高级检索

采煤沉陷区复垦对土壤细菌群落组装及固碳功能的影响以东滩矿区为例

Effects of land reclamation on soil bacterial community assembly and carbon sequestration function in coal mine subsidence area: taking Dongtan Mining Area as an example

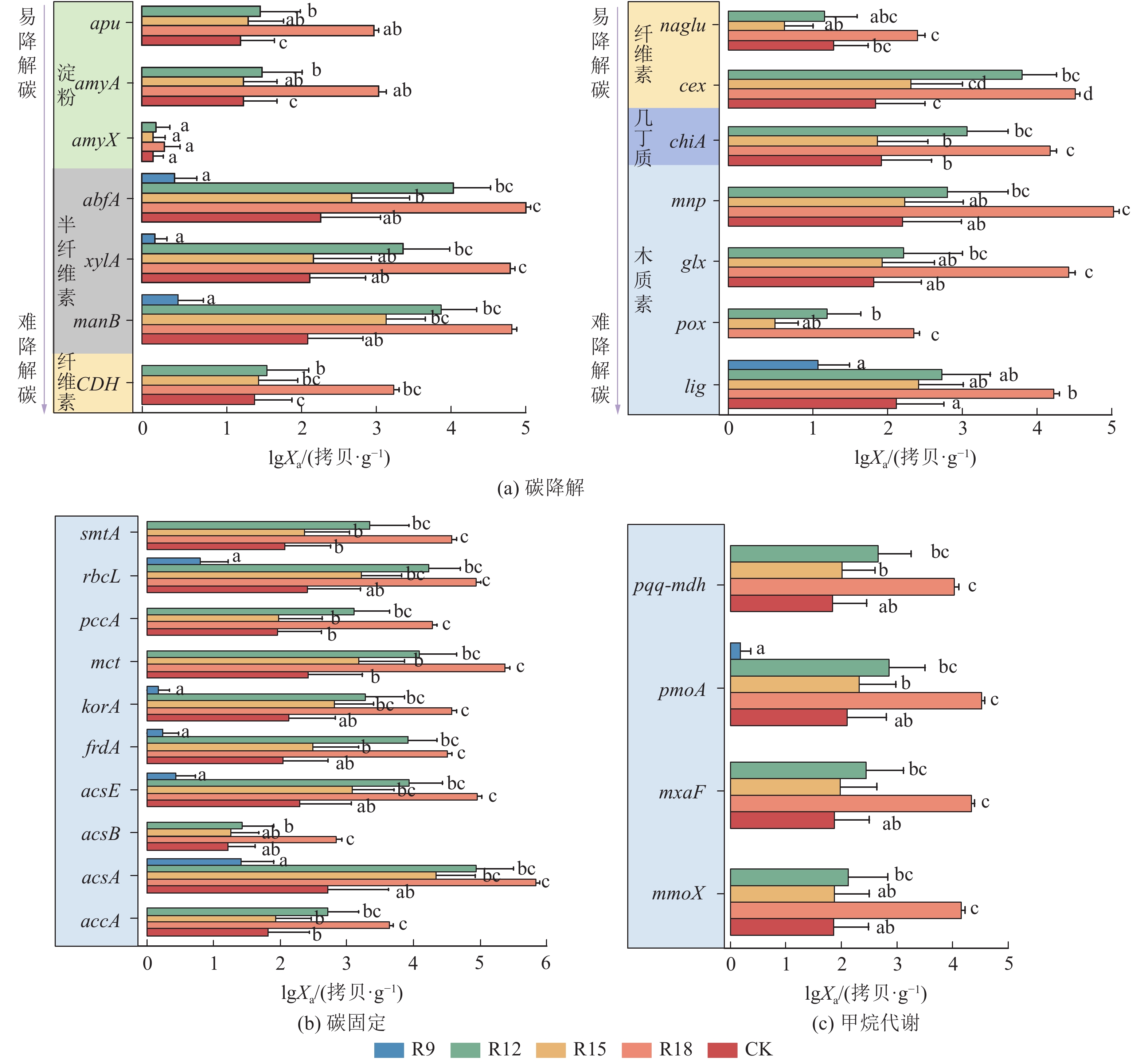
  • 摘要: 复垦能有效提升矿区生态服务功能,但复垦土壤功能重建的微生物学机制尚不清晰。厘清复垦如何影响土壤细菌群落特征、组装机制及固碳功能,对重塑矿区生态自维持能力至关重要。为此,结合零模型分析,采用MiSeq高通量测序及qPCR芯片技术,探索东滩矿区9 a、12 a、15 a和18 a等4个复垦年限土壤细菌群落组装过程及固碳功能变化。结果表明:①复垦和复垦时间对土壤理化和酶活性影响显著,复垦土壤pH、铵态氮(AN)、过氧化氢酶(CAT)及磷酸酶(PO)随复垦时间增长呈显著增加(P<0.05),有机碳(SOC)、有效磷(AP)、硝态氮(NN)及脲酶(UE)、β-葡萄糖苷酶(BG)、蛋白酶(PRO)则相反(P<0.05);②随机性过程主导了复垦土壤细菌群落的组装过程,且扩散限制的贡献最大;③有机碳、硝态氮、铵态氮、有效磷、β-葡萄糖苷酶及过氧化氢酶与碳循环功能基因丰度有显著性相关,复垦改善土壤理化从而增强固碳功能;④结构方程模型显示,复垦年限增加直接影响土壤理化性质,进而间接影响土壤微生物群落的组装过程,这可能是导致碳循环功能基因丰度变化的主要原因。研究结果为矿区复垦土壤生产力改善和固碳功能提升提供理论依据。

     

    Abstract: Although the reclamation activity could effectively promote the ecological service function of mining areas, the microbiological mechanism of functional reconstruction of reclaimed soil is still unclear. Clarifying how reclamation affects the characteristics, assembly mechanisms, and carbon sequestration functions of soil bacterial communities, is crucial for reshaping the ecological self-sustaining capacity of mining areas. To shed light on this purpose, combined with zero model analysis, MiSeq high-throughput sequencing and qPCR SmartChip technologies were used to explore the assembly processes and carbon sequestration functional variations of soil bacterial community in Dongtan mine area at four reclamation years (reclaimed 9 a, 12 a, 15 a, and 18 a). The results showed that: ① Reclamation activity and time presented significant impacts on soil physicochemical properties and enzyme activities. Soil pH, ammonium nitrogen (AN), catalase (CAT), and alkaline phosphatase (PO) showed the significant increasing trends with the incremental reclamation time (P<0.05), whereas organic carbon (SOC), available phosphorus (AP), nitrate nitrogen (NN), urease (UE), β-glucosidase (BG) and protease (PRO) appeared the opposite tendency (P < 0.05). ② The stochastic process dominated the assembly process of reclaimed soil bacterial communities, with the diffusion limitation contributing the most. ③ Organic carbon, nitrate nitrogen, ammonium nitrogen, available phosphorus, β-glucosidase and catalase were significantly correlated with the abundances of carbon cycle functional genes. Reclamation activities have enhanced the carbon sequestration function through ameliorating the soil physicochemical properties. ④ According to the result equation model, the increase in reclamation years directly affects the physical and chemical properties of the soil, which in turn indirectly affects the assembly process of soil microbial communities, which may be the main reason for changes in the abundance of carbon cycling functional genes. The research results could provide theoretical basis for improving the reclaimed soil productivity and elevating carbon sequestration functions in mining areas.

     

/

返回文章
返回