高级检索

考虑气、水吸附及应力的各向异性渗透率模型

Anisotropic permeability model considering gas and water adsorption and stress

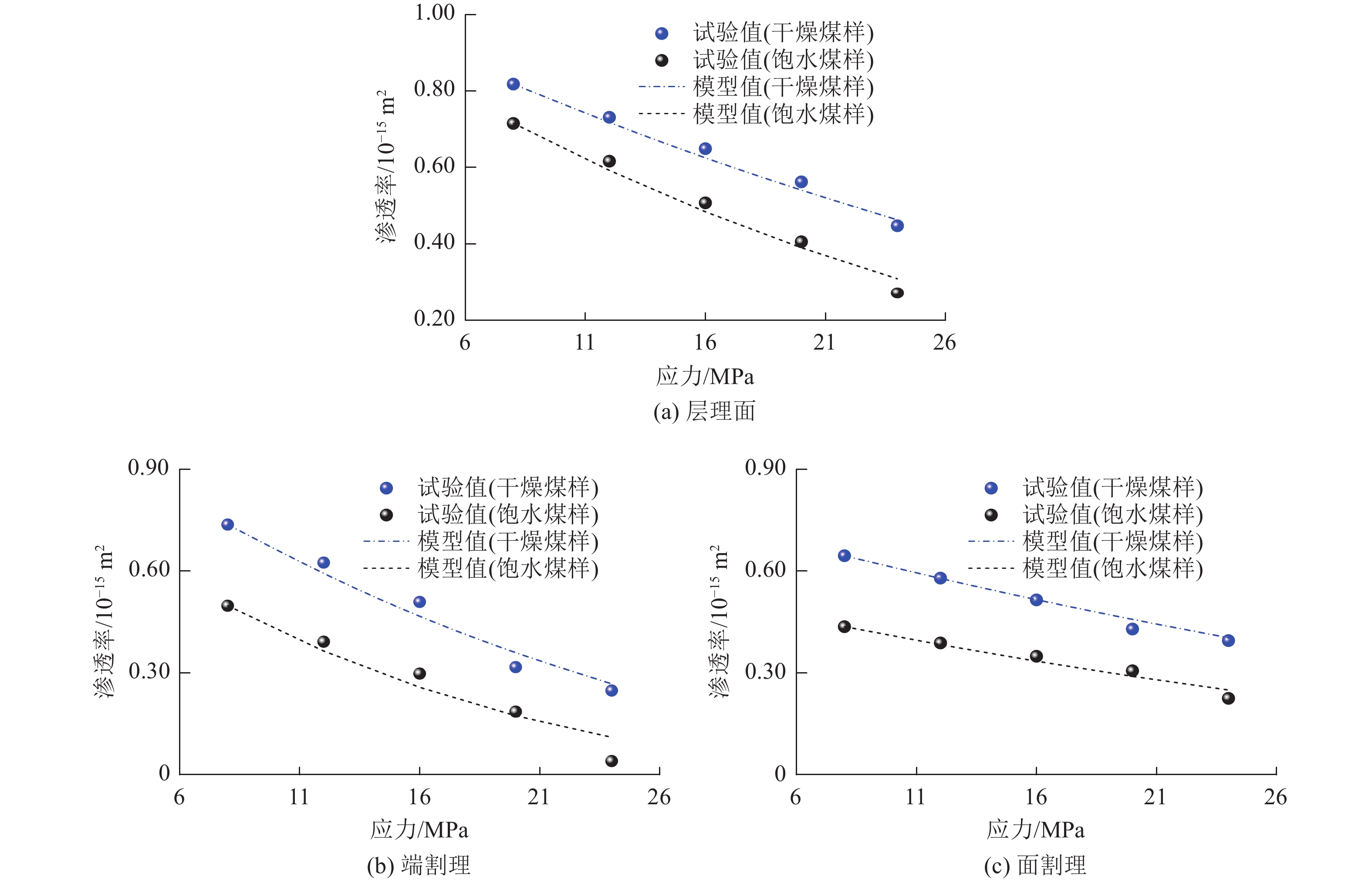
  • 摘要: 煤层气作为非常规天然气资源,合理的开发利用有利于减少瓦斯涌出推进清洁能源低碳化发展,消除重大瓦斯事故隐患。然而,由于煤岩内部结构的各向异性及其所处的气水共存环境使瓦斯渗流行为变得十分复杂。为探究抽采过程中瓦斯渗流规律,基于煤岩各向异性的结构特征及立方定律,构建考虑含水率、气体压力和应力多因素影响的各向异性渗透率模型。提出吸气膨胀参数Cs和吸水膨胀参数Cθ,对基质吸附气体诱导的膨胀变形和基质吸附水分诱导的膨胀变形进行量化。利用公开发表的试验数据与本文渗透率模型的计算值进行对比,模型计算结果与试验数据变化规律一致,所建模型较好地反映气、水吸附与应力协同作用下瓦斯渗流特性。研究结果表明:在真三轴应力作用下,不同方向的渗透率存在差异,气体渗流表现出较强的各向异性;恒定气体压力及外应力下,渗透率随含水率的增大呈减小的变化趋势;渗透率随含水率的变化与Cθ随含水率的变化呈相反的趋势,与Cs随气体压力的变化呈相同的趋势;在敏感性分析中,分别对吸气膨胀参数Cs、吸水膨胀参数Cθ及孔隙度φ进行10%的正负扰动,发现Cθ对煤岩渗透率演化的影响最大,孔隙度φ对煤岩渗透率演化的影响最小。研究结果可为准确评估煤岩渗透率提供理论依据,同时也为提高瓦斯抽采率提供理论指导。

     

    Abstract: As an unconventional natural gas resource, the rational exploitation of coalbed methane (CBM) is conducive to the reduction of gas outflow, the promotion of clean energy and low-carbon development, and the elimination of major gas accident hazards. However, the anisotropy of the internal structure of coal rock and its gas-water coexistence environment make the gas seepage behaviour very complicated. In order to investigate the gas seepage law during the extraction process, this paper constructs an anisotropic permeability model based on the anisotropic structural characteristics of coal rock and the cubic law, which takes into account the effects of water content, gas pressure and stress. The gas-absorption expansion parameter Cs and water-absorption expansion parameter Cθ are proposed to quantify the matrix adsorption gas-induced expansion deformation and matrix adsorption water-induced expansion deformation. Comparing the published test data with the calculated values of the permeability model in this paper, the model calculation results are consistent with the change rule of the test data, and the proposed model better reflects the gas seepage characteristics under the synergistic effect of gas and water adsorption and stress. The results show that: under the action of true triaxial stress, the permeability in different directions differs, and the gas seepage shows strong anisotropy; under constant gas pressure and external stress, the permeability shows a decreasing trend with the increase of water content; the change of permeability with the water content shows an opposite trend to the change of Cθ with the water content, and the same trend to the change of Cs with the gas pressure; in the sensitivity analyses, the 10% positive and negative perturbations were applied to the gas-absorption expansion parameter Cs, the water-absorption expansion parameter Cθ and the porosity φ, respectively, and it was found that Cθ had the greatest influence on the evolution of coal rock permeability, and the porosity φ had the smallest influence on the evolution of coal rock permeability. The results of the study can provide a theoretical basis for accurately assessing the permeability of coal rock, and also provide theoretical guidance for improving the gas extraction rate.

     

/

返回文章
返回