hydrate method in synergy with 1,3−dioxolane are not known. Amino acids are efficient green kinetic promoters for hydrate generation and can be used in gas storage and transportation technologies. In order to study the effect of both amino acids and the thermodynamic promoter 1,3−dioxolane on hydrate separation of low concentration CBM under synergistic effect, the kinetic process of hydrate generation and the gas separation efficiency of 30% CH4+70% N2 gas mixture under different volume fraction of additives system were investigated by using leucine, tryptophan, and 1,3−dioxolane as the additives and the effect of amino acids synergism on the hydrate morphology, induction time, gas consumption rate, gas consumption, gas separation efficiency under the synergistic effect of amino acids. The experimental results showed that the CH4 volume fraction in the gas resulting from hydrate decomposition was greatly improved compared with that of the feed gas, and the CH4 volume fraction in the decomposed gas ranged from 43.92% to 57.41%, the CH4 recovery rate was from 42.11% to 62.20%, and all the systems were able to efficiently separate the CH4 gas in the mixture of 30% CH4+70% N2. Among them, when the pressure was 6 MPa, the separation and purification of CH4+N2 in the 0.3 wt% leucine + 1 mol% 1,3−dioxolane complex system was the best, with a CH4 volume fraction of 56.46% and a recovery of 64.2%. Compared with the single 1,3−dioxolane system, the complex system with the addition of leucine and tryptophan further enhanced the separation and purification of 30% CH4+70% N2, which has good application prospects and provides a theoretical basis for the development and utilization of low concentration coalbed methane.

     

/

返回文章
返回