高级检索

聚羧酸减水剂对硫铝酸盐水泥基注浆材料影响

Effect of polycarboxylic acid superplasticizer on sulphoaluminate cement based grouting material

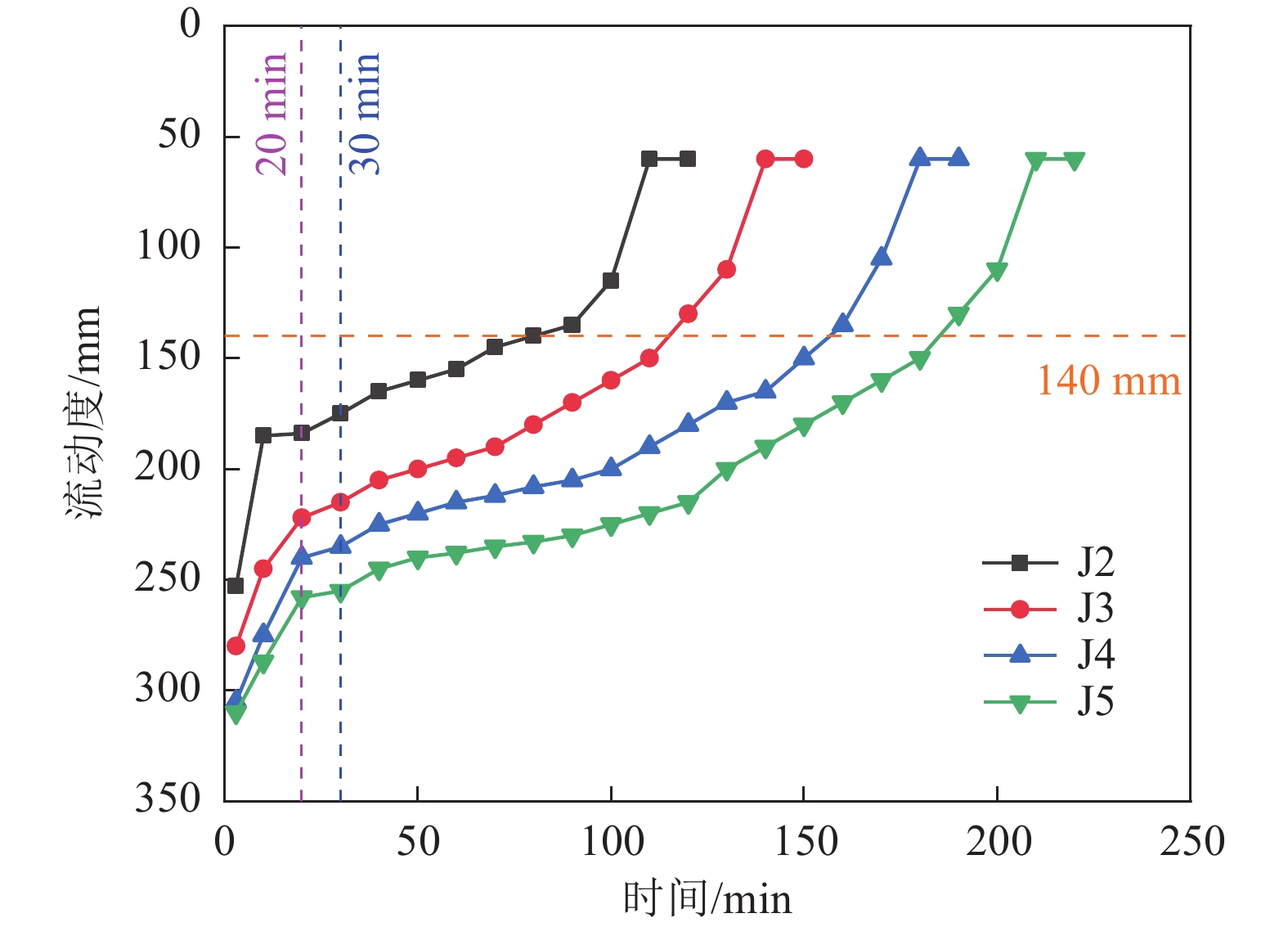
  • 摘要: 埋深及开采强度不断增加,普通硅酸盐水泥基注浆加固材料愈发难以满足工程要求。硫铝酸盐水泥较普通硅酸盐水泥能耗更低、更环保,更符合碳达峰、碳中和理念。但其价格较高,且凝结过快,限制了其在注浆领域的应用。为此,以掺加工业固废、降低成本和高效利用为出发点,在矿渣−脱硫石膏−硫铝酸盐水泥三元复合体系加固材料的基础上,研究了不同水灰比和聚羧酸减水剂对该材料的宏、细观影响,对注浆性能进行了改良优化,并通过现场工程验证了优化后的注浆加固效果,结果表明:① 该材料的力学强度随着水灰比的降低而增加,28 d抗压强度最大为56.56 MPa;② 随着聚羧酸减水剂掺量的增加,凝结时间逐渐延长,流动度逐渐增加,抗压强度呈先增高后降低的趋势, 28 d抗压强度最大可达75.09 MPa,膨胀性无明显变化;③ 根据流动度−时间曲线,将流动度随时间的变化分为4个阶段:快速期(Ⅰ)、缓慢期、快速期(Ⅱ)、稳定期4个阶段,最佳注浆时间段处于缓慢期;④ 聚羧酸减水剂的掺入会延缓水泥的水化进程,但同时会使生成的水化产物结构与形貌更好;⑤ 矿渣∶脱硫石膏∶硫铝酸盐水泥最佳配合比(质量比)为4∶1∶15,外掺0.3%减水剂改善流动度可满足井下注浆要求,同时具备高强度,最佳注浆时段为当前配比下的缓慢期(20~100 min);⑥ 按筛选配比与方式指导鹤煤三矿4204工作面回风巷现场注浆加固工程,明确该工艺具备良好的注浆效果,可充分填充裂隙与有效加固围岩,顶底板和两帮的最大变形量由注浆前的432 mm和324 mm降低至注浆后的233 mm和153 mm,围岩变形得到有效控制,同时具有良好的经济效益。

     

    Abstract: With the increase of buried depth and mining strength, it is more and more difficult for ordinary Portland cement-based grouting reinforcement materials to meet the engineering requirements. Sulphoaluminate cement uses less energy than ordinary Portland cement, is more environmentally friendly, and is more in line with the concept of carbon peak/carbon neutral. However, its high price and fast setting limit its application in the field of grouting. Therefore, based on the reinforcement material of slag-desulfurization gypsum-sulfoaluminate cement terpolymer system, the macro and micro effects of different water-cement ratios and polycarboxylic acid water reducing agents on the material were studied, and the grouting performance was improved and optimized, and the optimized grouting reinforcement effect was verified through field engineering. The results show that: ① The mechanical strength of the material increases with the decrease of the water-cement ratio, and the maximum compressive strength at 28 d is 56.56 MPa; ② With the increase of polycarboxylic acid water reducer content, the setting time gradually extended, the fluidity gradually increased, and the compressive strength showed a trend of first increasing and then decreasing, with the maximum compressive strength of 75.09 MPa at 28 d; ③ According to the flower-time curve, the change of flowability with time can be divided into four stages: rapid stage (Ⅰ), slow stage, rapid stage (Ⅱ) and stable stage, and the best grouting period is in the slow stage; ④ The addition of polycarboxylic acid superplasticizer will delay the hydration process of cement, but at the same time will make the structure and morphology of the generated hydration products better; ⑤ Slag∶desulfurization gypsum∶thioaluminate cement optimal mix ratio (mass ratio) is 4∶1∶15, the addition of 0.3% water-reducing agent to improve the flow can meet the requirements of underground grouting, while having high strength, the best grouting period is the slow period (20−100 min) under the current ratio. ⑥ According to the screening ratio and method, guide the field grouting reinforcement project of the 4204 working surface of Hemay No.3 Mine, confirm that the process has a good grouting effect, can fully fill the cracks and effectively strengthen the surrounding rock, and the maximum deformation of the top and bottom plates and two sides is reduced from 432 mm and 324 mm before grouting to 233 mm and 153 mm after grouting. The deformation of surrounding rock is controlled effectively and has good economic benefits.

     

/

返回文章
返回