高级检索

大倾角煤层伪俯斜工作面平行四边形液压支架结构设计与运动响应

Structural design and motion response of parallelogram hydraulic support in pitching oblique mining face of steeply dipping coal seam

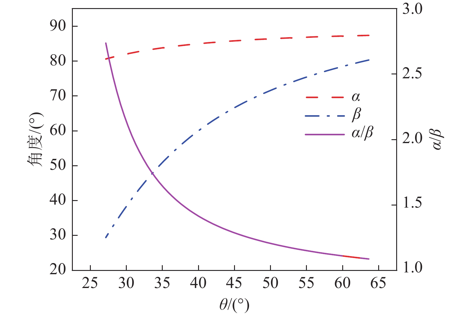
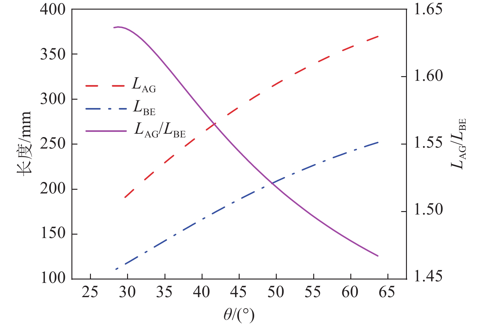
  • 摘要: 液压支架是大倾角煤层伪俯斜工作面“围岩—装备”系统稳定性的核心,现有液压支架结构无法适应伪俯斜开采空间稳定性要求,严重影响了该类条件下工作面安全高效开采。以大倾角煤层伪俯斜开采工作面为研究背景,采用工程类比、结构运动学分析、数值仿真的综合研究方法,分析了大倾角伪俯斜工作面“支架—围岩”稳定性特征,并以ZY7000/22/45型液压支架为基础,发明一种新型平行四边形液压支架,进行了结构合理性设计,分析了关键构件运动学响应特征。研究表明:大倾角伪俯斜综采工作面垮落矸石非均匀填充以及矸石对支架的砸、压、推作用是影响支架稳定性的关键因素,平行四边形顶梁与底座更适应伪俯斜工作面。设计的平行四边形支架顶梁、底座及立柱排布方式为平行四边形,异形掩护梁与后连杆、油缸连杆、底座构成柔性四连杆结构。平行四边形支架立柱为主要承载结构,油缸连杆为主要运动机构,其运动特征影响因素主要为上下柱窝间距和前后连杆与掩护梁铰接位置间距,其中掩护梁与后连杆是支架位姿调控的关键,且支架运动过程中无双扭线产生。研究结果为该类条件工作面支架提供了一种选型,一定程度上保障了该类煤层的安全生产。

     

    Abstract: The hydraulic support is the core of the stability of the ‘surrounding rock and equipm ent’ system in the pitching oblique working face of steeply dipping coal seam. The existing hydraulic support structure can not meet the requirements of spatial stability of pitching oblique mining, which seriously affects the safe and efficient mining of working face under such conditions. Taking the pitching oblique working face of steeply dipping coal seam as the research background, the comprehensive research methods of engineering analogy, structural kinematics analysis and numerical simulation are used to analyze the stability characteristics of ‘support-surrounding rock’ in the pitching oblique working face of steeply dipping coal seam. Based on ZY7000/22/45 hydraulic support, a new parallelogram hydraulic support is invented, the structural rationality design is carried out, and the kinematic response characteristics of key components are analyzed.The research shows that the non-uniform filling of the caving gangue and the crushing, pressing and pushing effect of the gangue on the support are the key factors affecting the stability of the support. The parallelogram top beam and the base are more suitable for the pitching oblique working face. The arrangement of the top beam, base and column of the parallelogram support is parallelogram. The special-shaped shield beam, the rear connecting rod, the oil cylinder connecting rod and the base constitute a flexible four-link structure. The column of the parallelogram support is the main bearing structure, and the cylinder connecting rod is the main motion mechanism. The main influencing factors of its motion characteristics are the distance between the upper and lower column sockets and the distance between the front and rear connecting rods and the hinged position of the shield beam. The shield beam and the rear connecting rod are the key to the position and posture control of the support, and there is no double torsion line during the movement of the support. The research results provide a type selection for the support of this kind of working face, which ensures the safe production of this kind of coal seam to a certain extent.

     

/

返回文章
返回