高级检索

陕北不同地貌类型区采煤沉陷对土壤微生物和酶活性的影响

Effects of coal mining subsidence on soil microorganisms and enzyme activities in different landform types of northern Shaanxi

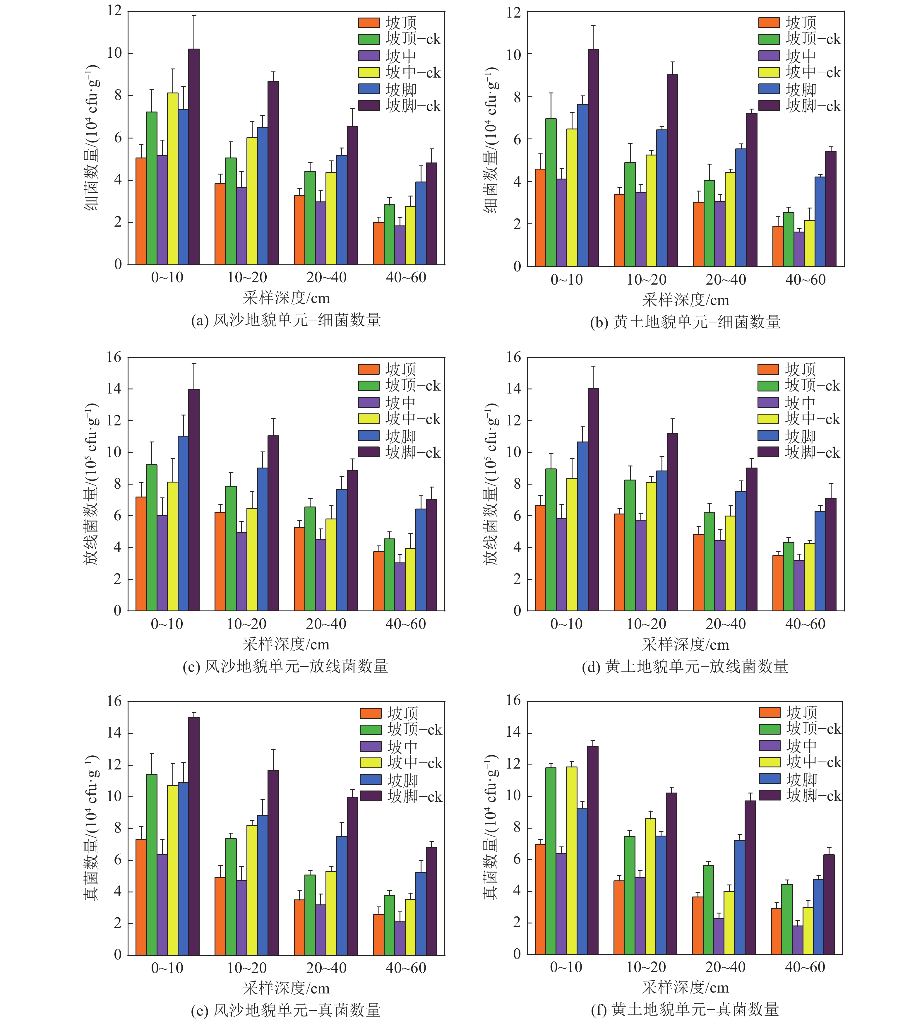
  • 摘要: 深刻认识采煤沉陷的衍生生态损害效应已经成为当前修复西部煤矿区生态环境采动损害的关键基础科学问题和研究热点。掌握不同地貌类型单元采煤沉陷对土壤微生物和酶活性的影响规律有利于西部采煤沉陷区的生态环境保护与修复。以陕北煤矿区榆树湾井田(风沙地貌)、柠条塔井田北翼(黄土地貌)的典型沉陷坡面土壤为研究对象,分别采集不同坡面部位(垂直深度为0~60 cm)的土壤样品,分别采用绝对定量PCR方法和酶标仪法测定土壤细菌、放线菌、真菌的数量和蔗糖酶、过氧化氢酶、脲酶、磷酸酶的活性,细致分析土壤微生物数量和酶活性在沉陷坡面上的空间变化特征,综合土壤主要理化特性,揭示不同地貌类型下采煤沉陷对土壤微生物和酶活性的影响规律。结果表明:①风沙地貌类型单元和黄土地貌类型单元的采煤沉陷都会导致沉陷坡面土壤微生物数量和酶活性显著降低,土壤微生物数量的降幅分别达到8.27%~42.39%和11.53%~45.95%,土壤酶活性的降幅分别达到6.52%~39.83%和9.09%~42.42%;随坡面部位由坡顶到坡中再到坡脚的转换,该效应对于土壤3种微生物和4种酶呈现出不同的变化特征;②黄土地貌类型单元的采煤沉陷对“坡中部位的0~10 cm土层+各类土壤微生物数量和酶活性”的降低效应最为显著,风沙地貌单元的采煤沉陷对“坡中部位的0~10 cm土层+土壤放线菌数量及蔗糖酶、脲酶、磷酸酶活性”“坡中部位的10~20 cm土层+土壤细菌、真菌数量”“坡中部位的20~40 cm土层+土壤过氧化氢酶活性”的降低效应最为显著,其可作为陕北采煤沉陷区坡面土壤微生物修复的靶向区域;③无论在风沙地貌类型单元还是黄土地貌类型单元,土壤真菌数量和脲酶活性对采煤沉陷最为敏感,其降幅分别达到23.28%~45.95%和22.78%~42.42%,二者可作为分析陕北矿区采煤沉陷损害土壤微生物特性的标志物;④无论在风沙沉陷坡面和黄土沉陷坡面,土壤中速效磷、有机质含量与土壤微生物和酶活性的相关系数最高,分别超过0.8和0.7,可作为采煤沉陷影响土壤微生物特性的关键指示性因素。

     

    Abstract: A profound understanding of the derivative ecological damage effects of coal mining subsidence has become a key basic scientific issue and research hotspot for repairing ecological environment damage caused by mining in western coal mining areas. Grasping how coal mining subsidence in different geomorphic units affects soil microorganisms and enzyme activities is beneficial for the ecological environment protection and restoration of coal mining subsidence areas in the western region. The typical subsidence slope soil of the Yushuwan mine field (aeolian landform) and the north wing of the Ningtiaota mine field (loess landform) in northern Shaanxi coal mine area were selected as the research objects, while the soil samples from different slope parts (vertical depth of 0~60 cm) were collected, respectively. Absolute quantitative PCR and enzyme-linked immunosorbent assay (ELISA) methods were used to determine the number of soil bacteria, actinomycetes and fungi, as well as the activities of sucrase, catalase, urease and phosphatase, respectively. The spatial variation characteristics of soil microbial quantity and enzyme activity on subsidence slope were thoroughly analyzed, while the main physical and chemical soil properties were comprehensively integrated to reveal the impact of coal mining subsidence on soil microorganism and enzyme activity under different landform types. The results showed that: ① Coal mining subsidence in both aeolian landform and loess landform type unit could significantly reduce the number of soil microorganisms and enzyme activity on the subsidence slope. The decrease in soil microbial quantity reached 8.27%-42.39% and 11.53%-45.95%, respectively, while the decrease in soil enzyme activity reaches 6.52%-39.83% and 9.09%-42.42%, respectively. With the transition from the top of the slope to the middle of the slope and then to the foot of the slope, the reduction effect exhibited different variation characteristics for three soil microorganisms and four enzymes; ② The coal mining subsidence of loess landform type unit performed the most significant reduction effect on various soil microbial quantity and enzyme activity in “middle part of slope 0~10 cm soil layer”. Meanwhile, the coal mining subsidence of aeolian landform unit presented the most significant reduction effects on the soil actinomycetes quantity and invertase, urease and phosphatase activities in “middle part of slope 0~10 cm soil layer”, and soil bacteria and fungi quantity in “middle part of slope 10~20 cm soil layer”, as well as soil catalase activity in “middle part of slope 20~40 cm soil layer”. Therefore, it can be served as a targeted area for slope soil microbial remediation in coal mining subsidence areas of northern Shaanxi; ③ Whether in the units of aeolian landform or loess landform, the number of soil fungi and urease activity were the most sensitive indicators to coal mining subsidence, with decreases of 23.28%-45.95% and 22.78%-42.42%, respectively. Moreover, the two indicators can be used as markers to analyze the microbial characteristics of soil damaged by coal mining subsidence in northern Shaanxi mining area; ④ The correlation coefficients between soil available phosphorus and organic matter content and soil microbes and enzyme activities were the highest, exceeding 0.8 and 0.7, respectively, on both wind-sand and loess subsidence slopes. They can be served as key indicator factors for coal mining subsidence affecting soil microbial characteristics.

     

/

返回文章
返回