高级检索

鄂尔多斯典型煤矿不同功能区水化学与微生物群落特征及环境响应

Hydrochemistry and microbial community characteristics and environmental response in different functional zones of a typical coal mine in Ordos

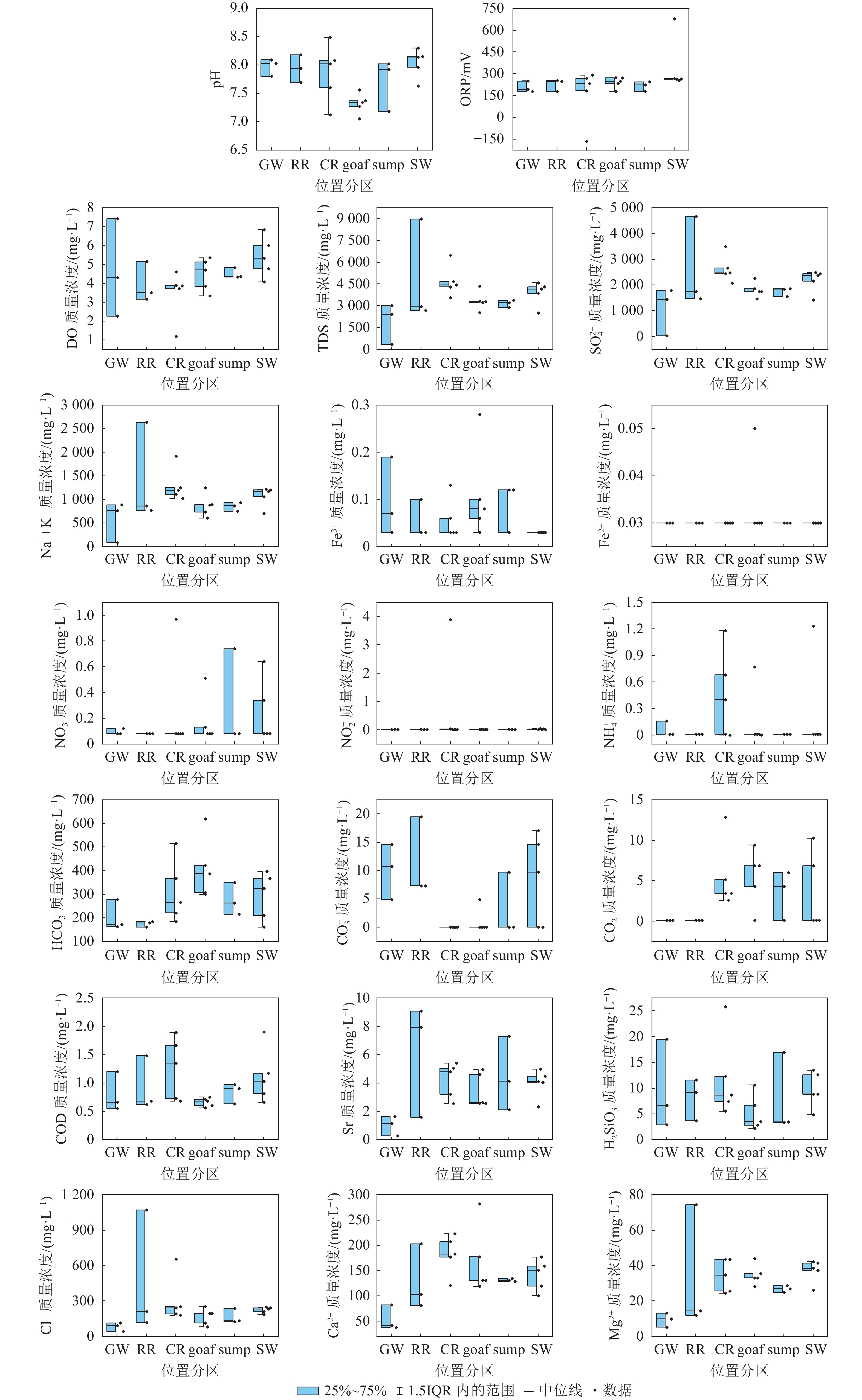
  • 摘要: 为探究煤矿井下不同功能区的微生物群落分布及其对水文地球化学特征的响应,以鄂尔多斯某矿为研究对象,在涉及矿井水的来源、形成、汇集和排放全过程的6个功能区中采集了24份水样,进行水化学组分检测和微生物16S rRNA基因高通量测序,并采用多元统计方法进行序列数据处理。研究结果表明:矿井水的水化学类型继承了其直接充水水源,均为高矿化度的SO4Na型,而特征污染物SO4 2−在煤巷和地表水池中浓度最高。不同功能区的微生物群落组成差异明显:属水平上检出的优势菌属包括能氧化硫化物的发硫菌属和硫氧化菌属,以及可降解有机物的新鞘氨醇杆菌属和短波单胞菌属等在煤巷、采空区中分布较高;好氧的Uliginosibacterium和具有极强吸附力且能降解有机物的不动杆菌属在岩巷中丰度最高;与氮循环有关的噬氢菌属和红细菌属在水仓和地表水中分布较高。微生物群落与水化学过程响应灵敏且关系密切;井工煤矿微生物群落分布不仅与C、N、Ca、Mg等营养元素相关,还与Fe、COD和SO4 2−等氧化还原敏感物质密切相关。煤巷和采空区是地下水污染防控的关键区域;开采扰动后,煤中伴生的低价硫化物在化学氧化和硫氧化菌的催化氧化作用下生成大量SO4 2−;然而,当工作面停采半年到3年后,在物理或化学吸附、沉淀作用(前期占主导),以及硫酸盐还原菌的还原作用下(后期占主导),SO4 2−降低了15%~34%,这说明采空区具有一定的自净能力。综上所述,研究成果可为矿井水污染防控的工程应用提供以下理论支撑:一方面可通过通氮气保持工作面的厌氧条件,从源头上减少SO4 2−的生成;另一方面可以筛选、培养硫酸盐还原菌和有机物降解菌,制作成生物材料投加到井下进行原位地下水污染修复。

     

    Abstract: To explore the distribution of microbial communities in different functional zones of coal mine and their response to hydrogeochemical characteristics, a coal mine in Ordos was taken as the research object. 24 water samples were collected from six typical functional zones involved in the whole process of the mine water source, formation, collection and discharge. Hydrochemical components detection and high-throughput sequencing of microbial 16S rRNA genes were carried out. and multivariate statistical methods were used for sequence data processing. The results showed that the hydrochemical type of mine water was high salinity SO4-Na type, which directly inherited the supplied water-source, while the concentration of characteristic pollutant\rmSO_4^2 - was highest in coal roadways and surface water pools. The compositions of microbial communities in different functional zones presented significant differences. The dominant bacterial genera detected at the genus level includedThiothrixand sulfur oxidizing bacteria that could oxidize sulfides (i.e.,ThiothrixandSulfuricurvum), as well as newSphingobacteriaandShortwave Monocmonasthat can degrade organic matter (i.e.,NovosphingobiumandBrevundimonas), while they distributed relatively high in coal tunnels and goafs. The abundances of aerobicUliginosibacteriumandAcinetobacterwith strong adsorption and organic degradation, was highest in rock roadways. Bacteria related to nitrogen cycle (i.e.,HydrogenophagaandRhodobacter) accounted for the higher proportion in water sumps and surface water. Microbial communities were sensitive and closely related to the hydro-chemical processes. The distribution of microbial communities in underground coal mine was not only related to nutrients such as C, N, Ca and Mg, but also closely interrelated to redox sensitive substances such as Fe, COD and\rmSO_4^2 - . Coal roadways and goafs are the key zones for groundwater pollution prevention and control. After mining disturbance, the low valent sulfides associated with coal have generated a large amount of\rmSO_4^2 - through the chemical oxidation and catalytic oxidation of sulfur oxidizing bacteria. However, it is worth noting that when the working pannel stopped for six months to three years, the characteristic pollutant\rmSO_4^2 - was reduced by 15%-34% due to the physical or chemical adsorption, precipitation (dominated in the early stage), and the reduction of sulfate reducing bacteria (dominated in the later stage). This result indicated that the goaf had a certain degree of self-cleaning ability. In summary, the research results could provide theoretical supports for the engineering applications of mine water pollution prevention and control, which was reflected in the following two aspects: on the one hand, to reduce the generation of\rmSO_4^2 - from the source by maintaining the anaerobic condition on the working pannel through nitrogen gas supply; on the other hand, after screening and cultivating the sulfate-reducing bacteria and organic matter degrading bacteria, they would be produced into bio materials, and added to the underground for in-situ remediation of groundwater pollution.

     

/

返回文章
返回