高级检索

卤代烷气体灭火剂促进−抑制瓦斯燃爆特性试验

Experiment on the promoting-inhibiting effects on methane explosion by using haloalkanes

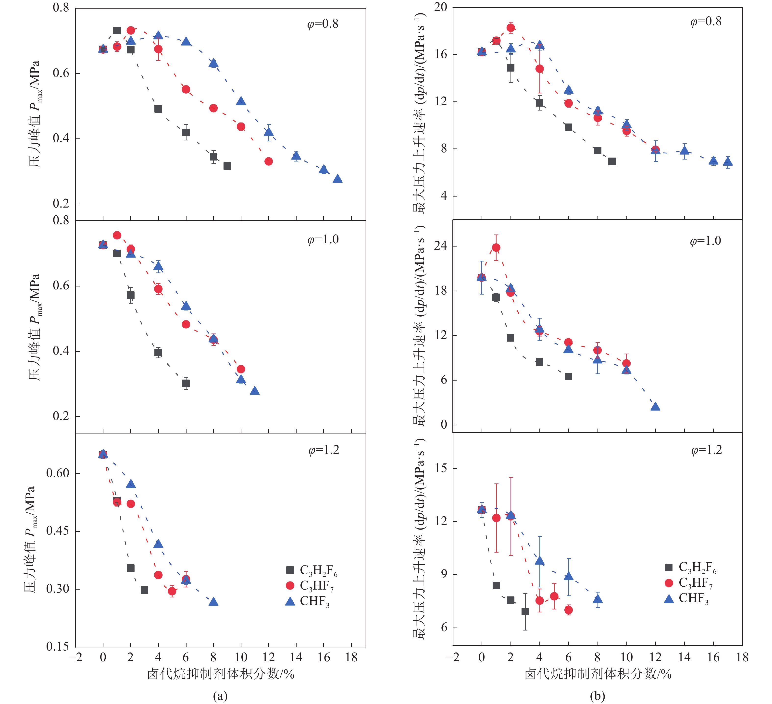
  • 摘要: 瓦斯爆炸是严重威胁煤矿安全生产的主要灾害之一,开发高效的瓦斯抑爆技术可有效提升瓦斯爆炸事故防控水平,而其重点在于抑爆材料的作用性能。为系统研究典型卤代烷气体灭火剂对瓦斯爆炸的作用效果,采用试验测试和理论分析相结合的方法,系统研究了七氟丙烷(C3HF7)、六氟丙烷(C3H2F6)和三氟甲烷(CHF3)等典型卤代烷气体对甲烷燃爆特性的影响,分别利用20 L球形爆炸装置和自研本生灯层流火焰传播速度系统测试了卤代烷对甲烷爆炸压力参数和层流燃烧速度的作用效果。得到了爆炸压力峰值、最大升压速率、层流燃烧速度等特征参数变化规律和层流火焰形貌演化特性。结果表明:富氧工况下卤代烷随添加体积分数的增大而对甲烷燃爆过程表现出明显的促进−抑制双重作用。在化学当量条件下,仅C3HF7对甲烷爆炸压力峰值、最大升压速率有先促进后抑制的作用,CHF3和C3H2F6均表现出抑制作用;3种卤代烷气体对甲烷层流燃烧速度均表现出抑制作用。在贫氧工况中,3种卤代烷气体对甲烷的爆炸压力峰值,最大升压速率和层流燃烧速度均表现出抑制作用。整体而言,C3H2F6和C3HF7对甲烷爆炸压力特征参数和层流燃烧速度的抑制效果优于CHF3。理论分析结果显示,富氧工况下卤代烷随掺混体积分数的增大而表现出的促进−抑制双重作用,可归因于其对体系反应过程中热释放特性的提升与其主要含F中间产物对H、O和OH等关键自由基的抑制之间的竞争结果。研究结果为瓦斯爆炸防治相关理论研究和技术开发提供一定的理论依据。

     

    Abstract: Methane explosion is one of the major disasters that seriously threaten the safety of coal mine production, the development of efficient methane explosion suppression technology can effectively improve the prevention and control level of methane explosion accidents, and its focus is on the function of explosion suppression materials. In order to systematically study the effect of typical haloalkanes extinguishing agents on methane explosion, the effects of typical haloalkanes such as heptafluoropropane (C3HF7), hexafluoropropane (C3H2F6) and trifluoromethane (CHF3) on the ignition and explosion characteristics of methane were systematically studied by combining experimental tests and theoretical analysis. The effects of haloalkanes on methane explosion pressure parameters and laminar burning velocity were tested by a 20 L spherical explosive vessel and a self-developed Bunsen burner laminar flame propagation velocity system. The variation laws of peak explosion pressure, maximum pressure rise rate, laminar burning velocity, and laminar flame morphology evolution were obtained. The results show that with the increase of the added volume fraction, the haloalkanes had a double effect of promoting and inhibiting the methane explosion process. Under the chemical equivalent condition, only C3HF7 can first promote and then inhibit the peak explosion pressure and maximum pressure rise rate of methane, while CHF3 and C3H2F6 can inhibit the effect. The three haloalkanes all showed inhibition on the combustion rate of methane laminar flow. In the oxygen-poor condition, the three haloalkanes inhibited the peak explosion pressure, the maximum pressure boost rate, and the laminar burning velocity of methane. In general, C3H2F6 and C3HF7 have better inhibition effects on methane explosion pressure characteristic parameters and laminar burning velocity than CHF3. The theoretical analysis results show that the double effect of promoting and inhibiting the haloalkanes with the increase of the mixture volume fraction can be attributed to the competition between the improvement of the heat release characteristics of the system reaction and the inhibition of the key free radicals such as H, O, and OH by the main intermediates containing F. The results of this paper provide a theoretical basis for the theoretical research and technical development of methane explosion prevention and control.

     

/

返回文章
返回