Abstract:
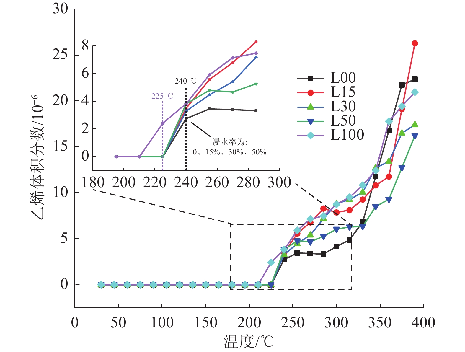
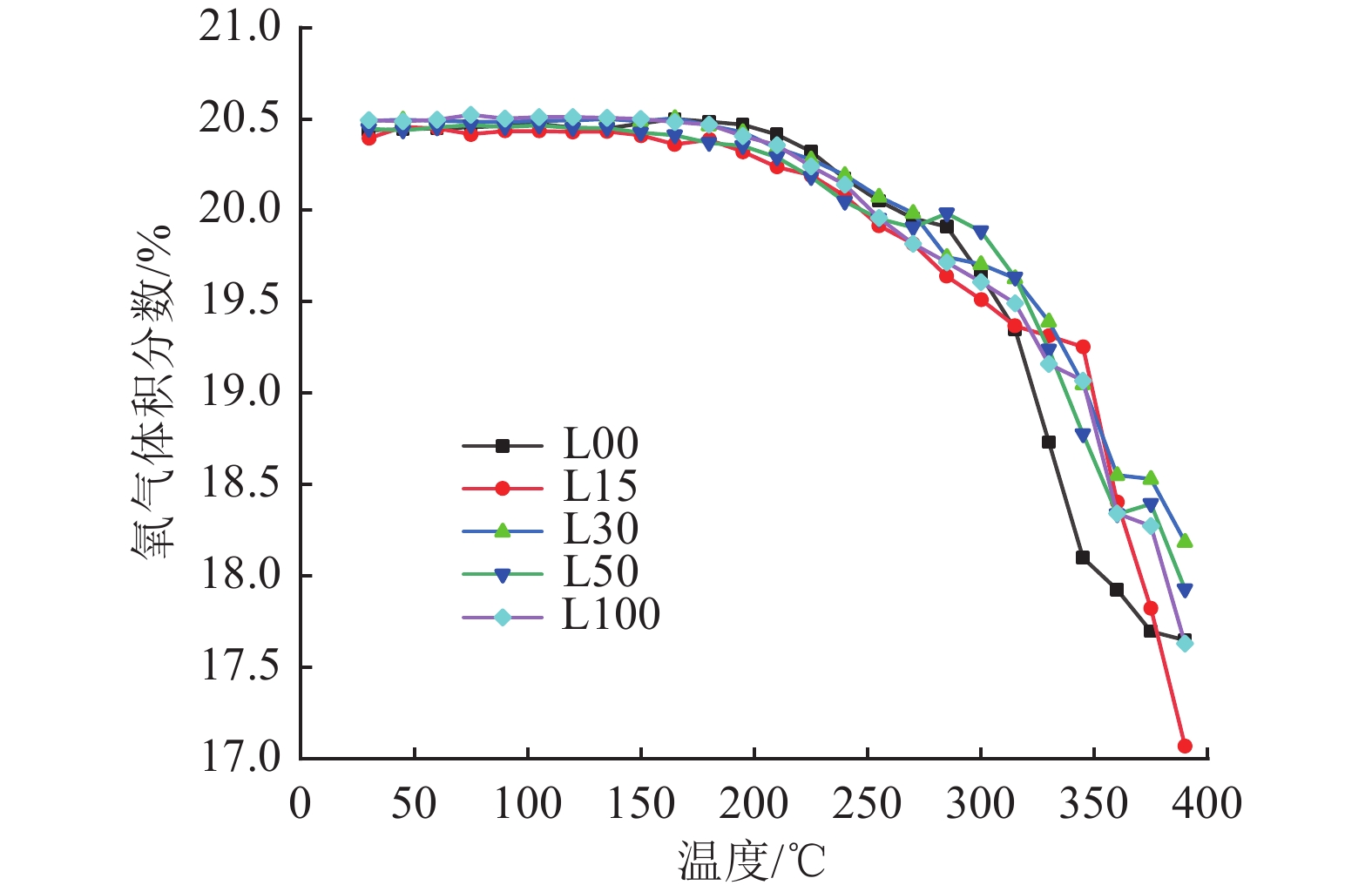
Coal gangue, which accumulates in the open air, is modified by immersion in rain, and exhibits different tendencies to spontaneous combustion in different areas of precipitation. To study the role and influence of moisture on the oxidation and spontaneous combustion of coal gangue, we used high-sulfur coal gangue prone to spontaneous combustion in the Qipanjing area of Inner Mongolia. First, the coal gangue is soaked with different moisture content (moisture content: 0, 15%, 30%, 50%, 100%). After soaking for 45 days, the coal gangue is naturally air dried. The dried gangue samples were put into the self-made programmed temperature experiment furnace to conduct experiments on the pre-treated coal gangue samples (the temperature rise rate was set at 3℃/min, and the temperature rise range was set at 30−390 ℃). The gas the temperature points of the coal gangue in each stage was collected by air collecting bag (each rise of 15 ℃ was a stage). Finally, the collected gas was passed into the GC-4000A gas chromatograph. By comparing the O
2 consumption、the volume fraction of CO, CH
4, C
2H
4, C
2H
6 and other index gases produced by coal gangue treated with different moisture content, the results show that: The low temperature oxidation of coal gangue is the best when the moisture content is 15%, the initial formation temperature of CO, CH
4, C
2H
4, C
2H
6 and other indicator gases is the lowest, and the concentration of various indicator gases is the highest when the temperature is 390℃. When the moisture content exceeds 50%, under the action of moisture dissolution, a large number of combustible substances in the coal gangue are carried and dispersed by moisture, resulting in a significant decrease in the concentration of various indicator gases generated when the moisture content of the coal gangue rises to 390 ℃, even lower than that of the control experimental group without moisture immersion and redrying treatment. When the coal gangue is immersed in water, the initial temperature points of the various index gases are reduced by about 15 ℃.