Abstract:
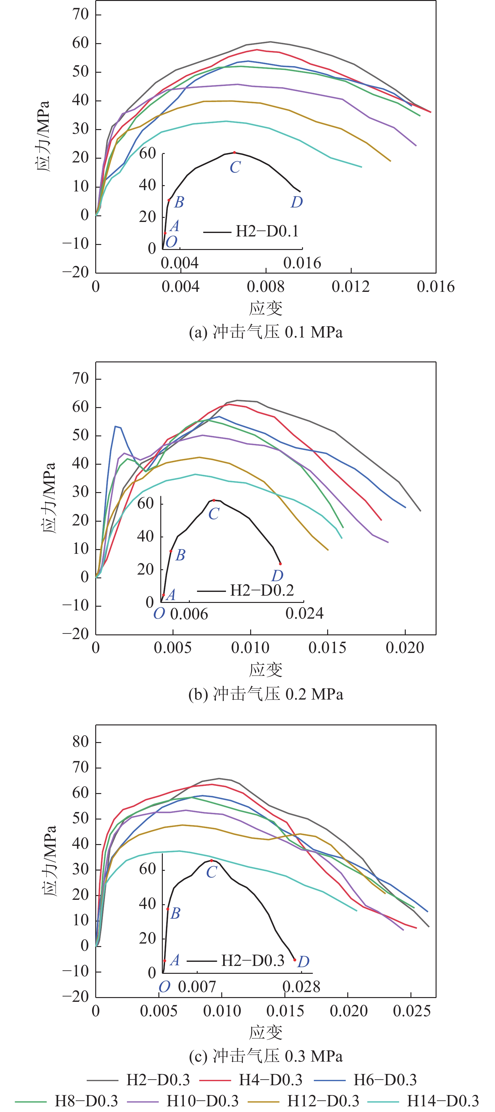
In order to study the mechanical properties and energy dissipation law of pre–drilled coal samples under impact loads, the cylindrical coal samples with a diameter of 50 mm and a height of 50 mm containing axial holes were prepared. a split Hopkinson pressure bar (SHPB) was used to conduct loading experiments with 8 hole sizes and 3 impact pressure levels. Using plane field strain measurement technology (VIC–2D) and high-speed cameras, the dynamic stress, dynamic strain, crack evolution, failure modes and energy dissipation characteristics of the specimens were analyzed. The results indicate that the dynamic stress-strain curve of intact and porous coal samples under impact load exhibit micro crack compaction stage, elastic stage, plastic stage, and failure stage. Under the same impact pressure, as the hole size increases, the dynamic compressive strength and dynamic peak strain both decrease. When the diameter of the hole increases from 0 to 8 mm, the dynamic compressive strength and peak strain of the coal sample show a fast−slow zoning characteristic. Unlike intact coal samples which mainly exhibit tensile failure, porous coal samples mainly exhibit tensile-shear composite failure, and as the hole size increases, the internal crack propagation ability of the specimen weakens. In addition, this article reveals the energy dissipation law of coal samples with hole under impact loads. The transmitted energy and dissipated energy of coal samples with hole are negatively correlated with hole size, while the reflected energy is positively correlated with hole size. This is mainly caused by the changes in the wave impedance of the specimen caused by the hole. As the hole size increases, the wave impedance of the coal sample decreases, and its dissipated and transmitted energy also decrease, which is consistent with the conclusion that the fragmentation degree of coal samples under impact load is negatively correlated with the hole size. The research results are beneficial for clarifying the mechanism of drilling pressure relief in rock burst roadways and providing theoretical support for the prevention and control of rock burst.