高级检索

重复注气压降法煤层渗透率模型与原位测试研究

Study on the permeability model and in-situ testing of coal seams using repeatedinjection pressure drop method

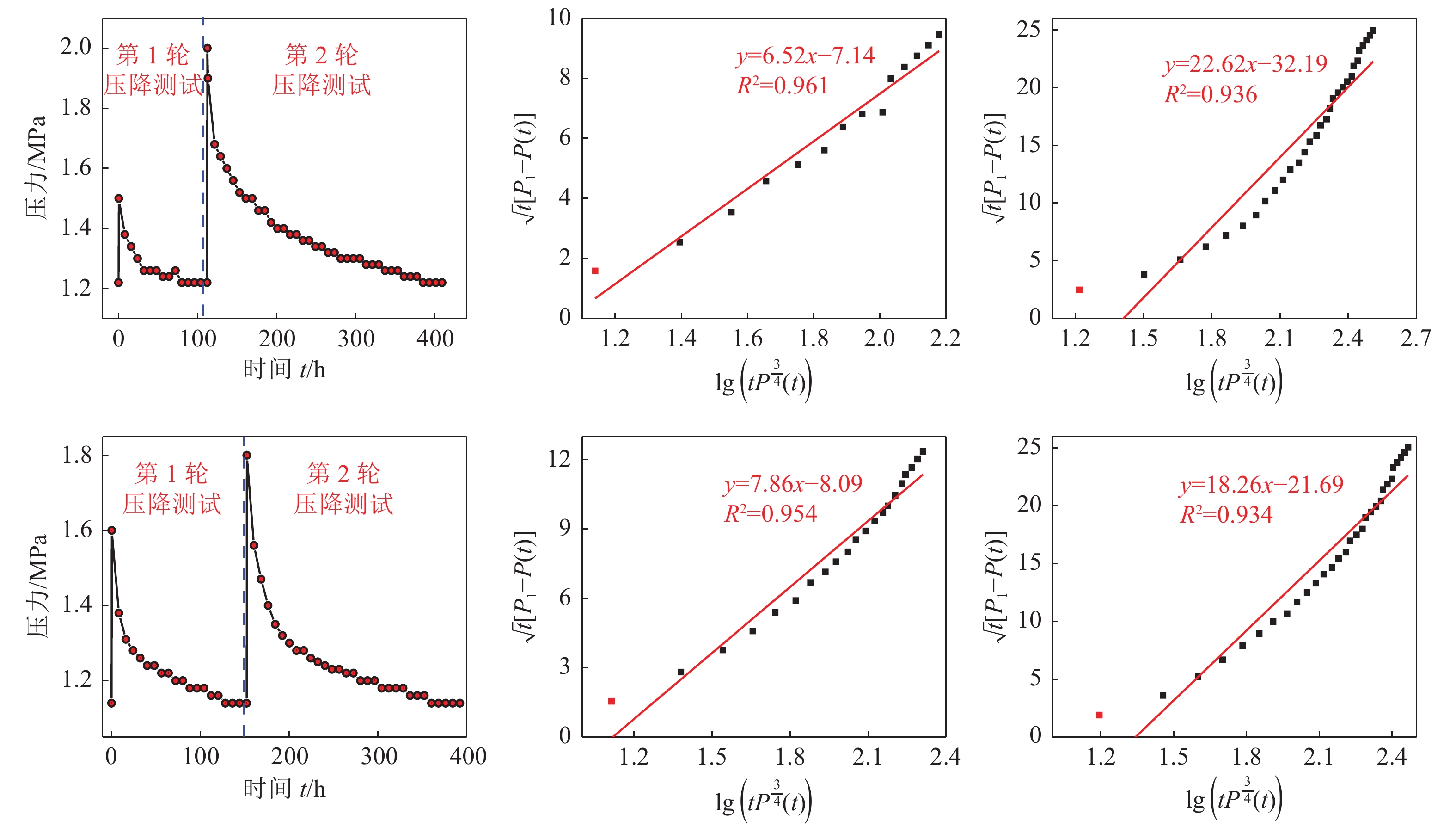
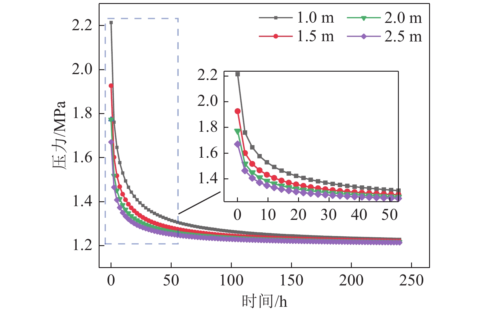
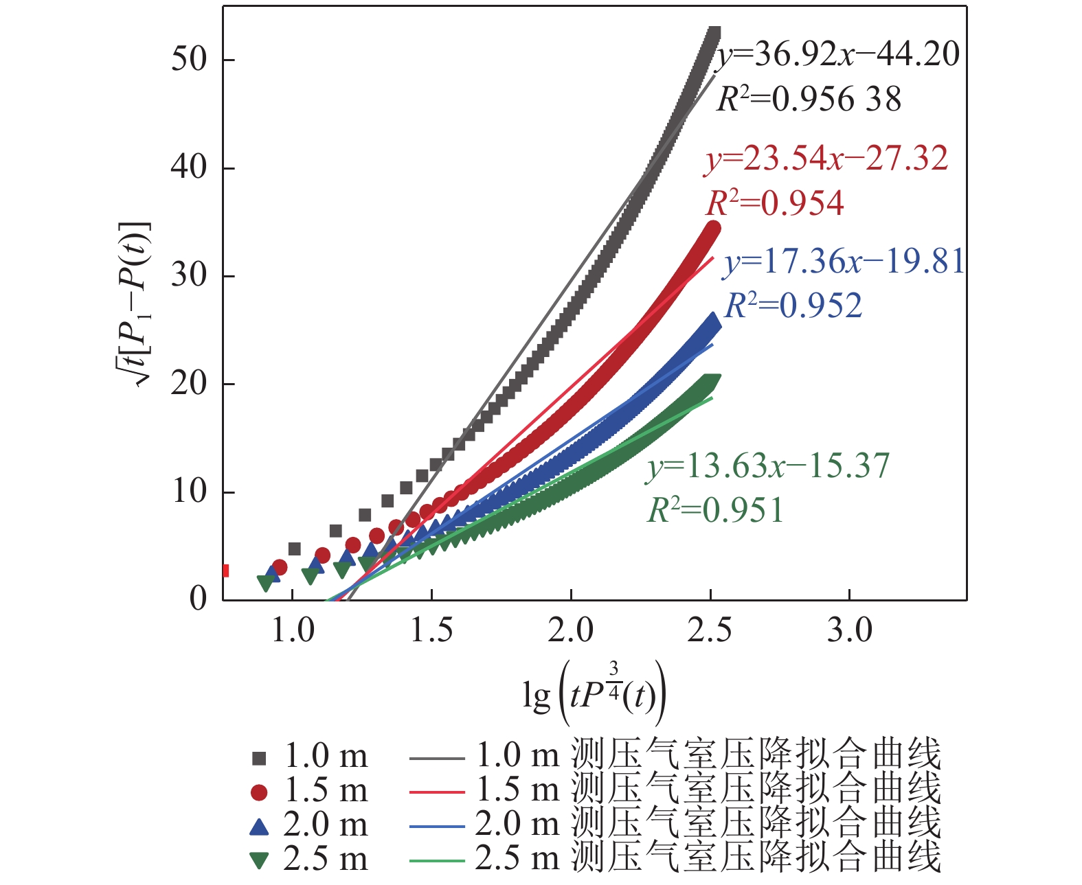
  • 摘要: 煤层渗透率作为衡量瓦斯渗流与抽采难易程度的重要指标,对其进行准确测定具有重要意义。针对现有方法计算渗透率测试周期长、结果不稳定、模型不完善等问题,研究煤层渗透率的快速准确测定方法及相应的计算模型。基于煤层中气体径向不稳定流控制方程,结合不同压差下气体在煤层中的体积流量方程,建立可利用全区间压降数据测定煤层渗透率的注气压降计算模型。应用COMSOL数值模拟软件的达西渗流模块对模型进行求解,针对现场工程设计中可对压降曲线产生影响的测压气室长度进行单变量处理,根据模拟结果分析钻孔的测压气室长度可设计为2.0 m。根据数值模拟结果进行现场布置,搭建井下重复注气压降试验系统,结合煤层瓦斯赋存条件和巷道条件施工两组穿层钻孔,对2个测点分别注入两次高于煤层瓦斯压力的补偿气体进行渗透率原位测试,测试周期分别约为6 d和17 d,第2轮测试的注气压力高于第1轮。结合理论推导验证了注气压降过程中煤层瓦斯的雷诺数均处于线性达西渗流段,瓦斯在煤层中的渗流符合达西定律,满足计算模型的假设。与传统煤层渗透率计算方法进行了比较,结果表明:本方法和径向流量法的计算结果基本一致,可以满足实际工程需要。重复注气压降法的测试结果稳定可靠,具备快速测定的优点。

     

    Abstract: Permeability of coal seams is an important indicator for assessing the difficulty of gas seepage and extraction, and its accurate determination holds significant significance. In light of the existing issues with long testing cycles, unstable results, and imperfect models, this research focuses on developing a rapid and accurate method for determining coal seam permeability and the corresponding computational model. Based on the radial unsteady-state gas flow control equation within coal seams and the volume flow equation for gas under different pressure differentials within the coal seam, we have established an injection pressure drop calculation model that utilizes the entire pressure drop dataset for measuring coal seam permeability. The COMSOL numerical simulation software, equipped with the Darcy flow module, is employed to solve the model. To address variables affecting the pressure drop curve in field engineering design, a univariate analysis of the length of the pressure measuring gas chamber is conducted. According to simulation results, the gas chamber length for pressure measurement in boreholes can be designed as 2.0 meters. Field arrangements are made based on the numerical simulation results, and an underground repeated gas injection pressure drop test system is established. This system, in conjunction with coal seam gas occurrence conditions and tunnel conditions, facilitates the drilling of two cross-seam boreholes for each of the two test points. These boreholes are injected with compensatory gas twice, each time exceeding the coal seam gas pressure, to conduct in-situ permeability tests. The testing periods are approximately 6 days and 17 days for the first and second rounds, respectively, with the second round having higher injection pressures. Combined with theoretical derivation, it was verified that the Reynolds numbers of coal seam gas remained within the linear Darcy flow regime during the gas injection pressure drop process, and gas flow within the coal seam adheres to Darcy's law, thus satisfying the assumptions of the calculation model. When compared to traditional methods for calculating coal seam permeability, the results indicate that this method aligns closely with the radial flow rate method, effectively meeting the requirements of practical engineering applications. The testing results of the repeated gas injection pressure drop method are stable and reliable, offering the advantage of rapid determination.

     

/

返回文章
返回