高级检索

防治煤自燃的高堆积固化泡沫的制备及应用

Preparation and application of high accumulation solidified foam for preventing coal spontaneous combustion

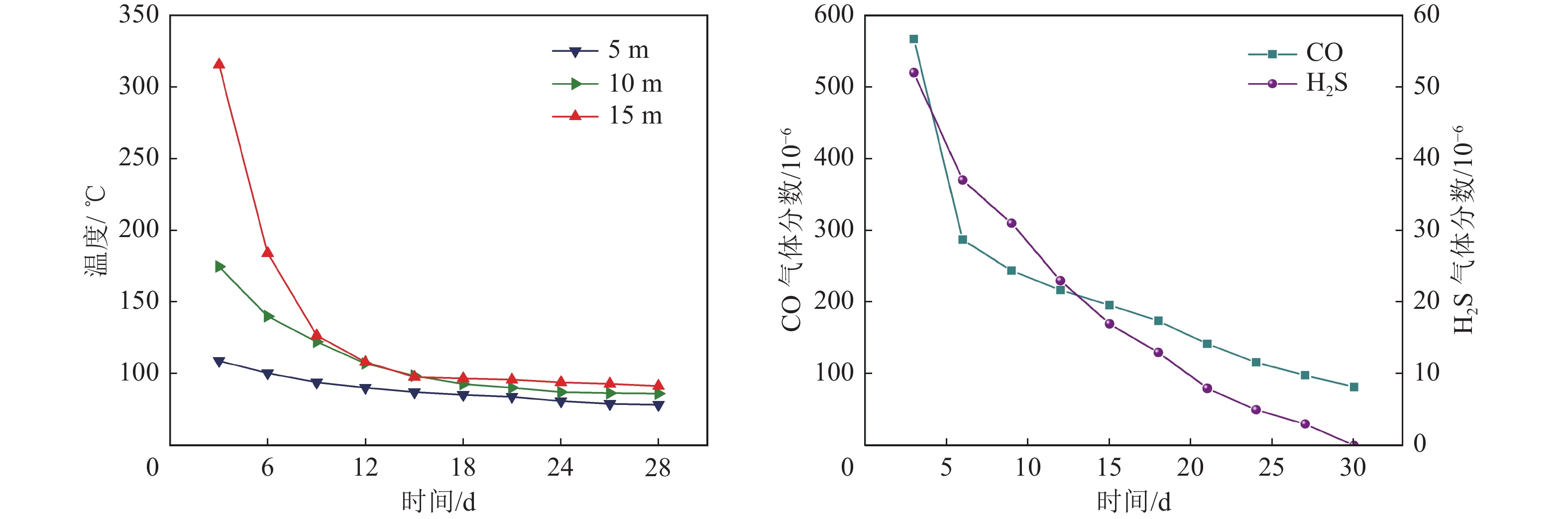
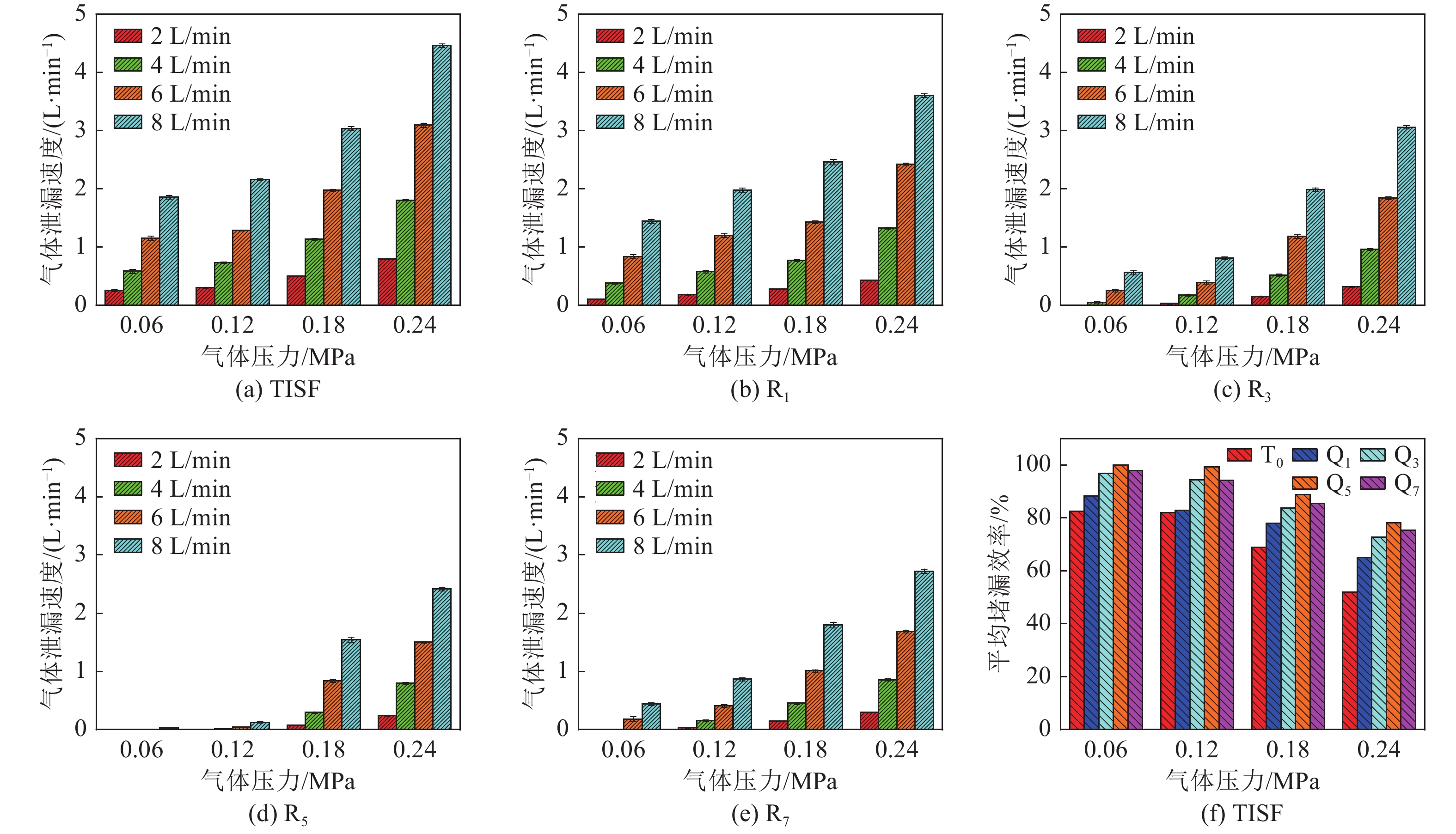
  • 摘要: 漏风是引发矿井煤自燃的重要原因,而煤自燃火灾影响了矿井的正常生产。为解决传统无机固化泡沫(TISF)在充填堵漏过程中存在胶凝时间长、堆积能力弱的问题,提出经液态硅酸钠(LSS)改性制备的速凝无机固化泡沫(RISF)。研究了不同掺量的LSS对泡沫浆液胶凝时间、堆积能力等性能的影响规律,采用抗压强度、稳定性测试等表征手段,确定了LSS的最优添加量为5%(质量分数),RISF的28 d抗压强度达2.49 MPa,是TISF的1.7倍,最大密度比R为1.11,稳定性提升20%左右;胶凝时间和堆积能力的测试结果表明,与TISF相比,RISF的凝结时间大幅缩短(从683 s缩短到52 s),堆积能力提升(最大堆积高度提高1.9倍)。基于此,结合扫描电子显微镜(SEM)和X射线衍射(XRD)对RISF的速凝固化机理进行了探究。试验结果表明,RISF具有更多的水化产物且不同的水化产物紧密交织,颗粒水化过程中,LSS水解生成原硅酸根与溶液中的钙离子结合,加快水化反应,缩短了泡沫浆液的胶凝时间。但也发现,当LSS添加量超过5%时,RISF的抗压强度降低,稳定性下降,这主要是因为过量的LSS使溶液中的钙硅比例低于1.0,导致生成了低强度的水化产物。堵漏风试验和灭火试验结果表明,与TISF相比,RISF具有较高的堵漏效率和优良的防灭火性能,堵漏效率最高提升26.3%,并且在扑灭煤火时未出现复燃。RISF在利民煤矿矸石山的现场应用表明,其具有良好的降温灭火效果,有效解决了矸石山的高温难题,确保了矿井的正常生产。

     

    Abstract: Air leakage is an important cause of coal spontaneous combustion in mines, which affect the normal production of the mine. In order to solve the problems of long gelling time and weak stacking ability of traditional inorganic solidified foam (TISF) in the process of filling and plugging, a rapid setting inorganic solidified foam (RISF) modified by liquid sodium silicate (LSS) was proposed. The influence of different dosages of LSS on the gelling time, stacking capacity and other properties of foam slurry was studied. By means of compressive strength, stability test and other characterization methods, the optimal addition amount of LSS was determined to be 5% (mass fraction). The 28 d compressive strength of RISF reached 2.49 MPa, 1.7 times that of TISF. The maximum density ratio R was 1.11, and the stability increased by about 20%; The test results of gelation time and stacking ability showed that compared with TISF, the setting time of RISF was significantly shortened (from 683 s to 52 s), and the stacking ability was improved (the maximum stacking height is increased by 1.9 times). Based on this, the rapid curing mechanism of RISF was explored by combining scanning electron microscope (SEM) and X-ray diffraction (XRD). The test results showed that RISF had more hydration products and different hydration products were closely intertwined. During the particle hydration process, LSS hydrolyzed to generate the orthosilicate and combined with calcium ions in the solution, which accelerated the hydration reaction and shortened the gelling time of foam slurry. However, it was also found that when the amount of LSS added exceeded 5%, the compressive strength and stability of RISF decreased. This is mainly because excessive LSS caused the calcium silicon ratio in the solution to be lower than 1.0, resulting in the formation of low strength hydration products. The results of air blockage and fire extinguishing tests showed that compared with TISF, RISF had higher air blockage efficiency and excellent fire prevention and extinguishing performance, with a maximum increase of 26.3% in blockage efficiency, and no reignition occurred when extinguishing coal fires. The on-site application of RISF in the gangue hill of Limin Coal Mine has shown that it has good cooling and fire extinguishing effects, effectively solving the high temperature problem of the gangue hill, and ensuring the normal production of the mine.

     

/

返回文章
返回